Last updated: 10/10/2018
Application For Publication {LACIV 108}
Start Your Free Trial $ 12.99What you get:
- Instant access to fillable Microsoft Word or PDF forms.
- Minimize the risk of using outdated forms and eliminate rejected fillings.
- Largest forms database in the USA with more than 80,000 federal, state and agency forms.
- Download, edit, auto-fill multiple forms at once in MS Word using our Forms Workflow Ribbon
- Trusted by 1,000s of Attorneys and Legal Professionals
Description
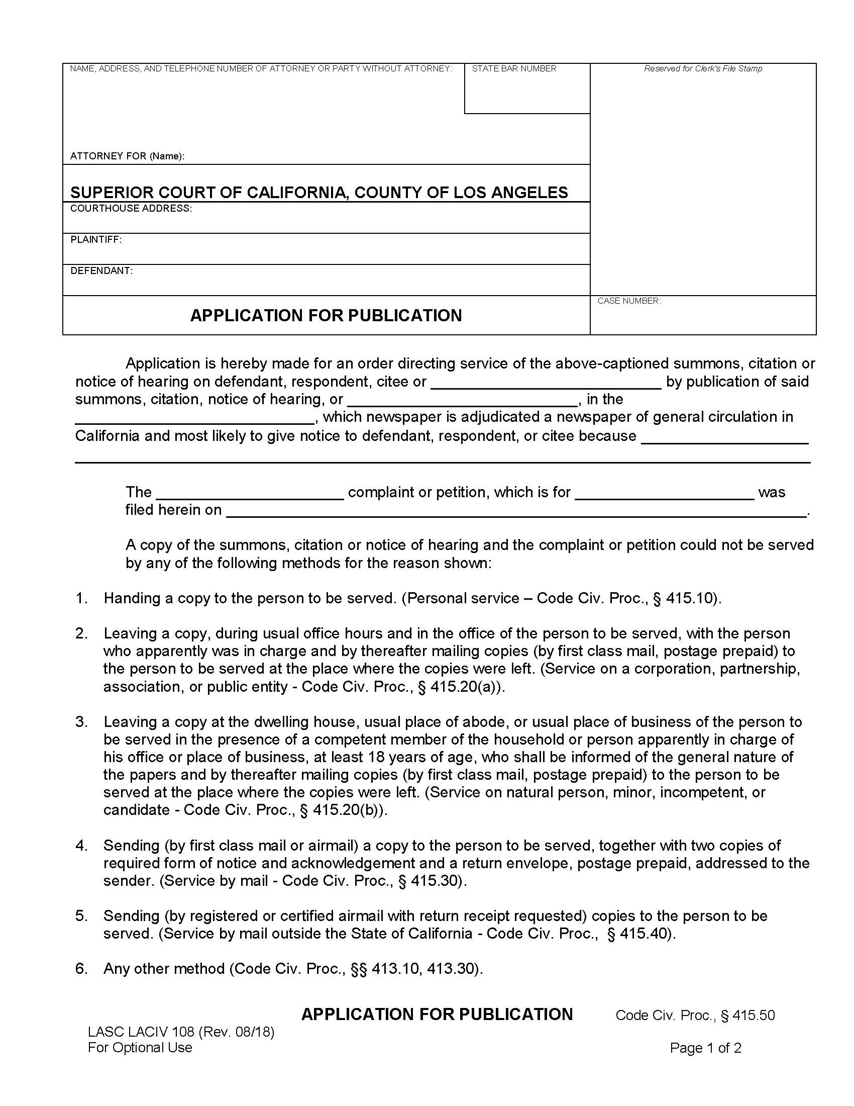
LACIV 108 - APPLICATION FOR PUBLICATION. This form is used in the Los Angeles County Superior Court in California to request permission from the court to serve a summons by publication when personal service of the summons is not possible. Serving a summons by publication is a method of service that involves publishing a notice of the lawsuit in a newspaper of general circulation in the area where the defendant is believed to be located. This method of service is only allowed when the defendant cannot be located after a diligent search, or when their whereabouts are unknown. The Application for Publication form requires the plaintiff (the person who is filing the lawsuit) to provide information about the defendant, including their name and last known address. The plaintiff must also explain why personal service of the summons is not possible and describe the steps they have taken to locate the defendant. For Optional Use, Code Civ. Proc., § 415.50. www.FormsWorkflow.com
Related forms
-
Exhibits List
California/Local County/Los Angeles/Civil/ -
Jury Instruction Blank
California/Local County/Los Angeles/Civil/ -
Jury Instruction-Special
California/Local County/Los Angeles/Civil/ -
Affidavit For Order For Appearance And Examination Of A Third Person
California/Local County/Los Angeles/Civil/ -
Affidavit Of Identity And Order
California/Local County/Los Angeles/Civil/ -
Application And Order Regarding Lost Writ
California/Local County/Los Angeles/Civil/ -
Application And Order To Serve Summons By Posting For Unlawful Detainer
California/Local County/Los Angeles/Civil/ -
Application And Order To Vacate Stay Of Execution And To Issue Writ Of Execution
California/Local County/Los Angeles/Civil/ -
Application For Issuance Of Writ Of Execution Possession Or Sale
California/Local County/Los Angeles/Civil/ -
Application For Publication
California/Local County/Los Angeles/Civil/ -
Declaration Of Mailing
California/Local County/Los Angeles/Civil/ -
Request For Refund
California/Local County/Los Angeles/Civil/ -
Stipulation Receipt And Order Re Release Of Civil Exhibits
California/Local County/Los Angeles/Civil/ -
Order For Publication
California/Local County/Los Angeles/Civil/ -
Request For Enforcement Of Order For Restitution-Judgment
California/Local County/Los Angeles/Civil/ -
Judgment On Special Verdict
California/Local County/Los Angeles/Civil/ -
Exhibit List-Trial
California/Local County/Los Angeles/Civil/ -
Request For Enforcement Of Summary Judgment Pursuant To Penal Code Section 1306
California/Local County/Los Angeles/Civil/ -
Complex Civil Case Questionnaire
California/Local County/Los Angeles/Civil/ -
Joint Witness List (Sample And Form)
California/Local County/Los Angeles/Civil/ -
Declaration Re Waived Court Fees And Costs
California/Local County/Los Angeles/Civil/ -
Stipulation For Civil Judgment
California/Local County/Los Angeles/Civil/ -
Notice Of Entry Of Judgment-Dismissal-Other Order
California/Local County/Los Angeles/Civil/ -
Proof Of Service Notice Of Appeal-Administrative Hearing
California/Local County/Los Angeles/Civil/ -
Stipulation Re Jury (Civil Trials)
California/Local County/Los Angeles/Civil/ -
Declaration And Order Re Advance Jury Fees
California/Local County/Los Angeles/Civil/ -
Compliance With General Order For Limited Jurisdiction Unlawful Detainer (Eviction)
California/Local County/Los Angeles/Civil/ -
Notice Of Order To Show Cause
California/Local County/Los Angeles/Civil/ -
Fax Filing Coversheet ODR
California/Local County/Los Angeles/Civil/ -
(Proposed) Order To Have Voter Registration Information Declared Confidential
California/Local County/Los Angeles/Civil/ -
Petition To Have Voter Registration Information Declared Confidential
California/Local County/Los Angeles/Civil/ -
Long Cause Trial Package Guidelines With Attachment(s)
California/2 Local County/Los Angeles/Civil/ -
Expedited PI Court Trial Request Form
California/2 Local County/Los Angeles/Civil/ -
Notice Of Settlement Of Entire Case Unlawful Detainer-Online Dispute Resolution (ODR)
California/2 Local County/Los Angeles/Civil/ -
Ex Parte Application For Leave To Participate In The Resolvelawla.com Mandatory Settlement Conference
California/2 Local County/Los Angeles/Civil/ -
Informal Discovery Conference For Personal Injury Courts
California/Local County/Los Angeles/Civil/ -
(Proposed Order) And Stipulation To Continue Trial (Central District)
California/Local County/Los Angeles/Civil/ -
(Proposed Order) And Stipulation To Continue Trial (North District)
California/Local County/Los Angeles/Civil/ -
Government Claim-Judicial Branch
California/Local County/Los Angeles/Civil/ -
Payment Submittal Notice
California/2 Local County/Los Angeles/Civil/ -
Unlawful Detainer Stipulation And Judgment
California/Local County/Los Angeles/Civil/ -
Unlawful Detainer Settlement Agreement
California/2 Local County/Los Angeles/Civil/ -
Unlawful Detainer
California/2 Local County/Los Angeles/Civil/ -
Remote Settlement Conference Program Intake
California/Local County/Los Angeles/Civil/ -
Order Appointing Official Court Reporter Pro Tempore
California/Local County/Los Angeles/Civil/ -
Application And Order To Withdraw Exhibits
California/Local County/Los Angeles/Civil/ -
Request For Copies (Los Angeles)
California/Local County/Los Angeles/Civil/ -
Default Judgment-Unlawful Detainer
California/Local County/Los Angeles/Civil/ -
Judgment Based On Sister State Judgment (Code Of Civ. Proc. 1710.25)
California/Local County/Los Angeles/Civil/ -
Request For Entry Of Judgment-Welfare And Institutions Code Section 903
California/Local County/Los Angeles/Civil/ -
Request For Entry Of Judgment-Vehicle Code Section 40220 40267
California/Local County/Los Angeles/Civil/ -
Request For Entry Of Judgment-Public Resources Code Section 45014(C)
California/Local County/Los Angeles/Civil/ -
Request For Entry Of Judgment-By The State Bar
California/Local County/Los Angeles/Civil/ -
Request For Entry Of Judgment-Business And Professions Code Section 1215.3
California/Local County/Los Angeles/Civil/ -
Notice Of Appeal Parking
California/Local County/Los Angeles/Civil/ -
Notice Of Appeal-Administrative Hearing
California/Local County/Los Angeles/Civil/ -
Clerks Certificate Of Entry Of Satisfaction Of Judgment
California/Local County/Los Angeles/Civil/ -
Commission
California/Local County/Los Angeles/Civil/ -
Notice Of Unlawful Detainer (Eviction) (English)
California/Local County/Los Angeles/Civil/ -
Writ Of Execution-Attachment 20
California/Local County/Los Angeles/Civil/ -
Model Class Action And PAGA Settlement Agreement And Class Notice
California/Local County/Los Angeles/Civil/ -
Model Class Action Settlement Agreement And Class Notice
California/Local County/Los Angeles/Civil/ -
Model PAGA Settlement Agreement
California/Local County/Los Angeles/Civil/ -
Request For Entry Of Judgment Judgment And Notice Of Entry Of Judgment
California/Local County/Los Angeles/Civil/ -
Stipulation For The Appointment Of Court Commissioner As Temporary Judge
California/Local County/Los Angeles/Civil/ -
Amendment To Cross-Complaint
California/Local County/Los Angeles/Civil/ -
Amendment To Complaint (Notice Of Outgoing Transfer)
California/Local County/Los Angeles/Civil/ -
Amendment To Complaint (Fictitious-Incorrect Name)
California/Local County/Los Angeles/Civil/ -
Name Change Criminal History Assessment
California/Local County/Los Angeles/Civil/ -
Application And Order For Viewing And-Or Reproduction Of Trial Court Exhibits
California/Local County/Los Angeles/Civil/ -
Application And Order For Permanent Release Of Exhibits In The Custody
California/Local County/Los Angeles/Civil/ -
Request For Electronic Delivery Of Record On Appeal And Notice
California/Local County/Los Angeles/Civil/ -
Application For Appointment To Mediator Volunteer Panel
California/Local County/Los Angeles/Civil/ -
Civil Case Cover Sheet Addendum And Statement Of Location
California/Local County/Los Angeles/Civil/ -
Request For Judicial Administrative Records
California/Local County/Los Angeles/Civil/ -
Language Access Complaint Form
California/Local County/Los Angeles/Civil/ -
Appointed Appellate Counsel Information Sheet
California/Local County/Los Angeles/Civil/ -
Request For Electronic Recording Of Oral Proceedings As Supporting Document
California/Local County/Los Angeles/Civil/ -
Notice Of Waiver Of Oral Argument (Infraction Appeal)
California/Local County/Los Angeles/Civil/ -
Peremptory Challenge To Judicial Officer
California/Local County/Los Angeles/Civil/
Form Preview
Contact Us
Success: Your message was sent.
Thank you!




