Last updated: 11/12/2020
Report Of Guardian Ad Litem (Guardianship Of Minor) {GN-3325}
Start Your Free Trial $ 17.99What you get:
- Instant access to fillable Microsoft Word or PDF forms.
- Minimize the risk of using outdated forms and eliminate rejected fillings.
- Largest forms database in the USA with more than 80,000 federal, state and agency forms.
- Download, edit, auto-fill multiple forms at once in MS Word using our Forms Workflow Ribbon
- Trusted by 1,000s of Attorneys and Legal Professionals
Description
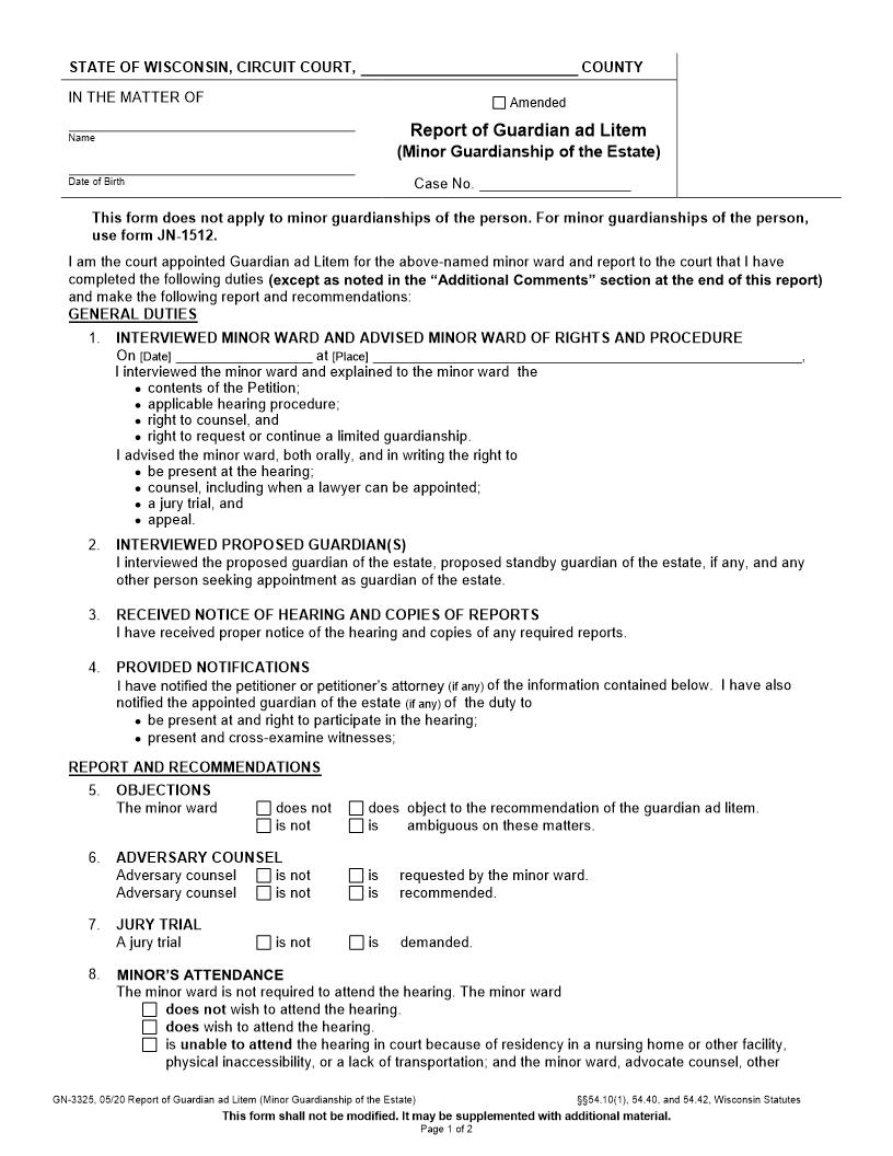
GN-3325, 05/18 Report of Guardian ad Litem (Guardianship of Minor) 24724754.10(1), 54.40, 54.42 and 55.10(4)(b), Wisconsin Statutes This form shall not be modified. It may be supplemented with additional material. Page 1 of 4 STATE OF WISCONSIN, CIRCUIT COURT, COUNTY IN THE MATTER OF Name Date of Birth Amended Report of Guardian ad Litem Guardianship of Minor Case No. I am the court appointed Guardian ad Litem for the above - named minor and report to the court that I have completed the following duties and make the following report and recom mendations: GENERAL DUTIES 1. INTERVIEWED MINOR AND ADVISED MINOR OF RIGHTS AND PROCEDURE On [Date] at [Place] , I interviewed the minor and explained to the minor the contents of the Petition; applicable hearing procedure; right to counsel, and right to request or continue a limited guardianship. I advised the minor , both orally , and in writing the right to be present at the hearing ; counsel, including when a lawyer can be appointed; an independent medical or psychological examinatio n on the issue of competency ; (at county expense if the person is indigent) a jury trial, and a ppeal. 2. INTERVIEWED PROPOSED GUARDIAN(S) I interviewed the proposed guardian, proposed standby guardian, if any, and any other person seeking appointment as guardian. 3. REVIEWED ADVANCE PLANNING I have reviewed any advance planning for financial and health care decision making in which the minor had engaged. 4. INTERVIEWED AGENT I have interviewed any agent appointed by the minor under any document specified above. 5. RECEIVED NOTICE OF HEARING AND COPIES OF REPORTS protective placement is bei ng requested, I have received a copy of the comprehensive evaluation and, if applicable, the plan for home or community - based care. 6. PROVIDED NOTIFICATIONS (if any) of the information contained below. I have also notified the appointed guardian (if any) of the duty to be present at and right to participate in the hearing; present and cross - examine witnesses; receive a copy of any comprehensive evaluation, and sec ure and present a report on an independent evaluation. REPORT AND RECOMMENDATIONS 7. OBJECTIONS The minor does not does object to the proposed or present placement. American LegalNet, Inc. www.FormsWorkFlow.com GN-3325, 05/18 Report of Guardian ad Litem (Guardianship of Minor) 24724754.10(1), 54.40, 54.42 and 55.10(4)(b), Wisconsin Statutes This form shall not be modified. It may be supplemented with additional material. Page 2 of 4 does not does object to the recommendation of the guardian ad litem. is not is ambiguous on these matters. 8. ADVERSARY COUNSEL Adversary counsel is not is requested by the minor. Adversary counsel is not is recommended. 9. JURY TRIAL A jury trial is not demanded. is demanded. 10. The minor is not required to attend the hearing. The minor does not wish to attend the hearing. does wish to attend the hearing. is unable to attend the hearing in court because of residency in a nursing ho me or other facility, physical inaccessibility, or a lack of transportation; and the minor, advocate counsel, other interested person, or I request that the court hold the hearing in a place where the minor can attend. Specify location requested: . 11. ADDITIONAL EVALUATIONS Additional medical, psychological or other evaluation is not requested. is requested. Specify evaluation requested and reason: 12. BEST INTERESTS OF MINOR Based on my investigation, I recommend that the court find that the minor is substantially capable of caring for himself or herself. incapable of caring for himself or herself. capable of managing his or her property. incapable of managing his or her property . 13. GUARDIAN OF THE PERSON Powers to be transferred to guardian of the p erson in full or in part. I recommend the court find that it is in the best interest of the minor to appoint a permanent guardian of the person to exercise the power in full or in part to 1. A. give informed consent to the voluntary receipt by the minor of a medical examination, medication, including any appropriate psychotropic medication, and medical treatment that is in the minor's best interest, if the guardian has first made a good - faith attempt to discuss with the min or the voluntary receipt of the examination, medication, or treatment and if the minor does not protest. Full Transfer. Partial Transfer. The minor retains the power to: 1. B. give informed consent, if in the minor's best interests, to the involuntary administration of a medical ex amination, medication other than psychotropic medication, and medical treatment that is in the minor 's best interest. Full Transfer. Partial Transfer. The minor retains the power to: 2. help the minor , or others if minimal risk of harm. Full Transfer. Partial Transfer. The minor retains the power to: 3. authorize minor minor but might help others if greater than minimal risk of harm to the minor but evidence indicates minor would have elected to participate. Full Transfer. Partial Transfer. The minor retains the power to: 4. consent to experimental treatment in the minor Full Transfer. Partial Transfer. The minor retains the power to: 5. give informed consent to receipt by minor of social and supported living services. Full Transfer. Partial Transfer. The minor retains the power to: 6. give informed consent to release of confidential records other than court, treatment, and patient health care records and redisclosure as appropriate. Full Transfer. Partial Transfer. The minor retains the power to: American LegalNet, Inc. www.FormsWorkFlow.com GN-3325, 05/18 Report of Guardian ad Litem (Guardianship of Minor) 24724754.10(1), 54.40, 54.42 and 55.10(4)(b), Wisconsin Statutes This form shall not be modified. It may be supplemented with additional material. Page 3 of 4 7. make decisions related to mobility and travel. Full Transfer. Partial Transfer. The minor retains the power to: 8. choose providers of medical, social, and supported living services. Full Transfer. Partial Transfer. The minor retains the power to: 9. make decisions regarding educational and vocational placement and support services or employment. Full Transfer. Partial Transfer. The minor retains the power to: 10. make decisions regarding initiating a petition for termination of marriage. Full Transfer. Partial Transfer. The minor retains the power to: 11. receive all notices on behalf of t he minor. Full Transfer. Partial Transfer. The minor retains the power to: 12. act in all proceedings as an advocate of the minor , except the power to enter into a contract that binds the minor or the minor minor in any legal proceedings pertaining to the property, unless the guardian of the person is also the guardian of the estate. Full Transfer. Partial Transfer. The minor retains the power to: 13. apply for protective placement or for commitment on behalf of t he minor which does not require court approval . Full Transfer. Partial Transfer. The minor retains the power to: 14. have care, custody and control of the minor. Full Transfer. Partial Transfer. The minor retains the power to: 15. Other: See attached 14 . GUARDIAN OF THE ESTATE I recommend the court find that it is in the best interest of the minor to A. a ppoint a guardian of the estate to perform duties under 24754.19, Wis. Stats., and exercise the powers that do not require court approval under 24754.20(3), Wis. Stats., except as follows: (Choose one) (1) The minor retains all powers, except for the following powers to be transferred to the guardian: . (2) All powers to be transferred to the guardian, except for the following powers: . (3) All powers to be transferred to guardian. B. a uthorize the guardian of the estate to perform the following additional powers ( other than to make gifts) that require court approval under 24754.20(2) , Wis. Stats. : See attached C. d irect that the guardian of funds of $100,000 or less in an insured account of a bank, credit union, savings bank or savings and loan association in the name of the guardian and the minor , payable only upon further order of the court, and waive bond for the guardian of the estate. 15. ALTERNATIVE TO GUARDIANSHIP OF ESTATE FO
Related forms
-
Order Appointing Guardian Ad Litem (Annual Review Of Protective Placement)
Wisconsin/Statewide/Circuit Court/Guardianship/ -
Order On Petition For Protective Placement Or Protective Services
Wisconsin/Statewide/Circuit Court/Guardianship/ -
Notice Of Initial Placement By Appropriate Board Or Designated Agency
Wisconsin/Statewide/Circuit Court/Guardianship/ -
Order And Notice For Hearing On Petition Objecting To Transfer Of Protective Placement
Wisconsin/Statewide/Circuit Court/Guardianship/ -
Order On Petition Objecting To Transfer Of Protective Placement
Wisconsin/Statewide/Circuit Court/Guardianship/ -
Order On Petition For Modification Of Order For Protective Placement Or Protective Services
Wisconsin/Statewide/Circuit Court/Guardianship/ -
Order For Hearing Petition For Appointment Of Conservator
Wisconsin/Statewide/Circuit Court/Guardianship/ -
Order On Petition For Appointment Of Conservator
Wisconsin/Statewide/Circuit Court/Guardianship/ -
Findings And Order Continuing Protective Placement
Wisconsin/Statewide/Circuit Court/Guardianship/ -
Findings And Order Terminating Protective Placement
Wisconsin/Statewide/Circuit Court/Guardianship/ -
Amended Reimbursement Order
Wisconsin/Statewide/Circuit Court/Guardianship/ -
Order For Reimbursement Of Costs Of Legal Services (Chapter 55)
Wisconsin/Statewide/Circuit Court/Guardianship/ -
Order For Petition For Involuntary Administration Of Psychotropic Medication
Wisconsin/Statewide/Circuit Court/Guardianship/ -
Order And Notice For Hearing On Temporary Protective Placement
Wisconsin/Statewide/Circuit Court/Guardianship/ -
Order Appointing Guardian Ad Litem Medication Review
Wisconsin/1 Statewide/Circuit Court/Guardianship/ -
Order On Statement Of Noncompliance For Involuntary Adminstration Of Medication
Wisconsin/1 Statewide/Circuit Court/Guardianship/ -
Psychotropic Medication Report
Wisconsin/1 Statewide/Circuit Court/Guardianship/ -
Notice Of Hearing - Guardianship
Wisconsin/Statewide/Circuit Court/Guardianship/ -
List of Wards Remaining Assets At Guardianship Termination
Wisconsin/Statewide/Circuit Court/Guardianship/ -
Nomination Of Guardian By A Minor
Wisconsin/Statewide/Circuit Court/Guardianship/ -
Order On Petition To Transfer Income And Assets
Wisconsin/Statewide/Circuit Court/Guardianship/ -
Order On Petition For Approval Prior To Exercise Of Powers Over The Estate Of A Married Ward
Wisconsin/Statewide/Circuit Court/Guardianship/ -
Order To Transfer Property Upon Termination Of Guardianship Of Minor
Wisconsin/Statewide/Circuit Court/Guardianship/ -
Statement Of Wards Real Property Filed With Register Of Deeds
Wisconsin/Statewide/Circuit Court/Guardianship/ -
Report Of Disposition Of Funds Sale, Mortgage, Lease Of Real Estate
Wisconsin/Statewide/Circuit Court/Guardianship/ -
Waiver And Consent To Petition For Guardianship Of Minor
Wisconsin/Statewide/Circuit Court/Guardianship/ -
Report Of Guardian Ad Litem (Guardianship Of Minor)
Wisconsin/Statewide/Circuit Court/Guardianship/ -
Order And Notice Of Hearing Petition For Guardianship Of Minor
Wisconsin/Statewide/Circuit Court/Guardianship/ -
Annual Report On The Condition Of The Ward
Wisconsin/Statewide/Circuit Court/Guardianship/ -
Determination And Order On Petition For Guardianship Of Minor
Wisconsin/Statewide/Circuit Court/Guardianship/ -
Consent To Serve As Temp Guardian
Wisconsin/1 Statewide/Circuit Court/Guardianship/ -
Final Order Confirming Transfer To Another State
Wisconsin/Statewide/Circuit Court/Guardianship/ -
Letters Of Temporary Guardianship Of The Person
Wisconsin/Statewide/Circuit Court/Guardianship/ -
Final Order Accepting Guardianship Transferred To WI
Wisconsin/Statewide/Circuit Court/Guardianship/ -
Notice Of Appointment Of Successor Guardian (Without Hearing)
Wisconsin/Statewide/Circuit Court/Guardianship/ -
Notice Of Change Of Address
Wisconsin/Statewide/Circuit Court/Guardianship/ -
Notice Of Statement Requesting Removal Of Rights
Wisconsin/Statewide/Circuit Court/Guardianship/ -
Notice Of Filing Of Final Account
Wisconsin/Statewide/Circuit Court/Guardianship/ -
Order And Notice Of Hearing
Wisconsin/Statewide/Circuit Court/Guardianship/ -
Order For Notice Of Statement Requesting Removal Of Rights
Wisconsin/Statewide/Circuit Court/Guardianship/ -
Order On Petition To Extend Temporary Guardianship
Wisconsin/Statewide/Circuit Court/Guardianship/ -
Order Terminating Guardianship Or Denying Petition
Wisconsin/Statewide/Circuit Court/Guardianship/ -
Order On Petition For Review Of Conduct Of Guardian
Wisconsin/Statewide/Circuit Court/Guardianship/ -
Petition For Approval Prior To Exercise Of Powers Over The Estate Of A Married Ward
Wisconsin/Statewide/Circuit Court/Guardianship/ -
Petition For Authorizing Involuntary Administration Of Medication
Wisconsin/1 Statewide/Circuit Court/Guardianship/ -
Order On Petition For Temporary Guardianship
Wisconsin/Statewide/Circuit Court/Guardianship/ -
Petition For Change Of Venue Due To Change Of Residence Of Ward
Wisconsin/Statewide/Circuit Court/Guardianship/ -
Petition For Modification Of Guardianship
Wisconsin/Statewide/Circuit Court/Guardianship/ -
Petition To Extend Temp Guardianship
Wisconsin/1 Statewide/Circuit Court/Guardianship/ -
Petition For Guardianship Of Minor
Wisconsin/Statewide/Circuit Court/Guardianship/ -
Petition To Transfer Property Upon Termination Of Guardianship Of Minor
Wisconsin/Statewide/Circuit Court/Guardianship/ -
Petition To Extend Temporary Guardianship
Wisconsin/Statewide/Circuit Court/Guardianship/ -
Petition To Transfer Guardianship To Another State
Wisconsin/Statewide/Circuit Court/Guardianship/ -
Provisional Order On Petition To Transfer Guardianship To Another State
Wisconsin/Statewide/Circuit Court/Guardianship/ -
Receipt From Guardian Or Conservator
Wisconsin/Statewide/Circuit Court/Guardianship/ -
Waiver And Consent To Petition For Guardianship Due To Incompetency
Wisconsin/Statewide/Circuit Court/Guardianship/ -
Resignation Of Guardian Or Conservator
Wisconsin/Statewide/Circuit Court/Guardianship/ -
Provisional Order On Petition To Accept Guardianship Transferred To WI
Wisconsin/Statewide/Circuit Court/Guardianship/ -
Statement Requesting Removal Of Rights And Transfer Of Additional Powers To Guardian
Wisconsin/Statewide/Circuit Court/Guardianship/ -
Letters Of Guardianship Of The Estate Of Minor
Wisconsin/Statewide/Circuit Court/Guardianship/ -
Consent To Serve As Temporary Guardian
Wisconsin/1 Statewide/Circuit Court/Guardianship/ -
Notice Of Transfer Of Protective Placement
Wisconsin/Statewide/Circuit Court/Guardianship/ -
Order On Petition For Temporary Guardianship
Wisconsin/1 Statewide/Circuit Court/Guardianship/ -
Public Defender Response (Chapter 55)
Wisconsin/Statewide/Circuit Court/Guardianship/ -
Petition For Review Of Conduct Of Guardian
Wisconsin/Statewide/Circuit Court/Guardianship/ -
Notice Of Rights On Emergency Protective Placement
Wisconsin/Statewide/Circuit Court/Guardianship/ -
Order On Temporary Protective Placement Or Protective Services
Wisconsin/Statewide/Circuit Court/Guardianship/ -
Report And Recommendation Of Guardian Ad Litem
Wisconsin/Statewide/Circuit Court/Guardianship/ -
Petition For Annual Review Of Protective Placement
Wisconsin/Statewide/Circuit Court/Guardianship/ -
Letters Of Temporary Guardianship Of The Estate
Wisconsin/Statewide/Circuit Court/Guardianship/ -
Summary Hearing Review Authorizing Medication
Wisconsin/1 Statewide/Circuit Court/Guardianship/ -
Statement Of Emergency Protective Placement
Wisconsin/Statewide/Circuit Court/Guardianship/ -
Order Concerning Removal Of Firearm Restriction
Wisconsin/1 Statewide/Circuit Court/Guardianship/ -
Petition For Protective Placement Protective Services
Wisconsin/Statewide/Circuit Court/Guardianship/ -
Order Modifying Guardianship
Wisconsin/Statewide/Circuit Court/Guardianship/ -
Order To Discharge Of Guardian Or Conservator
Wisconsin/Statewide/Circuit Court/Guardianship/ -
Report Of Guardian Ad Litem (Guardianship Due To Incompetency)
Wisconsin/Statewide/Circuit Court/Guardianship/ -
Petition For Appointment Of Standby Or Successor Guardian
Wisconsin/1 Statewide/Circuit Court/Guardianship/ -
Statement Of Acts By Proposed Guardian And Consent To Serve As Guardian
Wisconsin/Statewide/Circuit Court/Guardianship/ -
Order For Appointment Of Successor Guardian (Without Hearing)
Wisconsin/Statewide/Circuit Court/Guardianship/ -
Order On Petition
Wisconsin/Statewide/Circuit Court/Guardianship/ -
Notice Of Firearm Restriction
Wisconsin/Statewide/Circuit Court/Guardianship/ -
Notification To Court Of Assumption Of Duties
Wisconsin/1 Statewide/Circuit Court/Guardianship/ -
Order On Petition For Change Of Venue Due To Change Of Residence Of Ward
Wisconsin/Statewide/Circuit Court/Guardianship/ -
Petition For Appointment Of Successor Guardian (Without Hearing)
Wisconsin/Statewide/Circuit Court/Guardianship/ -
Letters Of Guardianship Of The Person (Due To Incompetency)
Wisconsin/Statewide/Circuit Court/Guardianship/ -
Letters Of Guardianship Of The Estate (Due To Incompetency)
Wisconsin/Statewide/Circuit Court/Guardianship/ -
Petition For Guardianship Due To Incompetency
Wisconsin/Statewide/Circuit Court/Guardianship/ -
Examining Physicians Or Psychologists Report
Wisconsin/Statewide/Circuit Court/Guardianship/ -
Determination And Order On Petition For Guardianship Due To Incompetency
Wisconsin/Statewide/Circuit Court/Guardianship/ -
Certificate Of Service
Wisconsin/Statewide/Circuit Court/Guardianship/ -
Certificate Of Service
Wisconsin/1 Statewide/Circuit Court/Guardianship/ -
Statement Of Acts by Proposed Guardian
Wisconsin/1 Statewide/Circuit Court/Guardianship/ -
Guardianship Or Conservatorship Inventory
Wisconsin/Statewide/Circuit Court/Guardianship/ -
Account Of Guardian Or Conservator
Wisconsin/Statewide/Circuit Court/Guardianship/ -
Application To Authorize Or Confirm Sale Of Real Estate
Wisconsin/Statewide/Circuit Court/Guardianship/ -
Petition To Authorize Transfer Of Income And Assets Of Person Under Guardianship
Wisconsin/Statewide/Circuit Court/Guardianship/ -
Petition To Accept Guardianship Transferred To WI
Wisconsin/Statewide/Circuit Court/Guardianship/ -
Registration Of Out Of State Guardianship
Wisconsin/Statewide/Circuit Court/Guardianship/ -
Petition For Involuntary Administration Of Psychotropic Medication
Wisconsin/Statewide/Circuit Court/Guardianship/ -
Statement Of Noncompliance With Order Of Involuntary Administration of Medication
Wisconsin/1 Statewide/Circuit Court/Guardianship/ -
Petition Objecting To Transfer Of Protective Placement
Wisconsin/Statewide/Circuit Court/Guardianship/ -
Petition For Modification Of Order For Protective Placement Or Protective Services
Wisconsin/Statewide/Circuit Court/Guardianship/ -
Modified Annual Account Of Married Ward
Wisconsin/Statewide/Circuit Court/Guardianship/ -
Petition For Termination Of Guardianship
Wisconsin/Statewide/Circuit Court/Guardianship/ -
Order For Appointment Of Successor Guardian Of The Estate (Without Hearing)
Wisconsin/Statewide/Circuit Court/Guardianship/ -
Affidavit Of Service
Wisconsin/1 Statewide/Circuit Court/Guardianship/ -
Affidavit Of Service (Guardianship, Conservatorship, Protective Placement Or Protective Services)
Wisconsin/Statewide/Circuit Court/Guardianship/
Form Preview
Contact Us
Success: Your message was sent.
Thank you!




