Last updated: 11/25/2019
Notification Regarding Attempted Transmission Of Documents Via Telegraph Teleprinter {PCT-RO-140}
Start Your Free Trial $ 14.00What you get:
- Instant access to fillable Microsoft Word or PDF forms.
- Minimize the risk of using outdated forms and eliminate rejected fillings.
- Largest forms database in the USA with more than 80,000 federal, state and agency forms.
- Download, edit, auto-fill multiple forms at once in MS Word using our Forms Workflow Ribbon
- Trusted by 1,000s of Attorneys and Legal Professionals
Description
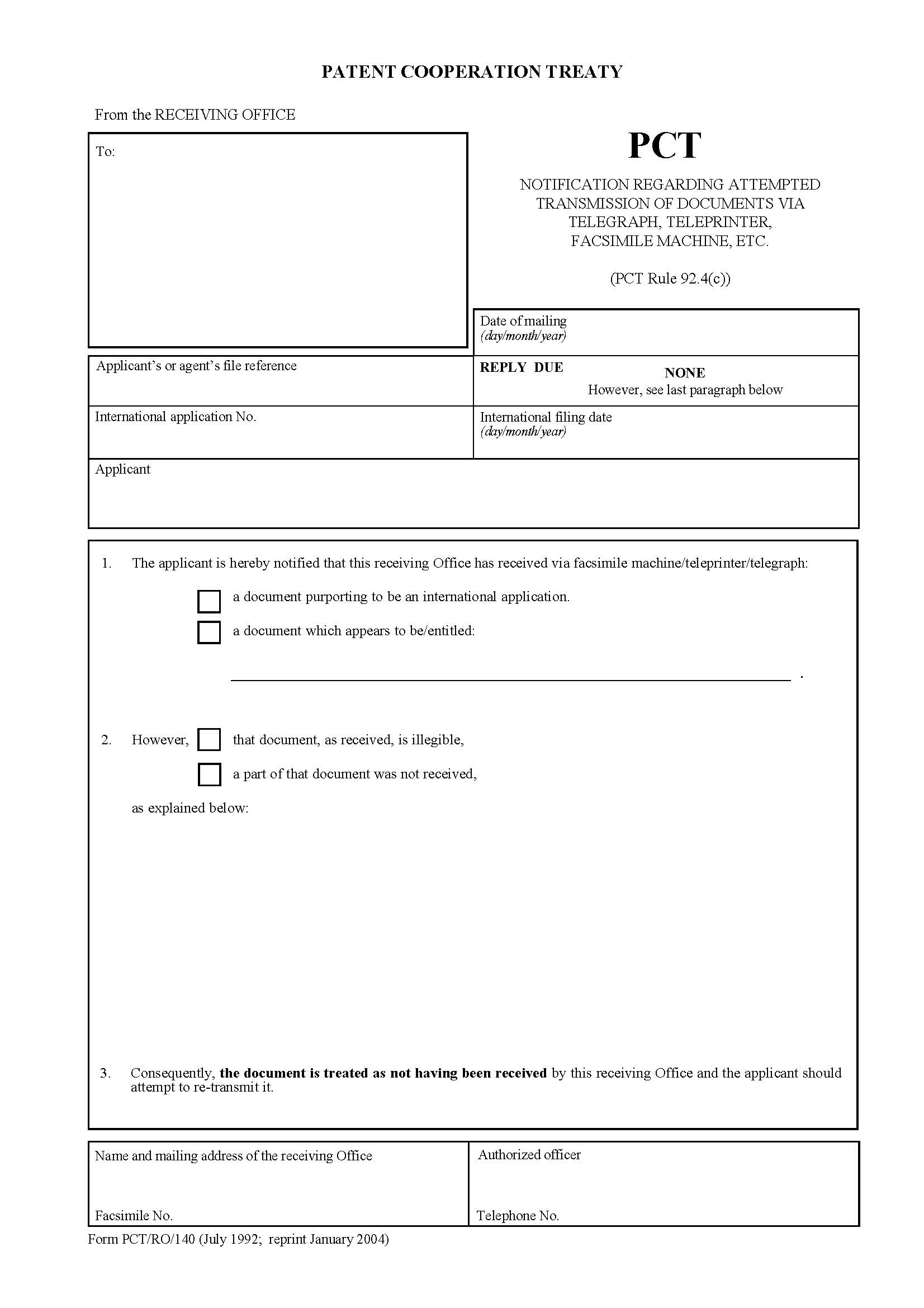
PCT/RO/140, NOTIFICATION REGARDING ATTEMPTED TRANSMISSION OF DOCUMENTS VIA TELEGRAPH, TELEPRINTER FACSIMILE MACHINE, ETC. (PCT Rule 92.4(c)). This form is a notification that is sent by the receiving Office to the applicant or agent of a PCT application when the receiving Office attempted to receive a document via telegraph, teleprinter, facsimile machine, or other similar means, as permitted under PCT Rule 92.4(c), but the document was not received or was received in an illegible or incomplete form. The notification will inform the applicant or agent that the receiving Office attempted to receive a document purporting to be an international application or a document which appears to be/entitled, and provide details about the attempted transmission, such as the date of the attempted transmission, the recipient, and the method of transmission (facsimile machine, teleprinter, or telegraph). If the document was not received in its entirety or was received in an illegible form, the notification will indicate that the document is treated as not having been received by the receiving Office and that the applicant should attempt to re-transmit the document. www.FormsWorkflow.com
Related forms
-
Invitation To Correct Defects In The International Application
Official Federal Forms/US Patent Office/PCT/Receiving Office/ -
Invitation To Pay Prescribed Fees Together With Late Payment Fee
Official Federal Forms/US Patent Office/PCT/Receiving Office/ -
Notification Concerning Payment Of Prescribed Fees
Official Federal Forms/US Patent Office/PCT/Receiving Office/ -
Indication Relating To A Deposited Microorganism
Official Federal Forms/US Patent Office/PCT/Receiving Office/ -
Communication In Cases For Which No Other Form Is Applicable
Official Federal Forms/US Patent Office/PCT/Receiving Office/ -
Communication Regarding The Right To Practice Before The Receiving Office
Official Federal Forms/US Patent Office/PCT/Receiving Office/ -
Communication Regarding Extension Of Time Limit
Official Federal Forms/US Patent Office/PCT/Receiving Office/ -
Invitation To Authorize Transmittal Of Purported International Application
Official Federal Forms/US Patent Office/PCT/Receiving Office/ -
Invitation To Correct Priority Claim
Official Federal Forms/US Patent Office/PCT/Receiving Office/ -
Invitation To Correct The Purported International Application
Official Federal Forms/US Patent Office/PCT/Receiving Office/ -
Invitation To Indicate Competent International Preliminary Examining Authority
Official Federal Forms/US Patent Office/PCT/Receiving Office/ -
Invitation To Pay Fee For Preparation Of Copies
Official Federal Forms/US Patent Office/PCT/Receiving Office/ -
Notification Concerning Expressions Ect Not To Be Used In The International Application
Official Federal Forms/US Patent Office/PCT/Receiving Office/ -
Notification Concerning Failure To Forward Record Copy And Search Copy
Official Federal Forms/US Patent Office/PCT/Receiving Office/ -
Invitation To Request Rectification
Official Federal Forms/US Patent Office/PCT/Receiving Office/ -
Notification Concerning Representation
Official Federal Forms/US Patent Office/PCT/Receiving Office/ -
Notification Of Date Of Receipt Of Priority Document Or Of Priority Application Number
Official Federal Forms/US Patent Office/PCT/Receiving Office/ -
Notification Of Decision Not To Issue Declaration That International Application Considered
Official Federal Forms/US Patent Office/PCT/Receiving Office/ -
Notification Of Decision On Request To Restore Right Of Priority
Official Federal Forms/US Patent Office/PCT/Receiving Office/ -
Notification Of Defective Power Of Attorney Or Defective Revocation Of Power Of Attorney
Official Federal Forms/US Patent Office/PCT/Receiving Office/ -
Notification Of Decision Concerning Request For Rectification
Official Federal Forms/US Patent Office/PCT/Receiving Office/ -
Notification Of Receipt Of Papers Purporting To Be An International Application
Official Federal Forms/US Patent Office/PCT/Receiving Office/ -
Notification Of Refund Of Fees
Official Federal Forms/US Patent Office/PCT/Receiving Office/ -
Notification Of Defects With Regard To Correspondence Submitted By The Applicant
Official Federal Forms/US Patent Office/PCT/Receiving Office/ -
Notification Of Intended Refusal Of Request To Restore Right
Official Federal Forms/US Patent Office/PCT/Receiving Office/ -
Notification Of Intention To Make Declaration That International Application Considered
Official Federal Forms/US Patent Office/PCT/Receiving Office/ -
Notification Of Transmittal Of Demand To The International Bureau Or To The Competent
Official Federal Forms/US Patent Office/PCT/Receiving Office/ -
Notification Of The International Application Number And Of The International Filing Date
Official Federal Forms/US Patent Office/PCT/Receiving Office/ -
Notification Of Withdrawal
Official Federal Forms/US Patent Office/PCT/Receiving Office/ -
Notification Of Transmittal Of Requested Documents
Official Federal Forms/US Patent Office/PCT/Receiving Office/ -
Notification Regarding Attempted Transmission Of Documents Via Telegraph Teleprinter
Official Federal Forms/US Patent Office/PCT/Receiving Office/ -
Notification Regarding Certain Corrections Made Ex Officio
Official Federal Forms/US Patent Office/PCT/Receiving Office/ -
Notification Relating To Priority Claim
Official Federal Forms/US Patent Office/PCT/Receiving Office/ -
Notification That Demand Considered Not To Have Been Submitted
Official Federal Forms/US Patent Office/PCT/Receiving Office/ -
Notification That The Purported International Application Is Not And Will Not Be Treated
Official Federal Forms/US Patent Office/PCT/Receiving Office/ -
Notification Relating To Requested Documents
Official Federal Forms/US Patent Office/PCT/Receiving Office/ -
Notification That International Application Considered To Be Withdrawn
Official Federal Forms/US Patent Office/PCT/Receiving Office/ -
Request For The Recording Of A Change
Official Federal Forms/US Patent Office/PCT/Receiving Office/ -
Invitation To Request Omission Of Information From International Publication
Official Federal Forms/US Patent Office/PCT/Receiving Office/ -
Invitation To Correct Declarations Made In The Request Under PCT Rule 4.17
Official Federal Forms/US Patent Office/PCT/Receiving Office/ -
Notification Of Non-Inclusion Of Drawings With The International Application
Official Federal Forms/US Patent Office/PCT/Receiving Office/ -
Notification Concerning Later Submitted Sheets Or Drawings
Official Federal Forms/US Patent Office/PCT/Receiving Office/ -
Notification On Decision Of Confirmation Of Incorporation By Reference
Official Federal Forms/US Patent Office/PCT/Receiving Office/ -
Notification Concerning Documents Transmitted
Official Federal Forms/US Patent Office/PCT/Receiving Office/ -
PCT Request
Official Federal Forms/US Patent Office/PCT/Receiving Office/ -
Additional Continuation Sheets (For 6 Or More Applicants And-Or Inventors)
Official Federal Forms/US Patent Office/PCT/Receiving Office/ -
Notification Of Transmittal Of Purported International Application To The International
Official Federal Forms/US Patent Office/PCT/Receiving Office/ -
Invitation To Furnish Translation Of Description Or Claims Or Any Part Thereof
Official Federal Forms/US Patent Office/PCT/Receiving Office/ -
Invitation To Furnish Translation Of International Application And To Pay Where Applicable
Official Federal Forms/US Patent Office/PCT/Receiving Office/ -
Invitation To Furnish Translation Of International Application And To Pay Where Applicable
Official Federal Forms/US Patent Office/PCT/Receiving Office/ -
Notification That International Application Considered To Be Withdrawn
Official Federal Forms/US Patent Office/PCT/Receiving Office/ -
Invitation To Furnish Original Of Document Transmitted By Telegraph Teleprinter Facsimile
Official Federal Forms/US Patent Office/PCT/Receiving Office/ -
Notification Regarding Receipt Of Documents Via Telegraph Teleprinter Facsimile Machine
Official Federal Forms/US Patent Office/PCT/Receiving Office/ -
Notification Concerning Paper Being Disregarded Or Document
Official Federal Forms/US Patent Office/PCT/Receiving Office/
Form Preview
Contact Us
Success: Your message was sent.
Thank you!




