Last updated: 6/4/2025
Summons Forcible Entry And Detainer {CIV-105}
Start Your Free Trial $ 5.99What you get:
- Instant access to fillable Microsoft Word or PDF forms.
- Minimize the risk of using outdated forms and eliminate rejected fillings.
- Largest forms database in the USA with more than 80,000 federal, state and agency forms.
- Download, edit, auto-fill multiple forms at once in MS Word using our Forms Workflow Ribbon
- Trusted by 1,000s of Attorneys and Legal Professionals
Description
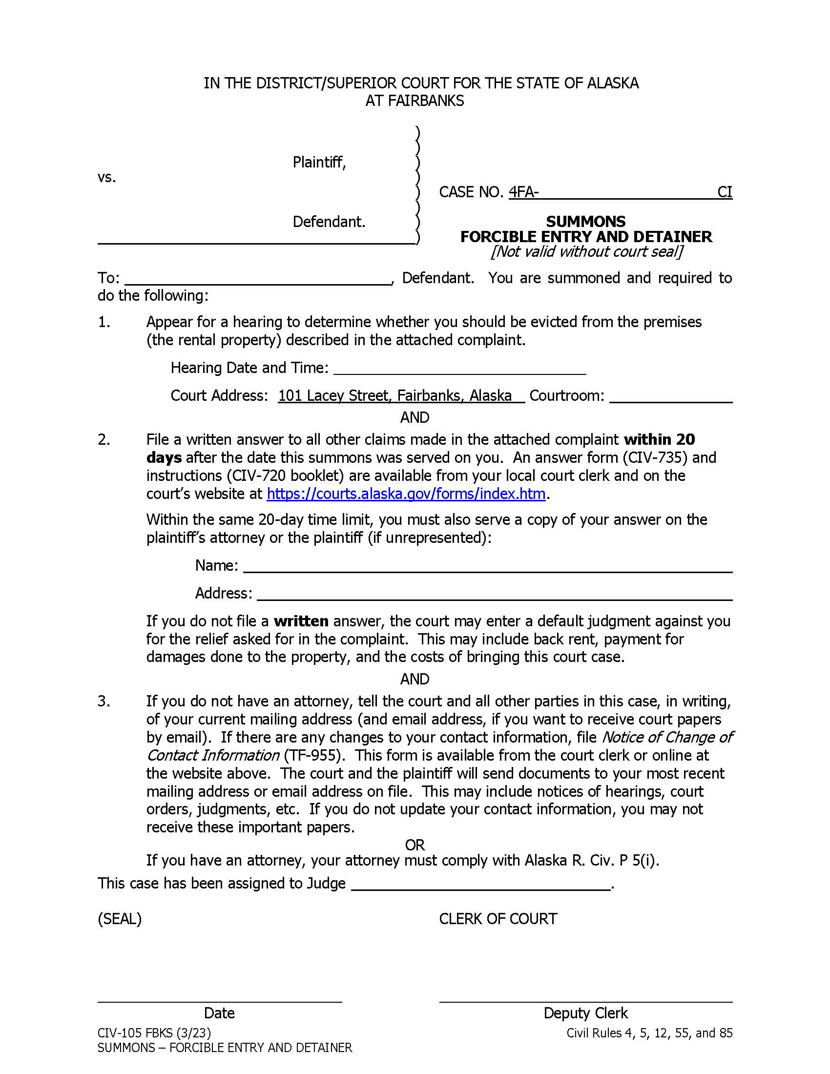
CIV-105 - SUMMONS FORCIBLE ENTRY AND DETAINER. This form is used in the District or Superior Court of Alaska. It is issued in cases involving the potential eviction of a tenant (defendant) from a rental property. The form requires the defendant to appear for a hearing to determine whether they should be evicted and to file a written answer to other claims made in the complaint within 20 days. Failure to respond may result in a default judgment against the defendant, which could include eviction, payment for damages, and other related costs. The form also includes instructions on how to maintain and update contact information with the court. Civil Rules 4, 5, 12, 55, and 85. www.FormsWorkflow.com
Related forms
-
Cost Bill
Alaska/Statewide/Civil/ -
Itemized Trip Information
Alaska/Statewide/Civil/ -
Certificate Of Facts Motor Vehicles Accidents
Alaska/Statewide/Civil/ -
Claim Of Exemption From Garnishment
Alaska/Statewide/Civil/ -
Claim Of Exemptions For Property Subject To Value Limits Under AS 09.38.020
Alaska/Statewide/Civil/ -
Claim Of Exemptions
Alaska/Statewide/Civil/ -
Creditors Affidavit And Request
Alaska/Statewide/Civil/ -
Creditors Affidavit
Alaska/Statewide/Civil/ -
Employers Response To Writ Of Execution For Garnishment Of Earnings
Alaska/Statewide/Civil/ -
Executing On The Permanent Fund Dividend Creditor Instructions
Alaska/Statewide/Civil/ -
Expedited Motion For Continuance
Alaska/Statewide/Civil/ -
How To Subpoena A Witness
Alaska/Statewide/Civil/ -
Justification Of Sureties
Alaska/Statewide/Civil/ -
Memorandum To Set Civil Case For Trial
Alaska/Statewide/Civil/ -
Motion And Order For Judgment Debtor To Appear
Alaska/Statewide/Civil/ -
Motion
Alaska/Statewide/Civil/ -
Notice Of Levy And Sale Of Property And Notice Of Right To Exemptions
Alaska/Statewide/Civil/ -
Notice Of Motion
Alaska/Statewide/Civil/ -
Order On Motion
Alaska/Statewide/Civil/ -
Reply To Response To Motion
Alaska/Statewide/Civil/ -
Report Of Parties Planning Meeting
Alaska/Statewide/Civil/ -
Request To Release Funds
Alaska/Statewide/Civil/ -
Response To Motion
Alaska/Statewide/Civil/ -
Service Instructions For Writ Of Execution For Garnishment Of Earnings
Alaska/Statewide/Civil/ -
Service Instructions For Writ Of Execution
Alaska/Statewide/Civil/ -
Service Instructions
Alaska/Statewide/Civil/ -
Application For Legal Name Change
Alaska/Statewide/Civil/ -
Judgment Creditors Affidavit Of Diligent Inquiry
Alaska/Statewide/Civil/ -
Notice To Absent Defendant
Alaska/Statewide/Civil/ -
Writ Of Execution And Notice Of Levy On Permanent Fund Dividend
Alaska/Statewide/Civil/ -
Supplemental Notice To Writ Of Execution For Garnishment
Alaska/Statewide/Civil/ -
Order To Debtor And Notice Of Exemption Rights
Alaska/Statewide/Civil/ -
Notice Of Levy By A Court Writ
Alaska/Statewide/Civil/ -
Notice Of Levy By A Court Writ-Government Bank Sweep
Alaska/Statewide/Civil/ -
Writ Of Assistance
Alaska/Statewide/Civil/ -
Affidavit-Service By Certified Mail
Alaska/Statewide/Civil/ -
Affidavit Of Attempted Service Unserved Documents
Alaska/Statewide/Civil/ -
Notice Of Filing Foreign Judgment
Alaska/Statewide/Civil/ -
Writ Of Execution For Bank Sweep By Government Entity
Alaska/Statewide/Civil/ -
Petition For Order Authorizing Disposition Of Unclaimed Body
Alaska/Statewide/Civil/ -
Affidavit In Support Of Petition For Order Authorizing Disposition Of Unclaimed Body
Alaska/Statewide/Civil/ -
Presumptive Death Petition
Alaska/Statewide/Civil/ -
Affidavit - Full Return Of Service For Writ Of Execution For Garnishment Of Earnings
Alaska/Statewide/Civil/ -
Affidavit
Alaska/Statewide/Civil/ -
Affidavit - Return Of Service For Debtor Packet
Alaska/Statewide/Civil/ -
Affidavit - Return Of Service For Writ Of Execution - Single Person Or Entity Served
Alaska/Statewide/Civil/ -
Affidavit - Return Of Service For Writ Of Execution - Bank Sweep
Alaska/Statewide/Civil/ -
Application For Post Conviction Relief From Conviction Or Sentence
Alaska/Statewide/Civil/ -
Creditors Response To Request To Return PFD Taken By Mistake
Alaska/Statewide/Civil/ -
Masters Report
Alaska/Statewide/Civil/ -
Monthly Status Report
Alaska/Statewide/Civil/ -
Notice To Absent Parent
Alaska/Statewide/Civil/ -
Order On Expedited Motion For Continuance
Alaska/Statewide/Civil/ -
Post Judgment Record Of Transactions
Alaska/Statewide/Civil/ -
Prisoner Request For Filing Fee Exemption
Alaska/Statewide/Civil/ -
Request And Order For Central Calendaring
Alaska/Statewide/Civil/ -
Request To Return PFD Taken By Mistake
Alaska/Statewide/Civil/ -
Response To Claim Of Exemptions
Alaska/Statewide/Civil/ -
Motion And Affidavit For Summary Judgment
Alaska/Statewide/Civil/ -
Motion For Judgment On The Pleadings
Alaska/Statewide/Civil/ -
Opposition And Affidavit To Motion For Judgment On The Pleadings
Alaska/Statewide/Civil/ -
Opposition And Affidavit To Motion For Summary Judgment
Alaska/Statewide/Civil/ -
Order On Motion For Judgment On The Pleadings
Alaska/Statewide/Civil/ -
Order On Motion For Summary Judgment
Alaska/Statewide/Civil/ -
Reply To Opposition To Motion For Judgment On The Pleadings
Alaska/Statewide/Civil/ -
Reply To Opposition To Motion For Summary Judgment
Alaska/Statewide/Civil/ -
Civil Rule 4(f) Affidavit
Alaska/Statewide/Civil/ -
Default Judgment
Alaska/Statewide/Civil/ -
Complaint For Forcible Entry And Detainer
Alaska/Statewide/Civil/ -
Affidavit Of Attorney Appointed Under Servicemembers Civil Relief Act
Alaska/Statewide/Civil/ -
Affidavit Of Proof Of Service At Jail Facility
Alaska/Statewide/Civil/ -
Satisfaction Of Judgment
Alaska/Statewide/Civil/ -
Information For Issuance Of Writ Of Execution On PFD Or Garnishment Of Earnings
Alaska/Statewide/Civil/ -
Summons And Notice To Both Parties Of Judicial Assignment
Alaska/Statewide/Civil/ -
Petition For Stalking Or Sexual Assault Protective Order
Alaska/Statewide/Civil/ -
Information For Issuance Of General Writ Of Execution
Alaska/Statewide/Civil/ -
Order Authorizing Disposition Of Unclaimed Body
Alaska/Statewide/Civil/ -
Petition For Sexual Assault Protective Order
Alaska/Statewide/Civil/ -
Answer To Claim For Damages In FED Action
Alaska/Statewide/Civil/ -
How To Serve A Summons In A Civil Lawsuit
Alaska/Statewide/Civil/ -
Request To Waive Posting In Adult Change Of Name Case
Alaska/Statewide/Civil/ -
Request To Waive Posting In Childs Change Of Name Case
Alaska/Statewide/Civil/ -
Affidavit Of Compliance With 30 Day Notice
Alaska/1 Statewide/Civil/ -
Affidavit Of Additional Service
Alaska/Statewide/Civil/ -
Request To Serve Defendant By Posting And Alternative Service
Alaska/Statewide/Civil/ -
Judgment Debtor Booklet
Alaska/Statewide/Civil/ -
Petition For Quarantine Or Isolation
Alaska/Statewide/Civil/ -
Request For Hearing To Cancel Vacate Ex Parte Order
Alaska/Statewide/Civil/ -
Application For Ex Parte Order For Testing Examination Or Screening
Alaska/Statewide/Civil/ -
Default Application Affidavit and Entry (In F.E.D. Action)
Alaska/Statewide/Civil/ -
Judgment For Possession
Alaska/Statewide/Civil/ -
Case Description
Alaska/Statewide/Civil/ -
Case Description Superior Court
Alaska/Statewide/Civil/ -
Notice Of Garnishment And Notice Of Right To Exemptions
Alaska/Statewide/Civil/ -
Notice To Quit Termination Of Tenancy For Non Payment Of Rent
Alaska/Statewide/Civil/ -
Summons Forcible Entry And Detainer
Alaska/Statewide/Civil/ -
Answer And Counterclaim To Complaint To Collect A Debt
Alaska/1 Statewide/Civil/ -
Objection To Change Of Name
Alaska/Statewide/Civil/ -
Parental Consent
Alaska/Statewide/Civil/ -
Petition For Change Of Name
Alaska/Statewide/Civil/ -
Petition To Change Childs Name
Alaska/Statewide/Civil/
Form Preview
Contact Us
Success: Your message was sent.
Thank you!




