Last updated: 5/6/2020
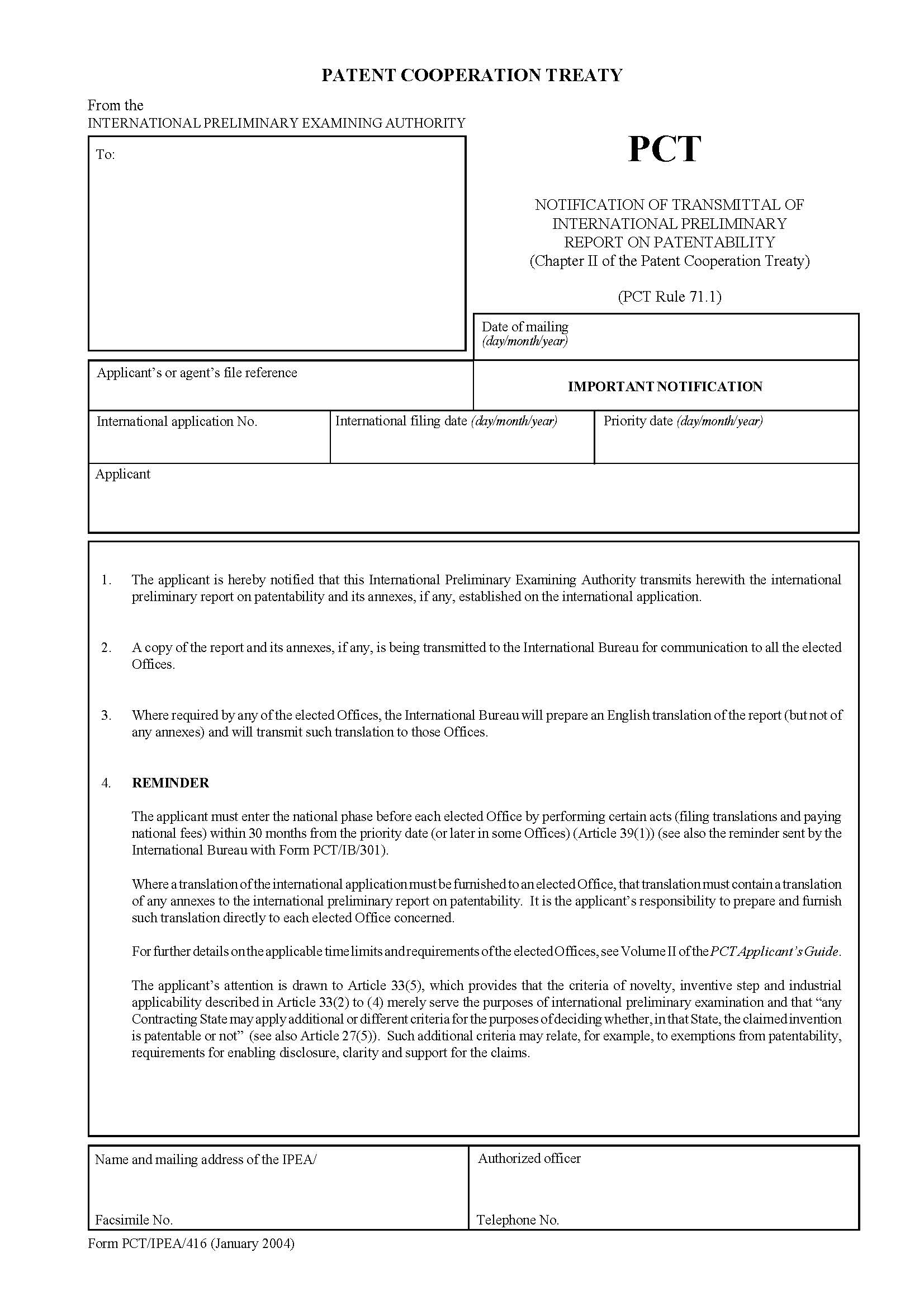
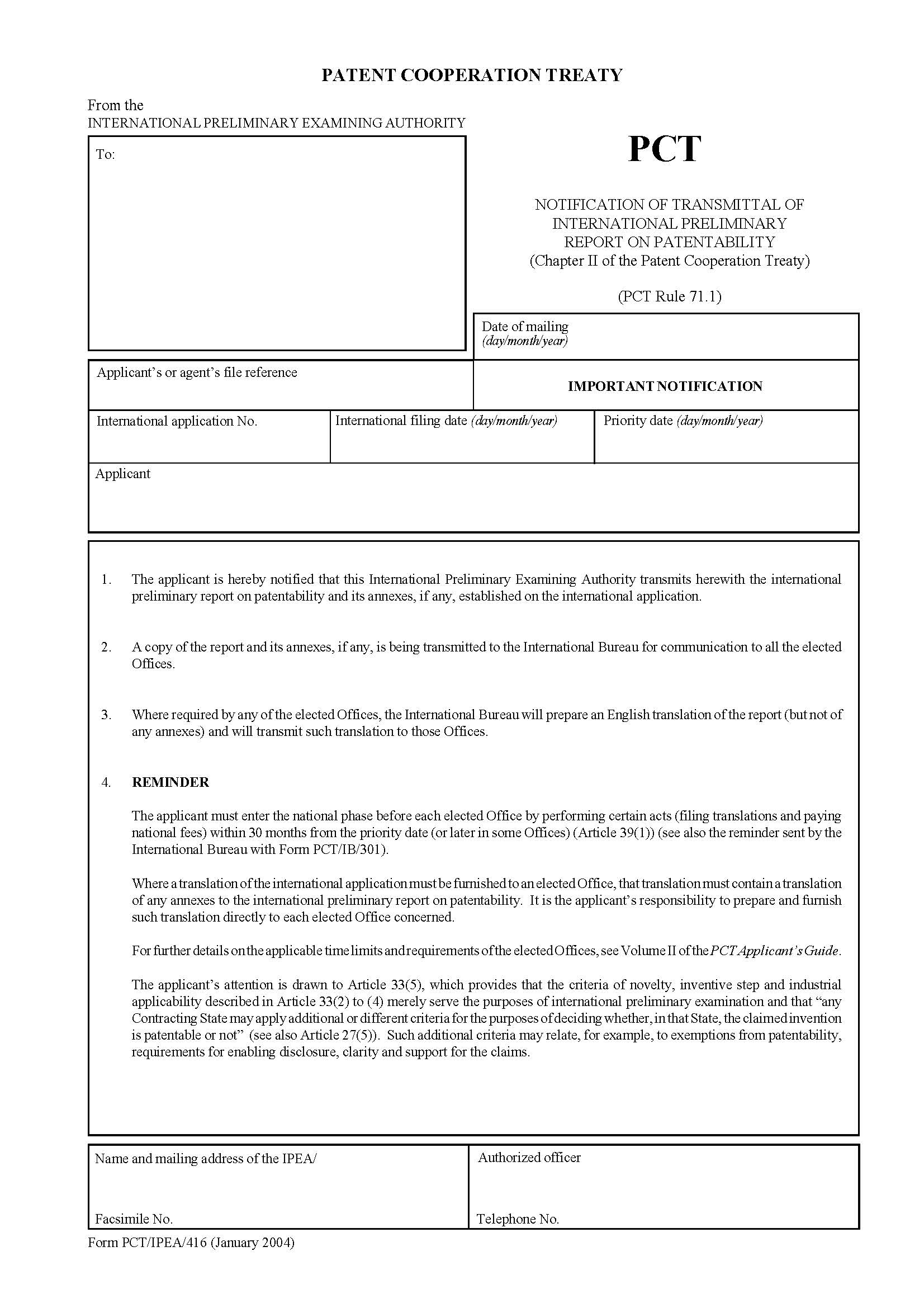
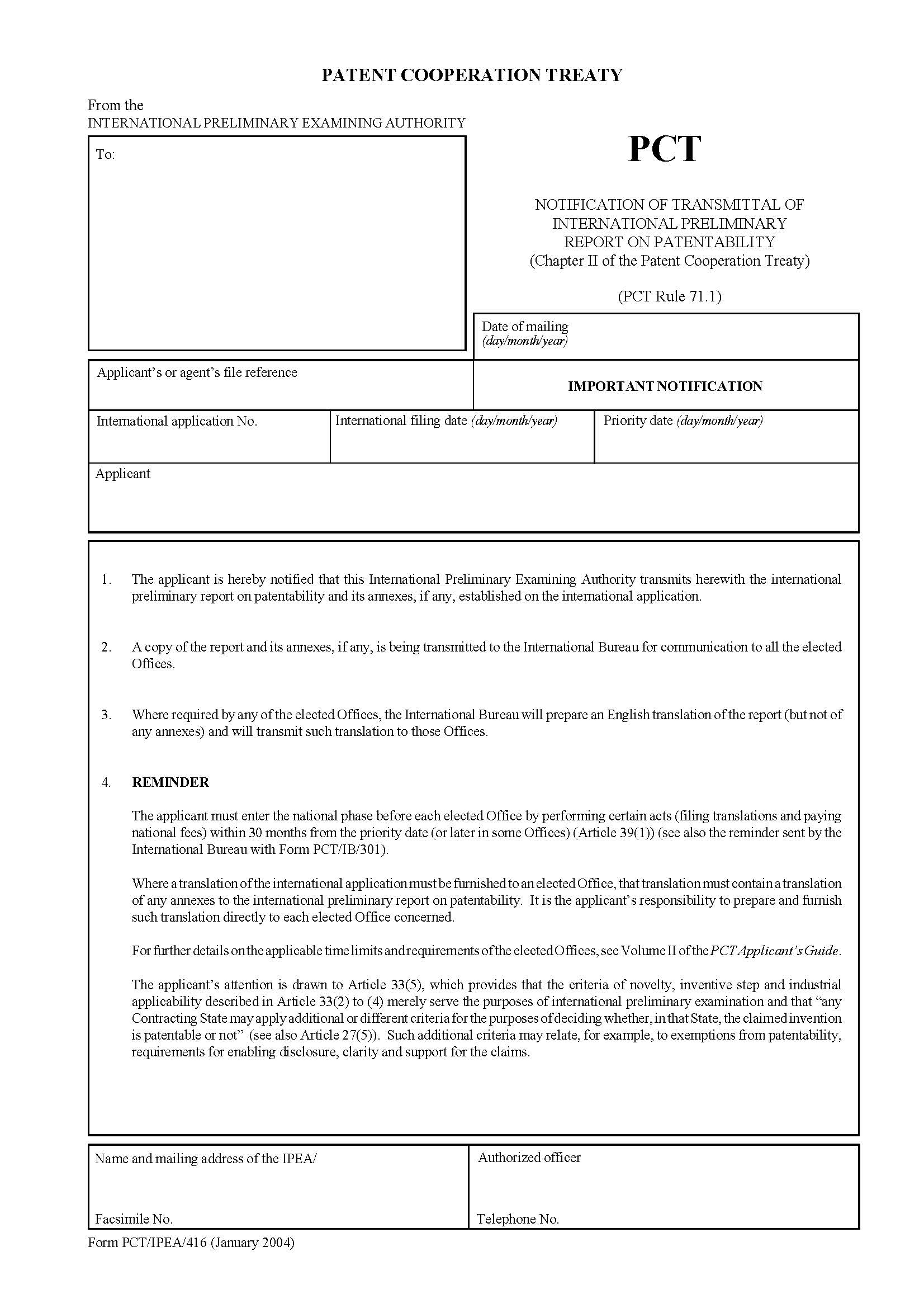
Notification Of Transmittal Of International Preliminary Report On Patentability {PCT-IPEA-416}
Start Your Free Trial $ 0.00What you get:
- Instant access to fillable Microsoft Word or PDF forms.
- Minimize the risk of using outdated forms and eliminate rejected fillings.
- Largest forms database in the USA with more than 80,000 federal, state and agency forms.
- Download, edit, auto-fill multiple forms at once in MS Word using our Forms Workflow Ribbon
- Trusted by 1,000s of Attorneys and Legal Professionals
Description
PCT/IPEA/416, NOTIFICATION OF TRANSMITTAL OF INTERNATIONAL PRELIMINARY REPORT ON PATENTABILITY (Chapter II of the Patent Cooperation Treaty) (PCT Rule 71.1). This form is a notification issued by the International Preliminary Examining Authority (IPEA) under PCT Rule 71.1. Under PCT Chapter II, after conducting an international preliminary examination (IPE), the IPEA prepares the IPRP, which contains a written opinion on the patentability of the invention claimed in the international application. PCT/IPEA/416 is a notification that the IPEA has transmitted the IPRP to both the IB and the applicant. The notification confirms that the IPRP has been prepared and transmitted to the parties concerned. The notification may also provide additional information about the IPRP, such as the specific issues addressed in the opinion, any objections raised by the IPEA, and any deadlines for the applicant to respond or amend the international application. www.FormsWorkflow.com
Related forms
-
Invitation To Correct Defects In The Demand
Official Federal Forms/US Patent Office/PCT/International Preliminary Examining Authority -
Communication Regarding Amendments Not Taken Into Account
Official Federal Forms/US Patent Office/PCT/International Preliminary Examining Authority -
Invitation To Correct Defects In Correspondence Submitted By The Applicant
Official Federal Forms/US Patent Office/PCT/International Preliminary Examining Authority -
Communication In Cases For Which No Other Form Is Applicable
Official Federal Forms/US Patent Office/PCT/International Preliminary Examining Authority -
Communication Regarding Extension Of Time Limit
Official Federal Forms/US Patent Office/PCT/International Preliminary Examining Authority -
Invitation To Indicate Competent International Preliminary Examing Authority
Official Federal Forms/US Patent Office/PCT/International Preliminary Examining Authority -
Invitation To Pay For Requested Copies Of Documents In The File
Official Federal Forms/US Patent Office/PCT/International Preliminary Examining Authority -
Invitation To Pay For Requested Copies Of Cited Documents
Official Federal Forms/US Patent Office/PCT/International Preliminary Examining Authority -
Invitation To Furnish Translation Of Priority Document
Official Federal Forms/US Patent Office/PCT/International Preliminary Examining Authority -
Invitation To Restrict Or Pay Additional Fees
Official Federal Forms/US Patent Office/PCT/International Preliminary Examining Authority -
Invitation To Furnish Translation For The Purposes Of International Preliminary
Official Federal Forms/US Patent Office/PCT/International Preliminary Examining Authority -
Invitation To Pay Prescribed Fees Together With Late Payment Fee
Official Federal Forms/US Patent Office/PCT/International Preliminary Examining Authority -
Invitation To Submit Amendments
Official Federal Forms/US Patent Office/PCT/International Preliminary Examining Authority -
Notification Concerning Informal Communication With The Applicant
Official Federal Forms/US Patent Office/PCT/International Preliminary Examining Authority -
Notification Of Cancellation Of Certain Elections
Official Federal Forms/US Patent Office/PCT/International Preliminary Examining Authority -
Notifcation By Non-Competent International Preliminary Examining Authority
Official Federal Forms/US Patent Office/PCT/International Preliminary Examining Authority -
Notification Of Receipt Of Demand By Competent International Preliminary Examining Authority
Official Federal Forms/US Patent Office/PCT/International Preliminary Examining Authority -
Notification Of Transmittal Of Requested Copies Of Cited Documents
Official Federal Forms/US Patent Office/PCT/International Preliminary Examining Authority -
Notification Of Decision On Protest
Official Federal Forms/US Patent Office/PCT/International Preliminary Examining Authority -
Notification Of Transmittal Of Demand To The International Bureau
Official Federal Forms/US Patent Office/PCT/International Preliminary Examining Authority -
Notification Of Transmittal Of International Preliminary Report On Patentability
Official Federal Forms/US Patent Office/PCT/International Preliminary Examining Authority -
Notification Of Transmittal Of Requested Copies Of Documents In File
Official Federal Forms/US Patent Office/PCT/International Preliminary Examining Authority -
Notification That Demand Considered Not To Have Been Submitted
Official Federal Forms/US Patent Office/PCT/International Preliminary Examining Authority -
Invitation To Request Rectification
Official Federal Forms/US Patent Office/PCT/International Preliminary Examining Authority -
Notification Of Decision Concerning Request For Rectification
Official Federal Forms/US Patent Office/PCT/International Preliminary Examining Authority -
Notification Concerning Payment Of The Preliminary Examination And Handling Fees
Official Federal Forms/US Patent Office/PCT/International Preliminary Examining Authority -
Notification Regarding Attempted Transmission Of Documents Via Telegraph
Official Federal Forms/US Patent Office/PCT/International Preliminary Examining Authority -
Request For Information As To Right To Practice
Official Federal Forms/US Patent Office/PCT/International Preliminary Examining Authority -
Note On Informal Communication With The Applicant
Official Federal Forms/US Patent Office/PCT/International Preliminary Examining Authority -
Notification Concerning Documents Transmitted
Official Federal Forms/US Patent Office/PCT/International Preliminary Examining Authority -
Invitation To Furnish Nucleotide And-Or Amino Acid Sequence Listing And-Or Tables
Official Federal Forms/US Patent Office/PCT/International Preliminary Examining Authority -
International Preliminary Report On Patentability
Official Federal Forms/US Patent Office/PCT/International Preliminary Examining Authority -
Written Opinion Of The International Preliminary Examination Authority
Official Federal Forms/US Patent Office/PCT/International Preliminary Examining Authority -
PCT Demand
Official Federal Forms/US Patent Office/PCT/International Preliminary Examining Authority -
PCT Demand (Continuation Sheets)
Official Federal Forms/US Patent Office/PCT/International Preliminary Examining Authority -
Invitation To Furnish Orginal Of Document Transmitted By Telegraph Teleprinter Facsimile Machine
Official Federal Forms/US Patent Office/PCT/International Preliminary Examining Authority -
Notification Regarding Receipt Of Documents Via Telegraph Teleprinter Facsimile Machine
Official Federal Forms/US Patent Office/PCT/International Preliminary Examining Authority -
Notification Concerning Paper Being Disregarded
Official Federal Forms/US Patent Office/PCT/International Preliminary Examining Authority
Form Preview
Contact Us
Success: Your message was sent.
Thank you!




