Last updated: 11/26/2025
Motion To Modify Child Support Order To Continue Support For 18-Year-Old {DR-320}
Start Your Free Trial $ 5.99What you get:
- Instant access to fillable Microsoft Word or PDF forms.
- Minimize the risk of using outdated forms and eliminate rejected fillings.
- Largest forms database in the USA with more than 80,000 federal, state and agency forms.
- Download, edit, auto-fill multiple forms at once in MS Word using our Forms Workflow Ribbon
- Trusted by 1,000s of Attorneys and Legal Professionals
Description
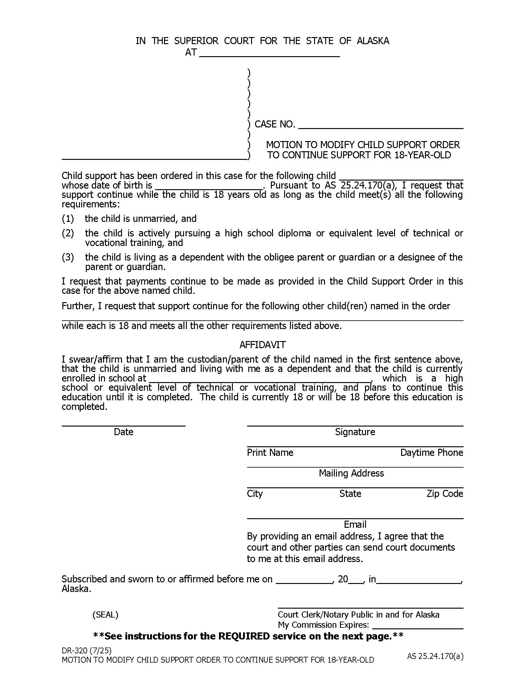
DR-320 - MOTION TO MODIFY CHILD SUPPORT ORDER TO CONTINUE SUPPORT FOR 18-YEAR-OLD. This form is used when a parent or custodian requests that child support continue past age 18 under. The form is filed when a child is 18, unmarried, living as a dependent with the obligee parent or guardian, and actively pursuing a high school diploma or equivalent technical or vocational training. The motion allows the filer to identify the qualifying child and request that support continue according to the existing child support order. It also includes an affidavit confirming the child’s school enrollment and living situation, a notary section, TrueFiling exemption options, and required service instructions with a Certificate of Service. AS 25.24.170(a). www.FormsWorkflow.com
Related forms
-
Amendment Of Agreement
Alaska/Statewide/Domestic Relations/ -
Direction To Seal Affidavit
Alaska/Statewide/Domestic Relations/ -
Order Modifying Child Support
Alaska/Statewide/Domestic Relations/ -
Motion And Order For Alternative Service
Alaska/Statewide/Domestic Relations/ -
Withdrawal Of Agreement And Order Of Dismissal
Alaska/Statewide/Domestic Relations/ -
Child Support Order COMBO Combines DR-300 & DR-301
Alaska/Statewide/Domestic Relations/ -
Parenting Plan
Alaska/Statewide/Domestic Relations/ -
Notice Of Motion And Response To Motion
Alaska/Statewide/Domestic Relations/ -
Statement Of Health Care Expenses
Alaska/Statewide/Domestic Relations/ -
Request To Waive Parent Education Requirement
Alaska/Statewide/Domestic Relations/ -
Confirmation Of Registered Support Order
Alaska/Statewide/Domestic Relations/ -
Notice Of Registration Of Convention Support Order
Alaska/Statewide/Domestic Relations/ -
Findings Of Fact And Conclusions Of Law Divorce With Property And No Children
Alaska/Statewide/Domestic Relations/ -
Findings Of Fact And Conclusions Of Law Custody
Alaska/Statewide/Domestic Relations/ -
Response To Request For Court Sponsored Parenting Plan Dispute Resolution
Alaska/1 Statewide/Domestic Relations/ -
Findings Of Fact Conclusions Of Law
Alaska/Statewide/Domestic Relations/ -
Petition For Dissolution Of Marriage No Minor Children
Alaska/Statewide/Domestic Relations/ -
Information About CSSD
Alaska/Statewide/Domestic Relations/ -
Notice To Employer Regarding Childrens Medical Insurance
Alaska/Statewide/Domestic Relations/ -
Order For Reimbursement Of Health Care Expenses
Alaska/Statewide/Domestic Relations/ -
Application For Services Of Child Support Enforcement Division
Alaska/Statewide/Domestic Relations/ -
Shared Custody Child Support Calculation
Alaska/Statewide/Domestic Relations/ -
Hybrid Custody Child Support Calculation
Alaska/Statewide/Domestic Relations/ -
Divided Custody Child Support Calculation
Alaska/Statewide/Domestic Relations/ -
Order For Employer-Reported Wages From CSED
Alaska/Statewide/Domestic Relations/ -
Order Regarding Motion To Continue Support For 18-Year-Old
Alaska/Statewide/Domestic Relations/ -
Confirmation Of Registered Child Custody Order
Alaska/Statewide/Domestic Relations/ -
Proof Of Notice
Alaska/Statewide/Domestic Relations/ -
Order Re Diligent Inquiry And Notice
Alaska/Statewide/Domestic Relations/ -
Child Support Order
Alaska/Statewide/Domestic Relations/ -
Answer To Complaint For Custody
Alaska/Statewide/Domestic Relations/ -
Child Custody Jurisdiction Affidavit
Alaska/Statewide/Domestic Relations/ -
Child Support Guidelines Affidavit
Alaska/Statewide/Domestic Relations/ -
Complaint For Custody Of Minor Children
Alaska/Statewide/Domestic Relations/ -
Information Sheet
Alaska/Statewide/Domestic Relations/ -
Motion To Change Custody Support Or Visitation
Alaska/Statewide/Domestic Relations/ -
Notice Of Motion To Change Custody Support Or Visitation
Alaska/Statewide/Domestic Relations/ -
Reply To Response
Alaska/Statewide/Domestic Relations/ -
Response To Motion
Alaska/Statewide/Domestic Relations/ -
Petition For Dissolution Of Marriage One Spouse
Alaska/Statewide/Domestic Relations/ -
Waiver Of Appearance At Hearing
Alaska/Statewide/Domestic Relations/ -
Request To Modify Decree Of Dissolution
Alaska/Statewide/Domestic Relations/ -
Motion And Affidavit Requesting Payment For Childrens Health Care Expenses
Alaska/Statewide/Domestic Relations/ -
Request For Hearing On Registered Convention Order
Alaska/Statewide/Domestic Relations/ -
Request To Modify Order Or Decree Concerning Spousal Maintenance-Property Allocation
Alaska/Statewide/Domestic Relations/ -
Petition For Expedited Relief From Occupational License Action
Alaska/Statewide/Domestic Relations/ -
Petition For Expedited Relief From Drivers License Action
Alaska/Statewide/Domestic Relations/ -
Default Application Child Custody
Alaska/Statewide/Domestic Relations/ -
Notice Of Motion Requesting Payment For Childrens Health Care Expenses
Alaska/Statewide/Domestic Relations/ -
Reply To Response (Regarding Childrens Health Care Expense Reimbursement)
Alaska/Statewide/Domestic Relations/ -
Financial Declaration
Alaska/Statewide/Domestic Relations/ -
Motion To Modify Child Support Order To Continue Support For 18-Year-Old
Alaska/Statewide/Domestic Relations/ -
Informal Trial Agreement
Alaska/Statewide/Domestic Relations/ -
Request For Hearing On Registered Child Custody Order
Alaska/Statewide/Domestic Relations/ -
Request To Register Child Custody Order Of Another State Or Country
Alaska/Statewide/Domestic Relations/ -
Response To Motion For Payment Of Childrens Health Care Expenses
Alaska/Statewide/Domestic Relations/ -
Affidavit Diligent Inquiry
Alaska/Statewide/Domestic Relations/ -
Petition For Dissolution Of Marriage With Children
Alaska/Statewide/Domestic Relations/ -
Notice Of Registration Of Child Custody Order Of Another State Or Country
Alaska/Statewide/Domestic Relations/
Form Preview
Contact Us
Success: Your message was sent.
Thank you!




