Last updated: 9/9/2021
Report And Recommendation Of Guardian Ad Litem {GN-4110}
Start Your Free Trial $ 13.99What you get:
- Instant access to fillable Microsoft Word or PDF forms.
- Minimize the risk of using outdated forms and eliminate rejected fillings.
- Largest forms database in the USA with more than 80,000 federal, state and agency forms.
- Download, edit, auto-fill multiple forms at once in MS Word using our Forms Workflow Ribbon
- Trusted by 1,000s of Attorneys and Legal Professionals
Description
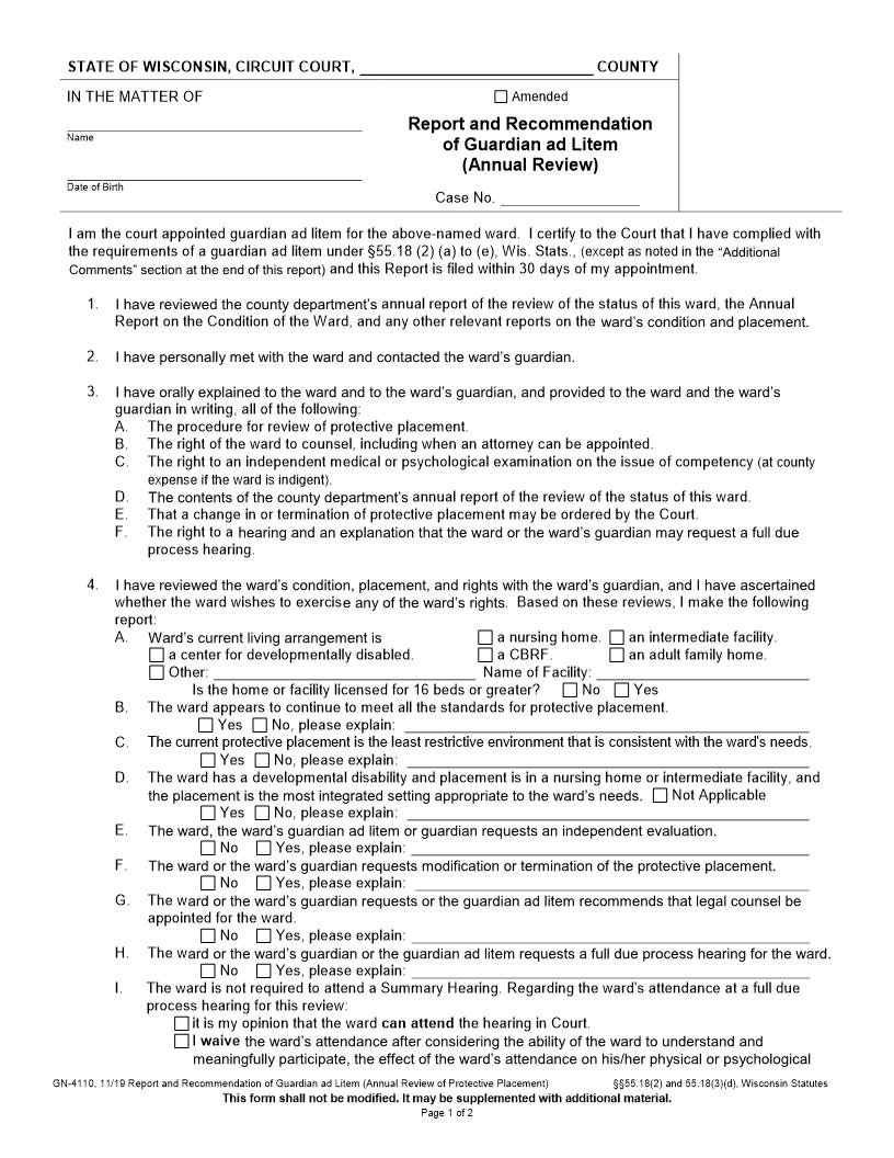
GN-4110, 05/18 Report and Recommendation of Guardian ad Litem (Annual Review of Protective Placement) 24724755.18(2) and 55.18(3)(d), Wisconsin Statutes This form shall not be modified. It may be supplemented with additional material. Page 1 of 2 STATE OF WISCONSIN, CIRCUIT COURT, COUNTY IN THE MATTER OF Name Date of Birth Amended Report and Recommendation of Guardian ad Litem (Annual Review) Case No. I am the court appointed guardian ad litem for the above-named ward. I certify to the court that I have complied with the requirements of a guardian ad litem under 24755.18 (2) (a) to (e), Wis. Stats., (except as noted in the section at the end of this report) and this Report is being filed within 30 days of my appointment. 1. I have reviewed Annual Report of the Review of the Status of the Ward, the Annual Report on the Condition of the Ward, and any other relevant reports on the ward 2. I have personally met with the ward and contacted the ward 3. I have orally explained to the ward and to the wardthe ward and the wardin writing, all of the following: A. The procedure for review of protective placement. B. The right of the ward to counsel, including when an attorney can be appointed. C. The right to an independent medical or psychological examination on the issue of competency (at county expense if the ward is indigent). D. The contents of the Annual Report of the Review of the Status of the Ward. E. That a change in or termination of protective placement may be ordered by the court. F. The right to a hearing and an explanation that the ward or the wardhearing. 4. I have reviewed the wardwardwhether the ward wishes to exercise any of the ward. Based on these reviews, I make the following report: A. Wards a nursing home. an intermediate facility. a center for developmentally disabled. a CBRF. an adult family home. Other: Name of Facility: Is the home or facility licensed for 16 beds or greater? No Yes B. The ward appears to continue to meet all the standards for protective placement. Yes No, please explain: C. The current protective placement is the least restrictive environment that is consistent with the ward's needs. Yes No, please explain: D. The ward has a developmental disability and placement is in a nursing home or intermediate facility, and the placement is the most integrated setting appropriate to the ward Not Applicable Yes No, please explain: D. The ward, the ward. No Yes, please explain: E. The ward or the ward No Yes, please explain: F. The ward or the wardbe appointed for the ward. No Yes, please explain: G. The ward or the wards a full due process hearing for the ward. N o Yes, please explain: I. The ward is not required to attend a Summary Hearing. Regarding the ward's attendance at a full due process hearing for this review: it is my opinion that the ward can attend the hearing in court. I waive the ward ability of the ward to understand and meaningfully participate, the effect of the ward American LegalNet, Inc. www.FormsWorkFlow.com GN-4110, 05/18 Report and Recommendation of Guardian ad Litem (Annual Review of Protective Placement) 24724755.18(2) and 55.18(3)(d), Wisconsin Statutes. This form shall not be modified. It may be supplemented with additional material. Page 2 of 2 the importance of the proceedings and the ward. I certify the ward is unable to attend for these specific reasons: the ward is unable to attend the hearing in court because of residency in a nursing home or other facility, physical inaccessibility, or a lack of transportation; and the ward, advocate counsel, other interested person, or I request that the court hold the hearing in a place where the ward can attend. Specify location requested: 5. I recommend continued protective p lacement in the facility in which the ward resides at this time. Yes No, please explain: 6. Additional comments: Guardian ad Litem Name Printed or Typed Date American LegalNet, Inc. www.FormsWorkFlow.com
Related forms
-
Order Appointing Guardian Ad Litem (Annual Review Of Protective Placement)
Wisconsin/Statewide/Circuit Court/Guardianship/ -
Order On Petition For Protective Placement Or Protective Services
Wisconsin/Statewide/Circuit Court/Guardianship/ -
Notice Of Initial Placement By Appropriate Board Or Designated Agency
Wisconsin/Statewide/Circuit Court/Guardianship/ -
Order And Notice For Hearing On Petition Objecting To Transfer Of Protective Placement
Wisconsin/Statewide/Circuit Court/Guardianship/ -
Order On Petition Objecting To Transfer Of Protective Placement
Wisconsin/Statewide/Circuit Court/Guardianship/ -
Order On Petition For Modification Of Order For Protective Placement Or Protective Services
Wisconsin/Statewide/Circuit Court/Guardianship/ -
Order For Hearing Petition For Appointment Of Conservator
Wisconsin/Statewide/Circuit Court/Guardianship/ -
Order On Petition For Appointment Of Conservator
Wisconsin/Statewide/Circuit Court/Guardianship/ -
Findings And Order Continuing Protective Placement
Wisconsin/Statewide/Circuit Court/Guardianship/ -
Findings And Order Terminating Protective Placement
Wisconsin/Statewide/Circuit Court/Guardianship/ -
Amended Reimbursement Order
Wisconsin/Statewide/Circuit Court/Guardianship/ -
Order For Reimbursement Of Costs Of Legal Services (Chapter 55)
Wisconsin/Statewide/Circuit Court/Guardianship/ -
Order For Petition For Involuntary Administration Of Psychotropic Medication
Wisconsin/Statewide/Circuit Court/Guardianship/ -
Order And Notice For Hearing On Temporary Protective Placement
Wisconsin/Statewide/Circuit Court/Guardianship/ -
Order Appointing Guardian Ad Litem Medication Review
Wisconsin/1 Statewide/Circuit Court/Guardianship/ -
Order On Statement Of Noncompliance For Involuntary Adminstration Of Medication
Wisconsin/1 Statewide/Circuit Court/Guardianship/ -
Psychotropic Medication Report
Wisconsin/1 Statewide/Circuit Court/Guardianship/ -
Notice Of Hearing - Guardianship
Wisconsin/Statewide/Circuit Court/Guardianship/ -
List of Wards Remaining Assets At Guardianship Termination
Wisconsin/Statewide/Circuit Court/Guardianship/ -
Nomination Of Guardian By A Minor
Wisconsin/Statewide/Circuit Court/Guardianship/ -
Order On Petition To Transfer Income And Assets
Wisconsin/Statewide/Circuit Court/Guardianship/ -
Order On Petition For Approval Prior To Exercise Of Powers Over The Estate Of A Married Ward
Wisconsin/Statewide/Circuit Court/Guardianship/ -
Order To Transfer Property Upon Termination Of Guardianship Of Minor
Wisconsin/Statewide/Circuit Court/Guardianship/ -
Statement Of Wards Real Property Filed With Register Of Deeds
Wisconsin/Statewide/Circuit Court/Guardianship/ -
Report Of Disposition Of Funds Sale, Mortgage, Lease Of Real Estate
Wisconsin/Statewide/Circuit Court/Guardianship/ -
Waiver And Consent To Petition For Guardianship Of Minor
Wisconsin/Statewide/Circuit Court/Guardianship/ -
Report Of Guardian Ad Litem (Guardianship Of Minor)
Wisconsin/Statewide/Circuit Court/Guardianship/ -
Order And Notice Of Hearing Petition For Guardianship Of Minor
Wisconsin/Statewide/Circuit Court/Guardianship/ -
Annual Report On The Condition Of The Ward
Wisconsin/Statewide/Circuit Court/Guardianship/ -
Determination And Order On Petition For Guardianship Of Minor
Wisconsin/Statewide/Circuit Court/Guardianship/ -
Consent To Serve As Temp Guardian
Wisconsin/1 Statewide/Circuit Court/Guardianship/ -
Final Order Confirming Transfer To Another State
Wisconsin/Statewide/Circuit Court/Guardianship/ -
Letters Of Temporary Guardianship Of The Person
Wisconsin/Statewide/Circuit Court/Guardianship/ -
Final Order Accepting Guardianship Transferred To WI
Wisconsin/Statewide/Circuit Court/Guardianship/ -
Notice Of Appointment Of Successor Guardian (Without Hearing)
Wisconsin/Statewide/Circuit Court/Guardianship/ -
Notice Of Change Of Address
Wisconsin/Statewide/Circuit Court/Guardianship/ -
Notice Of Statement Requesting Removal Of Rights
Wisconsin/Statewide/Circuit Court/Guardianship/ -
Notice Of Filing Of Final Account
Wisconsin/Statewide/Circuit Court/Guardianship/ -
Order And Notice Of Hearing
Wisconsin/Statewide/Circuit Court/Guardianship/ -
Order For Notice Of Statement Requesting Removal Of Rights
Wisconsin/Statewide/Circuit Court/Guardianship/ -
Order On Petition To Extend Temporary Guardianship
Wisconsin/Statewide/Circuit Court/Guardianship/ -
Order Terminating Guardianship Or Denying Petition
Wisconsin/Statewide/Circuit Court/Guardianship/ -
Order On Petition For Review Of Conduct Of Guardian
Wisconsin/Statewide/Circuit Court/Guardianship/ -
Petition For Approval Prior To Exercise Of Powers Over The Estate Of A Married Ward
Wisconsin/Statewide/Circuit Court/Guardianship/ -
Petition For Authorizing Involuntary Administration Of Medication
Wisconsin/1 Statewide/Circuit Court/Guardianship/ -
Order On Petition For Temporary Guardianship
Wisconsin/Statewide/Circuit Court/Guardianship/ -
Petition For Change Of Venue Due To Change Of Residence Of Ward
Wisconsin/Statewide/Circuit Court/Guardianship/ -
Petition For Modification Of Guardianship
Wisconsin/Statewide/Circuit Court/Guardianship/ -
Petition To Extend Temp Guardianship
Wisconsin/1 Statewide/Circuit Court/Guardianship/ -
Petition For Guardianship Of Minor
Wisconsin/Statewide/Circuit Court/Guardianship/ -
Petition To Transfer Property Upon Termination Of Guardianship Of Minor
Wisconsin/Statewide/Circuit Court/Guardianship/ -
Petition To Extend Temporary Guardianship
Wisconsin/Statewide/Circuit Court/Guardianship/ -
Petition To Transfer Guardianship To Another State
Wisconsin/Statewide/Circuit Court/Guardianship/ -
Provisional Order On Petition To Transfer Guardianship To Another State
Wisconsin/Statewide/Circuit Court/Guardianship/ -
Receipt From Guardian Or Conservator
Wisconsin/Statewide/Circuit Court/Guardianship/ -
Waiver And Consent To Petition For Guardianship Due To Incompetency
Wisconsin/Statewide/Circuit Court/Guardianship/ -
Resignation Of Guardian Or Conservator
Wisconsin/Statewide/Circuit Court/Guardianship/ -
Provisional Order On Petition To Accept Guardianship Transferred To WI
Wisconsin/Statewide/Circuit Court/Guardianship/ -
Statement Requesting Removal Of Rights And Transfer Of Additional Powers To Guardian
Wisconsin/Statewide/Circuit Court/Guardianship/ -
Letters Of Guardianship Of The Estate Of Minor
Wisconsin/Statewide/Circuit Court/Guardianship/ -
Consent To Serve As Temporary Guardian
Wisconsin/1 Statewide/Circuit Court/Guardianship/ -
Notice Of Transfer Of Protective Placement
Wisconsin/Statewide/Circuit Court/Guardianship/ -
Order On Petition For Temporary Guardianship
Wisconsin/1 Statewide/Circuit Court/Guardianship/ -
Public Defender Response (Chapter 55)
Wisconsin/Statewide/Circuit Court/Guardianship/ -
Petition For Review Of Conduct Of Guardian
Wisconsin/Statewide/Circuit Court/Guardianship/ -
Notice Of Rights On Emergency Protective Placement
Wisconsin/Statewide/Circuit Court/Guardianship/ -
Order On Temporary Protective Placement Or Protective Services
Wisconsin/Statewide/Circuit Court/Guardianship/ -
Report And Recommendation Of Guardian Ad Litem
Wisconsin/Statewide/Circuit Court/Guardianship/ -
Petition For Annual Review Of Protective Placement
Wisconsin/Statewide/Circuit Court/Guardianship/ -
Letters Of Temporary Guardianship Of The Estate
Wisconsin/Statewide/Circuit Court/Guardianship/ -
Summary Hearing Review Authorizing Medication
Wisconsin/1 Statewide/Circuit Court/Guardianship/ -
Statement Of Emergency Protective Placement
Wisconsin/Statewide/Circuit Court/Guardianship/ -
Order Concerning Removal Of Firearm Restriction
Wisconsin/1 Statewide/Circuit Court/Guardianship/ -
Petition For Protective Placement Protective Services
Wisconsin/Statewide/Circuit Court/Guardianship/ -
Order Modifying Guardianship
Wisconsin/Statewide/Circuit Court/Guardianship/ -
Order To Discharge Of Guardian Or Conservator
Wisconsin/Statewide/Circuit Court/Guardianship/ -
Report Of Guardian Ad Litem (Guardianship Due To Incompetency)
Wisconsin/Statewide/Circuit Court/Guardianship/ -
Petition For Appointment Of Standby Or Successor Guardian
Wisconsin/1 Statewide/Circuit Court/Guardianship/ -
Statement Of Acts By Proposed Guardian And Consent To Serve As Guardian
Wisconsin/Statewide/Circuit Court/Guardianship/ -
Order For Appointment Of Successor Guardian (Without Hearing)
Wisconsin/Statewide/Circuit Court/Guardianship/ -
Order On Petition
Wisconsin/Statewide/Circuit Court/Guardianship/ -
Notice Of Firearm Restriction
Wisconsin/Statewide/Circuit Court/Guardianship/ -
Notification To Court Of Assumption Of Duties
Wisconsin/1 Statewide/Circuit Court/Guardianship/ -
Order On Petition For Change Of Venue Due To Change Of Residence Of Ward
Wisconsin/Statewide/Circuit Court/Guardianship/ -
Petition For Appointment Of Successor Guardian (Without Hearing)
Wisconsin/Statewide/Circuit Court/Guardianship/ -
Letters Of Guardianship Of The Person (Due To Incompetency)
Wisconsin/Statewide/Circuit Court/Guardianship/ -
Letters Of Guardianship Of The Estate (Due To Incompetency)
Wisconsin/Statewide/Circuit Court/Guardianship/ -
Petition For Guardianship Due To Incompetency
Wisconsin/Statewide/Circuit Court/Guardianship/ -
Examining Physicians Or Psychologists Report
Wisconsin/Statewide/Circuit Court/Guardianship/ -
Determination And Order On Petition For Guardianship Due To Incompetency
Wisconsin/Statewide/Circuit Court/Guardianship/ -
Certificate Of Service
Wisconsin/Statewide/Circuit Court/Guardianship/ -
Certificate Of Service
Wisconsin/1 Statewide/Circuit Court/Guardianship/ -
Statement Of Acts by Proposed Guardian
Wisconsin/1 Statewide/Circuit Court/Guardianship/ -
Guardianship Or Conservatorship Inventory
Wisconsin/Statewide/Circuit Court/Guardianship/ -
Account Of Guardian Or Conservator
Wisconsin/Statewide/Circuit Court/Guardianship/ -
Application To Authorize Or Confirm Sale Of Real Estate
Wisconsin/Statewide/Circuit Court/Guardianship/ -
Petition To Authorize Transfer Of Income And Assets Of Person Under Guardianship
Wisconsin/Statewide/Circuit Court/Guardianship/ -
Petition To Accept Guardianship Transferred To WI
Wisconsin/Statewide/Circuit Court/Guardianship/ -
Registration Of Out Of State Guardianship
Wisconsin/Statewide/Circuit Court/Guardianship/ -
Petition For Involuntary Administration Of Psychotropic Medication
Wisconsin/Statewide/Circuit Court/Guardianship/ -
Statement Of Noncompliance With Order Of Involuntary Administration of Medication
Wisconsin/1 Statewide/Circuit Court/Guardianship/ -
Petition Objecting To Transfer Of Protective Placement
Wisconsin/Statewide/Circuit Court/Guardianship/ -
Petition For Modification Of Order For Protective Placement Or Protective Services
Wisconsin/Statewide/Circuit Court/Guardianship/ -
Modified Annual Account Of Married Ward
Wisconsin/Statewide/Circuit Court/Guardianship/ -
Petition For Termination Of Guardianship
Wisconsin/Statewide/Circuit Court/Guardianship/ -
Order For Appointment Of Successor Guardian Of The Estate (Without Hearing)
Wisconsin/Statewide/Circuit Court/Guardianship/ -
Affidavit Of Service
Wisconsin/1 Statewide/Circuit Court/Guardianship/ -
Affidavit Of Service (Guardianship, Conservatorship, Protective Placement Or Protective Services)
Wisconsin/Statewide/Circuit Court/Guardianship/
Form Preview
Contact Us
Success: Your message was sent.
Thank you!




