Last updated: 5/24/2024
Affirmation In Support Of Motion For Extension Or Modification Of Order Of Protection {GF-10a}
Start Your Free Trial $ 14.00What you get:
- Instant access to fillable Microsoft Word or PDF forms.
- Minimize the risk of using outdated forms and eliminate rejected fillings.
- Largest forms database in the USA with more than 80,000 federal, state and agency forms.
- Download, edit, auto-fill multiple forms at once in MS Word using our Forms Workflow Ribbon
- Trusted by 1,000s of Attorneys and Legal Professionals
Description
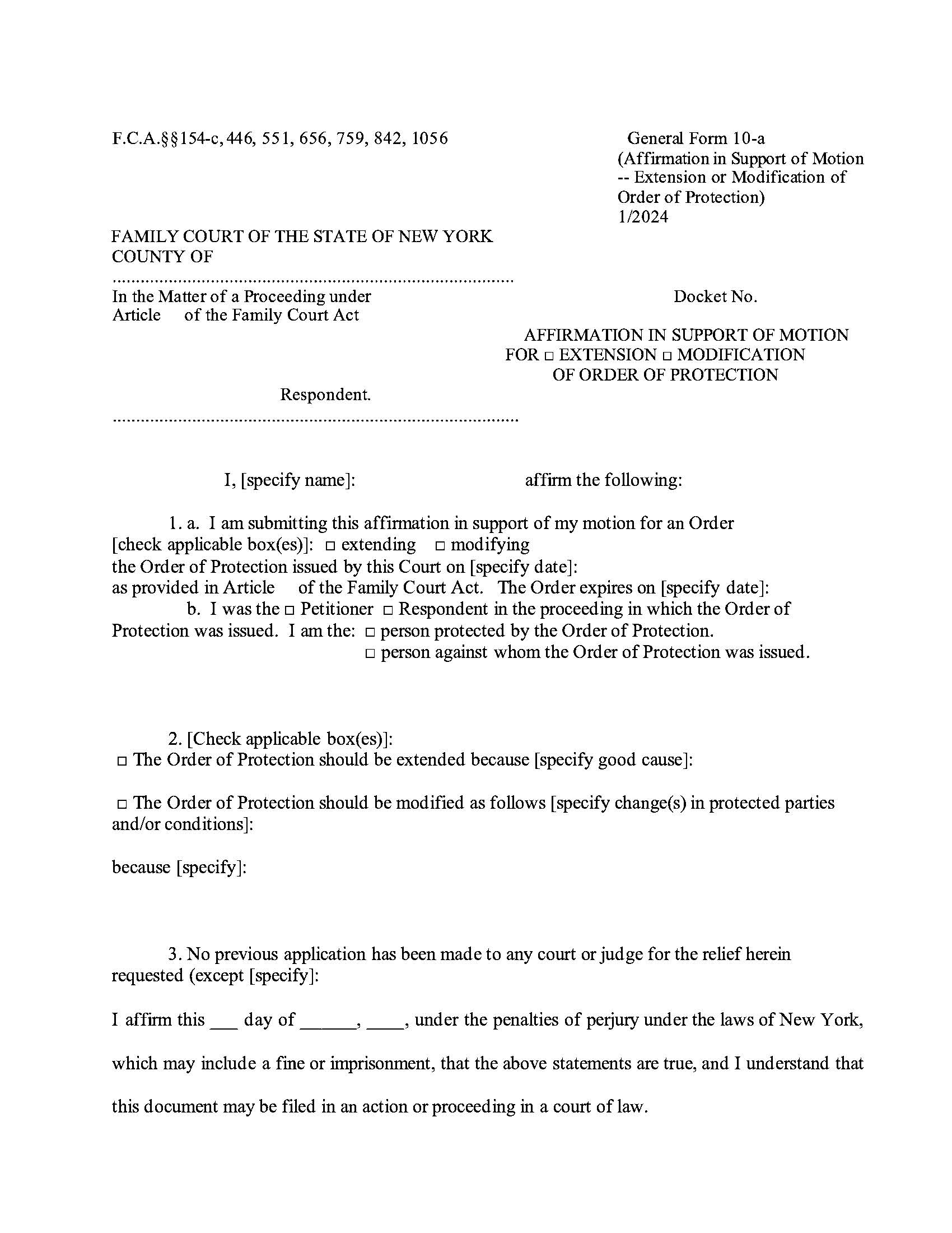
General Form 10-a - AFFIRMATION IN SUPPORT OF MOTION -- EXTENSION OR MODIFICATION OF ORDER OF PROTECTION. This form is used in the Family Court of the State of New York. The person filling out the form (the movant) provides information related to a previously issued Order of Protection and seeks either an extension or modification of that order. The form includes sections to specify the details of the original order, reasons for extension or modification, and any relevant circumstances. The movant affirms the truth of the statements under the penalties of perjury, requesting the court to issue the requested order and any other relief deemed just and proper. F.C.A.§§154-c, 446, 551, 656, 759, 842, 1056. www.FormsWorkflow.com
Related forms
-
Court Issued Subpoena
New York/Statewide/Family Court/General/ -
Order Authorizing Services Other Than Counsel Under Article 18-B Of The County Law
New York/Statewide/Family Court/General/ -
Order Determining Petition For Transfer Of Proceeding Concerning An Indian Child
New York/Statewide/Family Court/General/ -
Order Directing Emergency Evaluation
New York/Statewide/Family Court/General/ -
Order Directing Medical Examination Outpatient
New York/Statewide/Family Court/General/ -
Order Of Commitment
New York/Statewide/Family Court/General/ -
Order Suspending Commitment
New York/Statewide/Family Court/General/ -
Order To Sheriff To Return Respondent To Court
New York/Statewide/Family Court/General/ -
Summons Publication
New York/Statewide/Family Court/General/ -
Summons Violation Of Court Order
New York/Statewide/Family Court/General/ -
Summons
New York/Statewide/Family Court/General/ -
Violation Of Court Order With Commitment
New York/Statewide/Family Court/General/ -
Warrant Of Arrest
New York/Statewide/Family Court/General/ -
Writ Of Habeas Corpus
New York/Statewide/Family Court/General/ -
Summons Violation Of Order Of Protection
New York/Statewide/Family Court/General/ -
Order Directing Medical Examination Inpatient
New York/Statewide/Family Court/General/ -
Order Of Dismissal
New York/Statewide/Family Court/General/ -
Order To Show Cause
New York/Statewide/Family Court/General/ -
Order Transfer Of Proceedings
New York/Statewide/Family Court/General/ -
Petition For Termination Or Severance Of Lease Or Rental Agreement
New York/Statewide/Family Court/General/ -
Order On Petition For Termination Or Severance Of Lease Or Rental Agreement
New York/Statewide/Family Court/General/ -
Order On Petition For Modification Of Order Of Custody Or Visitation Made By Family Or Supreme Court
New York/Statewide/Family Court/General/ -
Order On Petition To Enforce Order Of Custody Or Visitation Made By Family Or Supreme Court
New York/Statewide/Family Court/General/ -
Notice Of Appearance
New York/Statewide/Family Court/General/ -
Order Transfer Of Proceedings Or Probation Supervision
New York/Statewide/Family Court/General/ -
Final Or Temporary Order On Petition For Custody And Or Visitation
New York/Statewide/Family Court/General/ -
Order On Petition For Voter Registration Confidentiality
New York/Statewide/Family Court/General/ -
Temporary Order Of Protection
New York/Statewide/Family Court/General/ -
Order Of Protection
New York/Statewide/Family Court/General/ -
Order Of Protection (PINS Or Juvenile Delinquency)
New York/Statewide/Family Court/General/ -
Temporary Order Of Protection (PINS Or Juvenile Delinquency)
New York/Statewide/Family Court/General/ -
Affirmation Of Child In Support Of Order For Sibling Placement-Contact
New York/Statewide/Family Court/General/ -
Notice Of Motion-Sibling Placement Or Contact
New York/Statewide/Family Court/General/ -
Affirmation Of Attorney For Child Support Of Order Sibling Placement-Contact
New York/Statewide/Family Court/General/ -
Addendum To Order–Findings Of Fact Conclusions Of Law-ICWA
New York/Statewide/Family Court/General/ -
Order On Motion For Order That Reasonable Efforts Are Not Required
New York/Statewide/Family Court/General/ -
Motion For An Order That Reasonable Efforts Are Not Required
New York/Statewide/Family Court/General/ -
Affirmation In Support Of Motion For An Order That Reasonable Efforts Are Not Required
New York/Statewide/Family Court/General/ -
Affirmation (Relating To Indian Child Welfare Act)
New York/Statewide/Family Court/General/ -
Order On Motion For Approval of Placement In RTP
New York/Statewide/Family Court/General/ -
Affirmation In Support Of Family Court Temporary Order Of Protection
New York/Statewide/Family Court/General/ -
Address Confidentiality Affirmation
New York/Statewide/Family Court/General/ -
Address Confidentiality Order
New York/Statewide/Family Court/General/ -
Order On Motion
New York/Statewide/Family Court/General/ -
Notice Of Motion
New York/Statewide/Family Court/General/ -
Order-Special Findings
New York/Statewide/Family Court/General/ -
Notice Of Motion–Approval Of Placement In A QRTP
New York/Statewide/Family Court/General/ -
Affirmation In Support Of Entry Of Out-Of-State OOP Onto Statewide Registry
New York/Statewide/Family Court/General/ -
Order Directing Forensic Evaluation
New York/Statewide/Family Court/General/ -
Protective Order Permitting Limited Release Of Forensic Evaluation
New York/Statewide/Family Court/General/ -
Affirmation Of Party Under CPLR S. 3103(A)
New York/Statewide/Family Court/General/ -
Affirmation Of Non-Disclosure Of Forensic Report Materials Data
New York/Statewide/Family Court/General/ -
Protective Order - After Forensic Report Received
New York/Statewide/Family Court/General/ -
Protective Order - Self-Represented Party Prior To Receipt Of Forensic Report GF-12-b
New York/Statewide/Family Court/General/ -
Notice Of Motion For Extension Or Modification Of Order Of Protection
New York/Statewide/Family Court/General/ -
Affirmation In Support Of Motion For Extension Or Modification Of Order Of Protection
New York/Statewide/Family Court/General/ -
Affidavit In Support Motion For Approval Of Placement In QRTP
New York/Statewide/Family Court/General/ -
Order Of Name Change On Consent
New York/Statewide/Family Court/General/ -
Affirmation Of Counsel Under CPLR S. 3103(A)
New York/Statewide/Family Court/General/ -
Petition (For Custody And Or Visitation)
New York/Statewide/Family Court/General/ -
Petition For Transfer Of Proceeding Concerning An Indian Child
New York/Statewide/Family Court/General/ -
Petition For Writ Of Habeas Corpus
New York/Statewide/Family Court/General/ -
Petition For Modification Of Order Of Custody Or Visitation Made By Family Or Supreme Court
New York/Statewide/Family Court/General/ -
Petition For Enforcement Of Order Of Custody Or Visitation Made By Supreme Or Family Court
New York/Statewide/Family Court/General/ -
Petition For Voter Registration Confidentiality
New York/Statewide/Family Court/General/ -
Affirmation In Support Of Family Court Temporary Order Of Protection
New York/Statewide/Family Court/General/ -
Affidavit In Support Of Modification Of Family Court Order Of Protection Or Temporary Order Of Protection
New York/Statewide/Family Court/General/ -
Petition (Violation Of Order Of Protection)
New York/Statewide/Family Court/General/ -
Petition (Violation Of Court Order)
New York/Statewide/Family Court/General/
Form Preview
Contact Us
Success: Your message was sent.
Thank you!




