Last updated: 2/15/2011
Order Directing Emergency Evaluation {GF-13b}
Start Your Free Trial $ 13.99What you get:
- Instant access to fillable Microsoft Word or PDF forms.
- Minimize the risk of using outdated forms and eliminate rejected fillings.
- Largest forms database in the USA with more than 80,000 federal, state and agency forms.
- Download, edit, auto-fill multiple forms at once in MS Word using our Forms Workflow Ribbon
- Trusted by 1,000s of Attorneys and Legal Professionals
Description
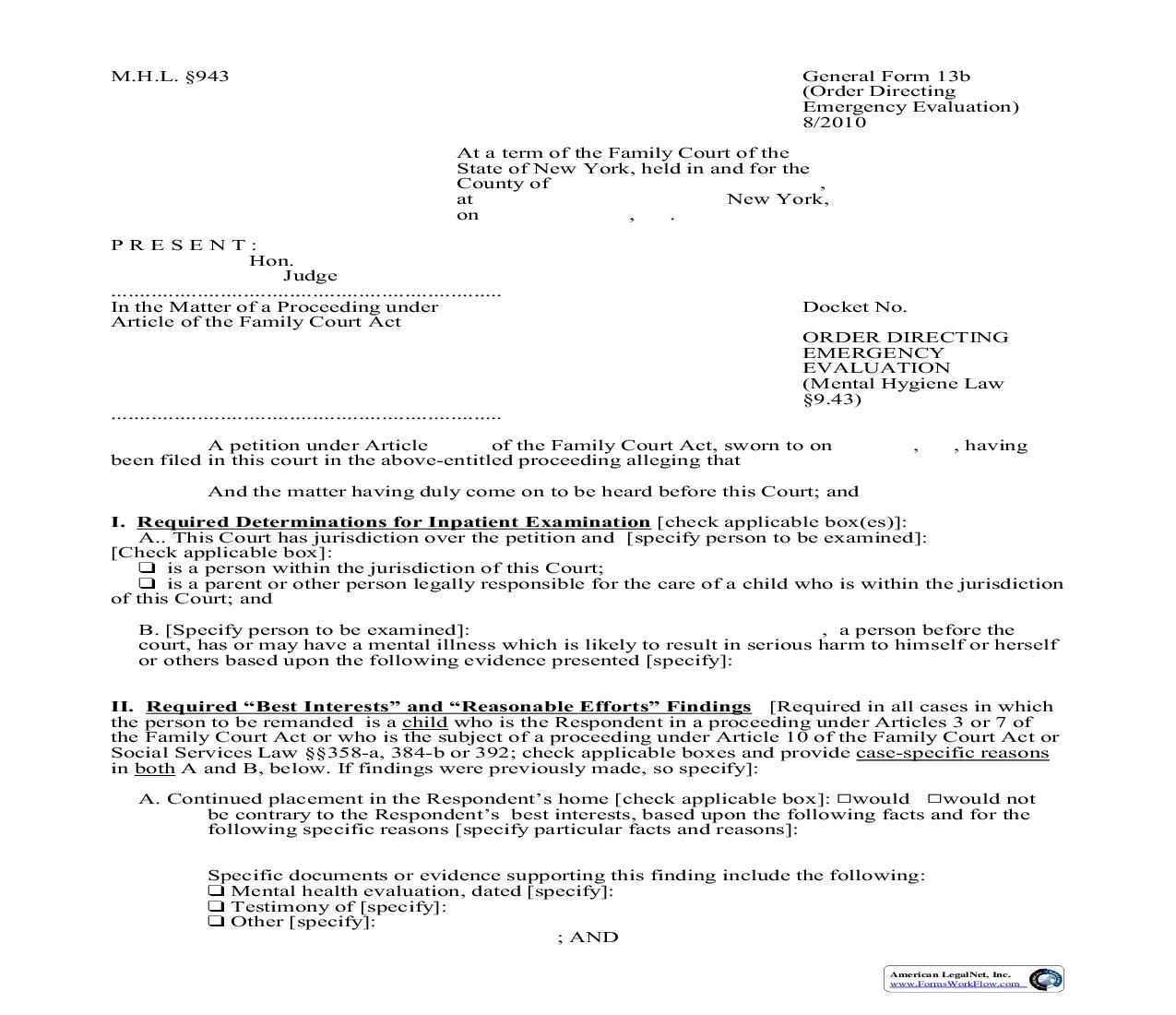
M.H.L. §943 General Form 13b (Order Directing Emergency Evaluation) 8/2010 At a term of the Family Court of the State of New York, held in and for the County of , at New York, on , . PRESENT: Hon. Judge .................................................................... In the Matter of a Proceeding under Article of the Family Court Act Docket No. ORDER DIRECTING EMERGENCY EVALUATION (Mental Hygiene Law §9.43) .................................................................... A petition under Article of the Family Court Act, sworn to on been filed in this court in the above-entitled proceeding alleging that And the matter having duly come on to be heard before this Court; and I. Required Determinations for Inpatient Examination [check applicable box(es)]: A.. This Court has jurisdiction over the petition and [specify person to be examined]: [Check applicable box]: is a person within the jurisdiction of this Court; is a parent or other person legally responsible for the care of a child who is within the jurisdiction of this Court; and B. [Specify person to be examined]: , a person before the court, has or may have a mental illness which is likely to result in serious harm to himself or herself or others based upon the following evidence presented [specify]: II. Required "Best Interests" and "Reasonable Efforts" Findings [Required in all cases in which the person to be remanded is a child who is the Respondent in a proceeding under Articles 3 or 7 of the Family Court Act or who is the subject of a proceeding under Article 10 of the Family Court Act or Social Services Law §§358-a, 384-b or 392; check applicable boxes and provide case-specific reasons in both A and B, below. If findings were previously made, so specify]: A. Continued placement in the Respondent's home [check applicable box]: Qwould Qwould not be contrary to the Respondent's best interests, based upon the following facts and for the following specific reasons [specify particular facts and reasons]: Specific documents or evidence supporting this finding include the following: Mental health evaluation, dated [specify]: Testimony of [specify]: Other [specify]: ; AND American LegalNet, Inc. www.FormsWorkFlow.com , , having Form GF-13b Page 2 B. Reasonable efforts, where appropriate, to prevent or eliminate the need for removal of the Respondent from the home, and , if the Respondent was removed prior to the date of the hearing, to return the Respondent safely to his or her home: were made as follows [specify reasonable efforts]: were not made but the lack of such efforts was appropriate based upon the following facts and for the following reasons [specify particular facts and reasons]: were not made. Specific documents or evidence supporting the finding in ¶B include the following: Mental health evaluation, dated [specify]: Testimony of [specify]: Other [specify]: NOW, therefore, it is ORDERED that [specify]: is remanded to [check applicable box]: The following hospital specified in section 9.39(a) of the Mental Hygiene Law [specify]: OR The following comprehensive psychiatric emergency program described in section 9.40(a) of the Mental Hygiene Law [specify]: for a determination by the director of such hospital or program whether such person should be retained therein pursuant to such section; and it is further ORDERED that the director of the hospital or program to which the remand is made shall, within ___ days after the completion of such examination, submit a report to this Court; and it is further ORDERED that this proceeding is adjourned to [specify date]: (ORDERED (and it is further) ). PURSUANT TO SECTION 1113 OF THE FAMILY COURT ACT, AN APPEAL FROM THIS ORDER MUST BE TAKEN WITHIN 30 DAYS OF RECEIPT OF THE ORDER BY APPELLANT IN COURT, 35 DAYS FROM THE DATE OF MAILING OF THE ORDER TO APPELLANT BY THE CLERK OF COURT, OR 30 DAYS AFTER SERVICE BY A PARTY OR THE ATTORNEY FOR THE CHILD UPON THE APPELLANT, WHICHEVER IS EARLIEST. ENTER ____________________________________ Judge of the Family Court Dated: , . Check applicable box: 9 Order mailed on [specify date(s) and to whom mailed ]:___________________________ 9 Order received in court on [specify date(s) and to whom given]:_____________________ American LegalNet, Inc. www.FormsWorkFlow.com
Related forms
-
Court Issued Subpoena
New York/Statewide/Family Court/General/ -
Order Authorizing Services Other Than Counsel Under Article 18-B Of The County Law
New York/Statewide/Family Court/General/ -
Order Determining Petition For Transfer Of Proceeding Concerning An Indian Child
New York/Statewide/Family Court/General/ -
Order Directing Emergency Evaluation
New York/Statewide/Family Court/General/ -
Order Directing Medical Examination Outpatient
New York/Statewide/Family Court/General/ -
Order Of Commitment
New York/Statewide/Family Court/General/ -
Order Suspending Commitment
New York/Statewide/Family Court/General/ -
Order To Sheriff To Return Respondent To Court
New York/Statewide/Family Court/General/ -
Summons Publication
New York/Statewide/Family Court/General/ -
Summons Violation Of Court Order
New York/Statewide/Family Court/General/ -
Summons
New York/Statewide/Family Court/General/ -
Violation Of Court Order With Commitment
New York/Statewide/Family Court/General/ -
Warrant Of Arrest
New York/Statewide/Family Court/General/ -
Writ Of Habeas Corpus
New York/Statewide/Family Court/General/ -
Summons Violation Of Order Of Protection
New York/Statewide/Family Court/General/ -
Order Directing Medical Examination Inpatient
New York/Statewide/Family Court/General/ -
Order Of Dismissal
New York/Statewide/Family Court/General/ -
Order To Show Cause
New York/Statewide/Family Court/General/ -
Order Transfer Of Proceedings
New York/Statewide/Family Court/General/ -
Petition For Termination Or Severance Of Lease Or Rental Agreement
New York/Statewide/Family Court/General/ -
Order On Petition For Termination Or Severance Of Lease Or Rental Agreement
New York/Statewide/Family Court/General/ -
Order On Petition For Modification Of Order Of Custody Or Visitation Made By Family Or Supreme Court
New York/Statewide/Family Court/General/ -
Order On Petition To Enforce Order Of Custody Or Visitation Made By Family Or Supreme Court
New York/Statewide/Family Court/General/ -
Notice Of Appearance
New York/Statewide/Family Court/General/ -
Order Transfer Of Proceedings Or Probation Supervision
New York/Statewide/Family Court/General/ -
Final Or Temporary Order On Petition For Custody And Or Visitation
New York/Statewide/Family Court/General/ -
Order On Petition For Voter Registration Confidentiality
New York/Statewide/Family Court/General/ -
Temporary Order Of Protection
New York/Statewide/Family Court/General/ -
Order Of Protection
New York/Statewide/Family Court/General/ -
Order Of Protection (PINS Or Juvenile Delinquency)
New York/Statewide/Family Court/General/ -
Temporary Order Of Protection (PINS Or Juvenile Delinquency)
New York/Statewide/Family Court/General/ -
Affirmation Of Child In Support Of Order For Sibling Placement-Contact
New York/Statewide/Family Court/General/ -
Notice Of Motion-Sibling Placement Or Contact
New York/Statewide/Family Court/General/ -
Affirmation Of Attorney For Child Support Of Order Sibling Placement-Contact
New York/Statewide/Family Court/General/ -
Addendum To Order–Findings Of Fact Conclusions Of Law-ICWA
New York/Statewide/Family Court/General/ -
Order On Motion For Order That Reasonable Efforts Are Not Required
New York/Statewide/Family Court/General/ -
Motion For An Order That Reasonable Efforts Are Not Required
New York/Statewide/Family Court/General/ -
Affirmation In Support Of Motion For An Order That Reasonable Efforts Are Not Required
New York/Statewide/Family Court/General/ -
Affirmation (Relating To Indian Child Welfare Act)
New York/Statewide/Family Court/General/ -
Order On Motion For Approval of Placement In RTP
New York/Statewide/Family Court/General/ -
Affirmation In Support Of Family Court Temporary Order Of Protection
New York/Statewide/Family Court/General/ -
Address Confidentiality Affirmation
New York/Statewide/Family Court/General/ -
Address Confidentiality Order
New York/Statewide/Family Court/General/ -
Order On Motion
New York/Statewide/Family Court/General/ -
Notice Of Motion
New York/Statewide/Family Court/General/ -
Order-Special Findings
New York/Statewide/Family Court/General/ -
Notice Of Motion–Approval Of Placement In A QRTP
New York/Statewide/Family Court/General/ -
Affirmation In Support Of Entry Of Out-Of-State OOP Onto Statewide Registry
New York/Statewide/Family Court/General/ -
Order Directing Forensic Evaluation
New York/Statewide/Family Court/General/ -
Protective Order Permitting Limited Release Of Forensic Evaluation
New York/Statewide/Family Court/General/ -
Affirmation Of Party Under CPLR S. 3103(A)
New York/Statewide/Family Court/General/ -
Affirmation Of Non-Disclosure Of Forensic Report Materials Data
New York/Statewide/Family Court/General/ -
Protective Order - After Forensic Report Received
New York/Statewide/Family Court/General/ -
Protective Order - Self-Represented Party Prior To Receipt Of Forensic Report GF-12-b
New York/Statewide/Family Court/General/ -
Notice Of Motion For Extension Or Modification Of Order Of Protection
New York/Statewide/Family Court/General/ -
Affirmation In Support Of Motion For Extension Or Modification Of Order Of Protection
New York/Statewide/Family Court/General/ -
Affidavit In Support Motion For Approval Of Placement In QRTP
New York/Statewide/Family Court/General/ -
Order Of Name Change On Consent
New York/Statewide/Family Court/General/ -
Affirmation Of Counsel Under CPLR S. 3103(A)
New York/Statewide/Family Court/General/ -
Petition (For Custody And Or Visitation)
New York/Statewide/Family Court/General/ -
Petition For Transfer Of Proceeding Concerning An Indian Child
New York/Statewide/Family Court/General/ -
Petition For Writ Of Habeas Corpus
New York/Statewide/Family Court/General/ -
Petition For Modification Of Order Of Custody Or Visitation Made By Family Or Supreme Court
New York/Statewide/Family Court/General/ -
Petition For Enforcement Of Order Of Custody Or Visitation Made By Supreme Or Family Court
New York/Statewide/Family Court/General/ -
Petition For Voter Registration Confidentiality
New York/Statewide/Family Court/General/ -
Affirmation In Support Of Family Court Temporary Order Of Protection
New York/Statewide/Family Court/General/ -
Affidavit In Support Of Modification Of Family Court Order Of Protection Or Temporary Order Of Protection
New York/Statewide/Family Court/General/ -
Petition (Violation Of Order Of Protection)
New York/Statewide/Family Court/General/ -
Petition (Violation Of Court Order)
New York/Statewide/Family Court/General/
Form Preview
Contact Us
Success: Your message was sent.
Thank you!




