Last updated: 12/30/2022
Petition For Sexual Assault Protective Order {CIV-750}
Start Your Free Trial $ 20.00What you get:
- Instant access to fillable Microsoft Word or PDF forms.
- Minimize the risk of using outdated forms and eliminate rejected fillings.
- Largest forms database in the USA with more than 80,000 federal, state and agency forms.
- Download, edit, auto-fill multiple forms at once in MS Word using our Forms Workflow Ribbon
- Trusted by 1,000s of Attorneys and Legal Professionals
Description
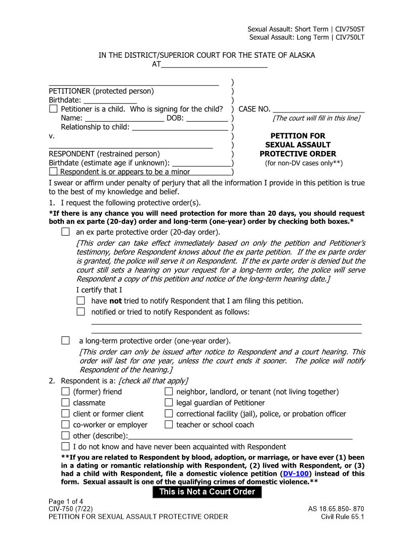
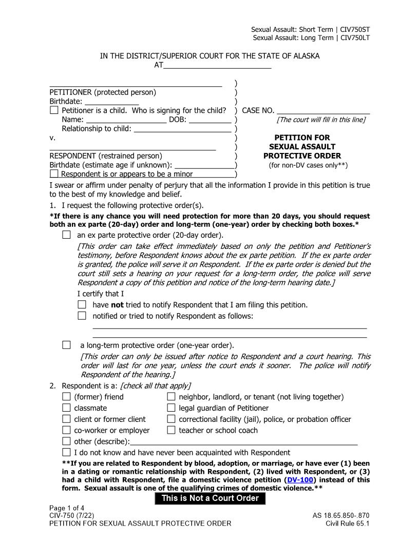
IN THE DISTRICT/SUPERIOR COURT FOR THE STATE OF ALASKA AT ) ) ) ) ) ) ) ) ) ) Petitioner v. Date of Birth Male Female CASE NO. PETITION FOR PROTECTIVE ORDER Stalking Sexual Assault Respondent Date of Birth Male Female I swear or affirm under penalty of perjury that all the information I provide in this petition is true to the best of my knowledge and belief. I am requesting the following protective order(s). NOTE: If there is any chance you might need protection for more than 20 days, you should request both a longterm order (6 months) and an ex parte order (20-day). To do this, check both boxes. 1. an ex parte protective order (20 day order). (This order can take effect immediately based on only the petition and the petitioner's testimony, without the respondent knowing about the ex parte petition. The police will serve the ex parte order if granted.) I certify that I have not tried to notify the respondent that I am filing this petition. notified or tried to notify the respondent as follows: a long-term protective order (6 month order). (This order can only be issued after notice to the respondent and a court hearing. This order will last for 6 months, unless the court ends it sooner. The police will notify the respondent of the hearing.) 2. The respondent is a (check all that apply): (former) friend neighbor classmate other (describe): co-worker client or former client legal guardian of petitioner correctional facility employee I do not know and have never been acquainted with the respondent 3. I (petitioner) am a minor: Age ________ an adult This is Not a Court Order Page 1 of 5 CIV-752 (10/13)(cs) PETITION FOR STALKING OR SEXUAL ASSAULT PROTECTIVE ORDER AS 18.65.850-.870 Civil Rule 65.1 American LegalNet, Inc. www.FormsWorkFlow.com v. Case No. 4. The respondent is (or appears to be) a minor: Age an adult 5. a. Respondent has stalked or sexually assaulted me as described below and this conduct has placed me in fear of: death or physical injury to me Name of family member: Relationship to me: b. I am afraid of physical injury or death, or further sexual assault, because further sexual assault the death or physical injury of the following family member of mine: 6. Description of respondent's conduct. (Explain what respondent is doing or did, including when, where and how often the stalking or sexual assault occurred. Be specific. Include dates and places.) This is Not a Court Order Page 2 of 5 CIV-752 (10/13)(cs) PETITION FOR STALKING OR SEXUAL ASSAULT PROTECTIVE ORDER AS 18.65.850-.870 Civil Rule 65.1 American LegalNet, Inc. www.FormsWorkFlow.com v. Case No. 7. I request an order from the court directing (check all that apply) a. respondent not to follow, approach, confront, watch or stalk me in any other way or threaten to do so. b. respondent not to contact me by telephone, e-mail or U.S. mail or otherwise communicate directly or indirectly by any means with me or the following members of my household: c. respondent to stay away from my residence. Is this also respondent's current residence? Respondent's residence is approximately Describe: d. respondent to stay away from my school. Name and location of school: Is this also respondent's school? yes unknown to me within my apartment complex yes no feet/miles from my residence no e. respondent to stay away from my place of employment. Name and location of place of employment: Is this also respondent's place of employment? If yes, list the hours respondent works (if known) f. respondent to stay away from the following places I go to: yes no g. respondent not to have sexual contact with me. You do not have to provide this information if you do not want the respondent to know the location of your school or place of employment. This is Not a Court Order Page 3 of 5 CIV-752 (10/13)(cs) PETITION FOR STALKING OR SEXUAL ASSAULT PROTECTIVE ORDER AS 18.65.850-.870 Civil Rule 65.1 American LegalNet, Inc. www.FormsWorkFlow.com v. Case No. 8. Other cases. The following are all the pending civil cases or criminal cases, in this or another state, involving either me or respondent (that I know of): Type of Case Court Location Petitioner or Respondent The following are other court cases (civil or criminal) involving the respondent that I want the court to know about: Type of Case Court Location Both petitioner and respondent have the responsibility to tell the court of any criminal or civil lawsuits involving either of you that arise while a petition for protective order is pending. AS 18.65.865(d) 9. Information about respondent (if known). Respondent's full legal name and any nicknames or other names used: Respondent's mailing address: Respondent's home phone: Work phone: This is Not a Court Order Page 4 of 5 CIV-752 (10/13)(cs) PETITION FOR STALKING OR SEXUAL ASSAULT PROTECTIVE ORDER AS 18.65.850-.870 Civil Rule 65.1 American LegalNet, Inc. www.FormsWorkFlow.com v. Case No. 10. Petitioner information. [The court needs your mailing address to send court papers, including notices of hearing, to you. If you believe it is not safe for the respondent to know where you live, write a %22message%22 address where you can be sure you will receive court papers. If you do not have an address and telephone number that can safely be revealed to the respondent, ask the court clerk how you can provide this information so that it will be kept confidential and not revealed to the respondent. Civil Rule 65.1] My mailing/message address Street or Box No. My message phone: My full legal name: Any nicknames or other names: City State Zip Date Petitioner's Signature Print Name Subscribed and sworn to or affirmed before me at . (date) , Alaska on (SEAL) Clerk of Court, Notary Public or other person authorized to administer oaths My commission expires: This is Not a Court Order Page 5 of 5 CIV-752 (10/13)(cs) PETITION FOR STALKING OR SEXUAL ASSAULT PROTECTIVE ORDER AS 18.65.850-.870 Civil Rule 65.1 American LegalNet, Inc. www.FormsWorkFlow.com
Related forms
-
Cost Bill
Alaska/Statewide/Civil/ -
Itemized Trip Information
Alaska/Statewide/Civil/ -
Certificate Of Facts Motor Vehicles Accidents
Alaska/Statewide/Civil/ -
Claim Of Exemption From Garnishment
Alaska/Statewide/Civil/ -
Claim Of Exemptions For Property Subject To Value Limits Under AS 09.38.020
Alaska/Statewide/Civil/ -
Claim Of Exemptions
Alaska/Statewide/Civil/ -
Creditors Affidavit And Request
Alaska/Statewide/Civil/ -
Creditors Affidavit
Alaska/Statewide/Civil/ -
Employers Response To Writ Of Execution For Garnishment Of Earnings
Alaska/Statewide/Civil/ -
Executing On The Permanent Fund Dividend Creditor Instructions
Alaska/Statewide/Civil/ -
Expedited Motion For Continuance
Alaska/Statewide/Civil/ -
How To Subpoena A Witness
Alaska/Statewide/Civil/ -
Justification Of Sureties
Alaska/Statewide/Civil/ -
Memorandum To Set Civil Case For Trial
Alaska/Statewide/Civil/ -
Motion And Order For Judgment Debtor To Appear
Alaska/Statewide/Civil/ -
Motion
Alaska/Statewide/Civil/ -
Notice Of Levy And Sale Of Property And Notice Of Right To Exemptions
Alaska/Statewide/Civil/ -
Notice Of Motion
Alaska/Statewide/Civil/ -
Order On Motion
Alaska/Statewide/Civil/ -
Reply To Response To Motion
Alaska/Statewide/Civil/ -
Report Of Parties Planning Meeting
Alaska/Statewide/Civil/ -
Request To Release Funds
Alaska/Statewide/Civil/ -
Response To Motion
Alaska/Statewide/Civil/ -
Service Instructions For Writ Of Execution For Garnishment Of Earnings
Alaska/Statewide/Civil/ -
Service Instructions For Writ Of Execution
Alaska/Statewide/Civil/ -
Service Instructions
Alaska/Statewide/Civil/ -
Application For Legal Name Change
Alaska/Statewide/Civil/ -
Judgment Creditors Affidavit Of Diligent Inquiry
Alaska/Statewide/Civil/ -
Notice To Absent Defendant
Alaska/Statewide/Civil/ -
Writ Of Execution And Notice Of Levy On Permanent Fund Dividend
Alaska/Statewide/Civil/ -
Supplemental Notice To Writ Of Execution For Garnishment
Alaska/Statewide/Civil/ -
Order To Debtor And Notice Of Exemption Rights
Alaska/Statewide/Civil/ -
Notice Of Levy By A Court Writ
Alaska/Statewide/Civil/ -
Notice Of Levy By A Court Writ-Government Bank Sweep
Alaska/Statewide/Civil/ -
Writ Of Assistance
Alaska/Statewide/Civil/ -
Affidavit-Service By Certified Mail
Alaska/Statewide/Civil/ -
Affidavit Of Attempted Service Unserved Documents
Alaska/Statewide/Civil/ -
Notice Of Filing Foreign Judgment
Alaska/Statewide/Civil/ -
Writ Of Execution For Bank Sweep By Government Entity
Alaska/Statewide/Civil/ -
Petition For Order Authorizing Disposition Of Unclaimed Body
Alaska/Statewide/Civil/ -
Affidavit In Support Of Petition For Order Authorizing Disposition Of Unclaimed Body
Alaska/Statewide/Civil/ -
Presumptive Death Petition
Alaska/Statewide/Civil/ -
Affidavit - Full Return Of Service For Writ Of Execution For Garnishment Of Earnings
Alaska/Statewide/Civil/ -
Affidavit
Alaska/Statewide/Civil/ -
Affidavit - Return Of Service For Debtor Packet
Alaska/Statewide/Civil/ -
Affidavit - Return Of Service For Writ Of Execution - Single Person Or Entity Served
Alaska/Statewide/Civil/ -
Affidavit - Return Of Service For Writ Of Execution - Bank Sweep
Alaska/Statewide/Civil/ -
Application For Post Conviction Relief From Conviction Or Sentence
Alaska/Statewide/Civil/ -
Creditors Response To Request To Return PFD Taken By Mistake
Alaska/Statewide/Civil/ -
Masters Report
Alaska/Statewide/Civil/ -
Monthly Status Report
Alaska/Statewide/Civil/ -
Notice To Absent Parent
Alaska/Statewide/Civil/ -
Order On Expedited Motion For Continuance
Alaska/Statewide/Civil/ -
Post Judgment Record Of Transactions
Alaska/Statewide/Civil/ -
Prisoner Request For Filing Fee Exemption
Alaska/Statewide/Civil/ -
Request And Order For Central Calendaring
Alaska/Statewide/Civil/ -
Request To Return PFD Taken By Mistake
Alaska/Statewide/Civil/ -
Response To Claim Of Exemptions
Alaska/Statewide/Civil/ -
Motion And Affidavit For Summary Judgment
Alaska/Statewide/Civil/ -
Motion For Judgment On The Pleadings
Alaska/Statewide/Civil/ -
Opposition And Affidavit To Motion For Judgment On The Pleadings
Alaska/Statewide/Civil/ -
Opposition And Affidavit To Motion For Summary Judgment
Alaska/Statewide/Civil/ -
Order On Motion For Judgment On The Pleadings
Alaska/Statewide/Civil/ -
Order On Motion For Summary Judgment
Alaska/Statewide/Civil/ -
Reply To Opposition To Motion For Judgment On The Pleadings
Alaska/Statewide/Civil/ -
Reply To Opposition To Motion For Summary Judgment
Alaska/Statewide/Civil/ -
Civil Rule 4(f) Affidavit
Alaska/Statewide/Civil/ -
Default Judgment
Alaska/Statewide/Civil/ -
Complaint For Forcible Entry And Detainer
Alaska/Statewide/Civil/ -
Affidavit Of Attorney Appointed Under Servicemembers Civil Relief Act
Alaska/Statewide/Civil/ -
Affidavit Of Proof Of Service At Jail Facility
Alaska/Statewide/Civil/ -
Satisfaction Of Judgment
Alaska/Statewide/Civil/ -
Information For Issuance Of Writ Of Execution On PFD Or Garnishment Of Earnings
Alaska/Statewide/Civil/ -
Summons And Notice To Both Parties Of Judicial Assignment
Alaska/Statewide/Civil/ -
Petition For Stalking Or Sexual Assault Protective Order
Alaska/Statewide/Civil/ -
Information For Issuance Of General Writ Of Execution
Alaska/Statewide/Civil/ -
Order Authorizing Disposition Of Unclaimed Body
Alaska/Statewide/Civil/ -
Petition For Sexual Assault Protective Order
Alaska/Statewide/Civil/ -
Answer To Claim For Damages In FED Action
Alaska/Statewide/Civil/ -
How To Serve A Summons In A Civil Lawsuit
Alaska/Statewide/Civil/ -
Request To Waive Posting In Adult Change Of Name Case
Alaska/Statewide/Civil/ -
Request To Waive Posting In Childs Change Of Name Case
Alaska/Statewide/Civil/ -
Affidavit Of Compliance With 30 Day Notice
Alaska/1 Statewide/Civil/ -
Affidavit Of Additional Service
Alaska/Statewide/Civil/ -
Request To Serve Defendant By Posting And Alternative Service
Alaska/Statewide/Civil/ -
Judgment Debtor Booklet
Alaska/Statewide/Civil/ -
Petition For Quarantine Or Isolation
Alaska/Statewide/Civil/ -
Request For Hearing To Cancel Vacate Ex Parte Order
Alaska/Statewide/Civil/ -
Application For Ex Parte Order For Testing Examination Or Screening
Alaska/Statewide/Civil/ -
Default Application Affidavit and Entry (In F.E.D. Action)
Alaska/Statewide/Civil/ -
Judgment For Possession
Alaska/Statewide/Civil/ -
Case Description
Alaska/Statewide/Civil/ -
Case Description Superior Court
Alaska/Statewide/Civil/ -
Notice Of Garnishment And Notice Of Right To Exemptions
Alaska/Statewide/Civil/ -
Notice To Quit Termination Of Tenancy For Non Payment Of Rent
Alaska/Statewide/Civil/ -
Summons Forcible Entry And Detainer
Alaska/Statewide/Civil/ -
Answer And Counterclaim To Complaint To Collect A Debt
Alaska/1 Statewide/Civil/ -
Objection To Change Of Name
Alaska/Statewide/Civil/ -
Parental Consent
Alaska/Statewide/Civil/ -
Petition For Change Of Name
Alaska/Statewide/Civil/ -
Petition To Change Childs Name
Alaska/Statewide/Civil/
Form Preview
Contact Us
Success: Your message was sent.
Thank you!




