Last updated: 2/23/2021
Order Of Protection (PINS Or Juvenile Delinquency) {GF-6a}
Start Your Free Trial $ 13.99What you get:
- Instant access to fillable Microsoft Word or PDF forms.
- Minimize the risk of using outdated forms and eliminate rejected fillings.
- Largest forms database in the USA with more than 80,000 federal, state and agency forms.
- Download, edit, auto-fill multiple forms at once in MS Word using our Forms Workflow Ribbon
- Trusted by 1,000s of Attorneys and Legal Professionals
Description
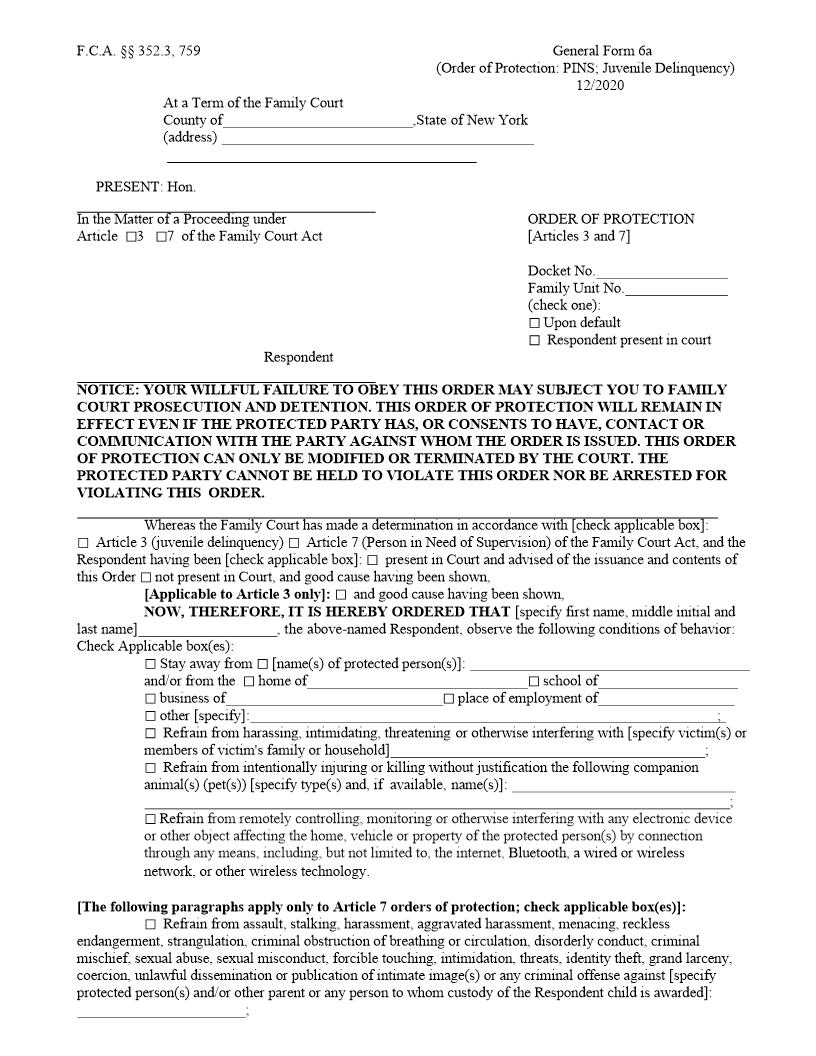
F.C.A. §§ 352.3, 759 General Form 6a (Order of Protection: PINS; Juvenile Delinquency) 12/2013 At a Term of the Family Court County of (address) ,State of New York PRESENT: Hon. In the Matter of a Proceeding under Article G3 G7 of the Family Court Act ORDER OF PROTECTION [Articles 3 and 7] Docket No. Family Unit No. (check one): G Upon default G Respondent present in court Respondent NOTICE: YOUR WILLFUL FAILURE TO OBEY THIS ORDER MAY SUBJECT YOU TO FAMILY COURT PROSECUTION AND DETENTION. THIS ORDER OF PROTECTION WILL REMAIN IN EFFECT EVEN IF THE PROTECTED PARTY HAS, OR CONSENTS TO HAVE, CONTACT OR COMMUNICATION WITH THE PARTY AGAINST WHOM THE ORDER IS ISSUED. THIS ORDER OF PROTECTION CAN ONLY BE MODIFIED OR TERMINATED BY THE COURT. THE PROTECTED PARTY CANNOT BE HELD TO VIOLATE THIS ORDER NOR BE ARRESTED FOR VIOLATING THIS ORDER. Whereas the Family Court has made a determination in accordance with [check applicable box]: G Article 3 (juvenile delinquency) G Article 7 (Person in Need of Supervision) of the Family Court Act, and the Respondent having been [check applicable box]: " present in Court and advised of the issuance and contents of this Order " not present in Court, and good cause having been shown, [Applicable to Article 3 only]: G and good cause having been shown, NOW, THEREFORE, IT IS HEREBY ORDERED THAT [specify first name, middle initial and , the above-named Respondent, observe the following conditions of behavior: last name] Check Applicable box(es): G Stay away from G [name(s) of protected person(s)]: G school of and/or from the G home of G place of employment of G business of G other [specify]: ; G Refrain from harassing, intimidating, threatening or otherwise interfering with [specify victim(s) or ; members of victim's family or household] " Refrain from intentionally injuring or killing without justification the following companion animal(s) (pet(s)) [specify type(s) and, if available, name(s)]: ______________________________ ________________________________________________________________________________; [The following paragraphs apply only to Article 7 orders of protection; check applicable box(es)]: G Refrain from assault, stalking, harassment, aggravated harassment, menacing, reckless endangerment, strangulation, criminal obstruction of breathing or circulation, disorderly conduct, criminal mischief, sexual abuse, sexual misconduct, forcible touching, intimidation, threats, identity theft, grand larceny, coercion or any criminal offense against [specify protected person(s) and/or other parent or any person to whom American LegalNet, Inc. www.FormsWorkFlow.com General Form 6a Page 2 custody of the Respondent child is awarded]: _______________________; G Refrain from (indicate acts) that create an unreasonable risk to the health, safety or welfare of the Respondent; , entitled by court order or G Permit [specify individual]: separation agreement, to visit with the Respondent child during the following periods of time ; under the [specify] ; following terms and conditions [specify]: G Participate in family counseling or other professional counseling activities, or other services, including alternative dispute resolution services, deemed necessary for the rehabilitation of the Respondent and not contrary to Respondent's religious beliefs, conducted by an authorized person or agency to which the Respondent has been referred [specify program or services]: ; G Permit [specify individual] [specify date/time] issue in this or any other litigation; to enter the residence during to remove personal belongings not in G Pay or provide access to health or medical insurance for necessary medical care and treatment arising from the incident or incidents forming the basis of the order [specify beneficiary of treatment ; and coverage] G Custody of Respondent during the term of this order is awarded to [specify individual] under the following terms and conditions [specify]: ; [The following paragraphs apply to ALL orders]: G Observe other condition(s) as are necessary to further the purposes of protection [specify ; conditions]: It is further ordered that this order of protection shall remain in force until and including . [specify]: Federal law requires that this order must be honored and enforced by state and tribal courts, including courts of a state, the District of Columbia, a commonwealth, territory or possession of the United States, if the person against whom the order is sought is an intimate partner of the protected party and has been or will be afforded reasonable notice and opportunity to be heard 'in accordance with state law sufficient to protect that person's rights (18 U.S.C. §§ 2265, 2266). PURSUANT TO SECTION 1113 OF THE FAMILY COURT ACT, AN APPEAL FROM THIS ORDER MUST BE TAKEN WITHIN 30 DAYS OF RECEIPT OF THE ORDER BY APPELLANT IN COURT, 35 DAYS FROM THE DATE OF MAILING OF THE ORDER TO APPELLANT BY THE CLERK OF COURT, OR 30 DAYS AFTER SERVICE BY A PARTY OR THE ATTORNEY FOR THE CHILD UPON THE APPELLANT, WHICHEVER IS EARLIEST. ENTER Date: __________________________________ Judge of the Family Court. Check Applicable Box(es): ` Party against whom order was issued was advised in Court of issuance and contents of Order ` Order personally served in Court upon party against whom order was issued ` Service directed by other means [specify]: ` [Modifications or extensions only]: Order mailed on [specify date and to whom mailed]: ` Warrant issued for party against whom order was issued [specify date]: ` ADDITIONAL SERVICE INFORMATION [specify]: _______________________________________ American LegalNet, Inc. www.FormsWorkFlow.com





