Last updated: 5/5/2020
Notifcation By Non-Competent International Preliminary Examining Authority {PCT-IPEA-444}
Start Your Free Trial $ 0.00What you get:
- Instant access to fillable Microsoft Word or PDF forms.
- Minimize the risk of using outdated forms and eliminate rejected fillings.
- Largest forms database in the USA with more than 80,000 federal, state and agency forms.
- Download, edit, auto-fill multiple forms at once in MS Word using our Forms Workflow Ribbon
- Trusted by 1,000s of Attorneys and Legal Professionals
Description
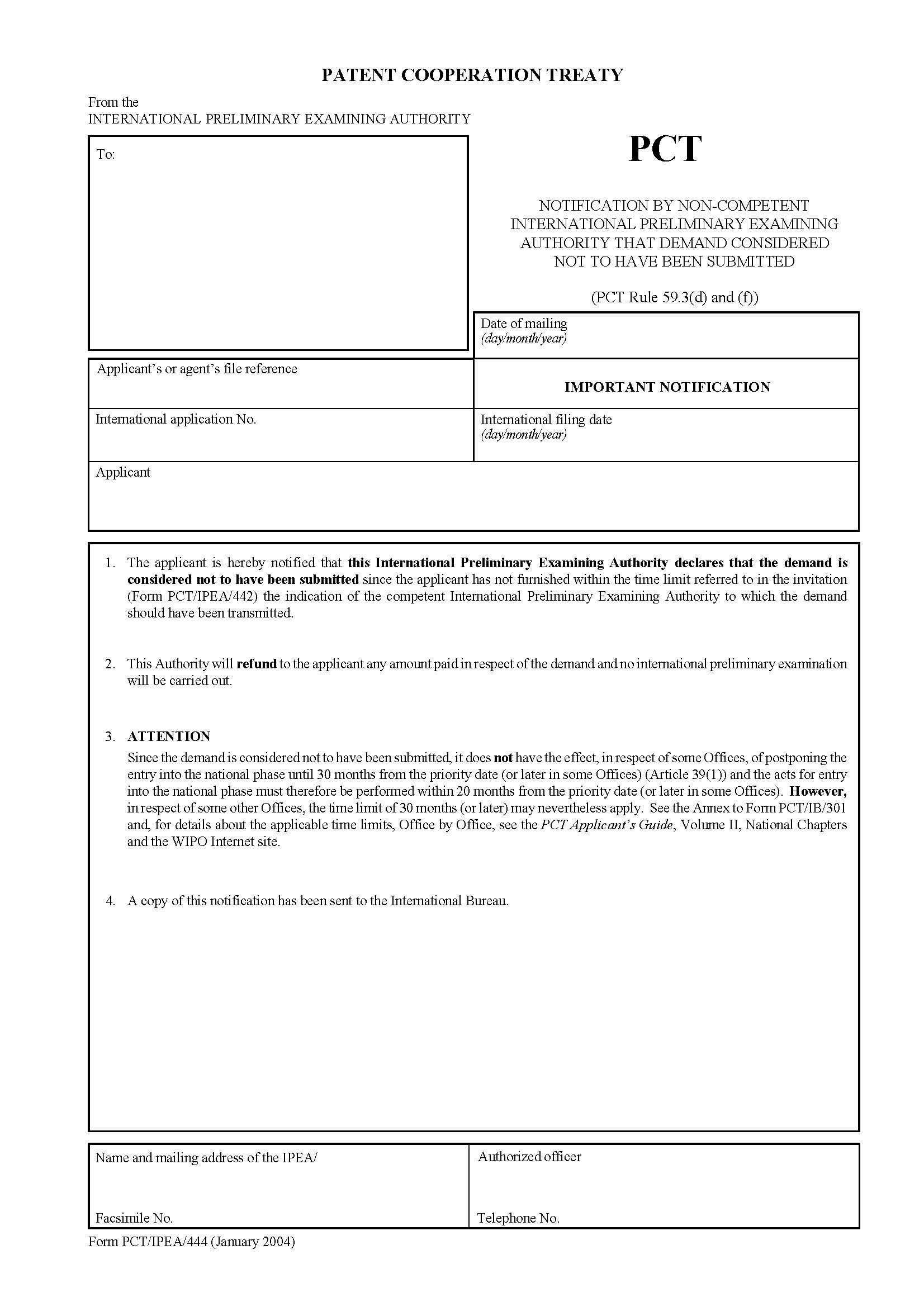
PCT/IPEA/444, NOTIFICATION BY NON-COMPETENT INTERNATIONAL PRELIMINARY EXAMINING AUTHORITY THAT DEMAND CONSIDERED NOT TO HAVE BEEN SUBMITTED (PCT Rule 59.3(d) and (f)). This form is used by a non-competent International Preliminary Examining Authority (IPEA) to notify the International Bureau (IB) that a demand for international preliminary examination is considered not to have been submitted, pursuant to PCT Rule 59.3(d) and (f). PCT Rule 59.3 outlines the conditions under which a demand for international preliminary examination may be considered not to have been submitted. In particular, Rule 59.3(d) provides that if the IPEA receives the demand after the expiration of the time limit, it may consider the demand not to have been submitted. Similarly, Rule 59.3(f) provides that if the IPEA finds that the demand does not comply with certain formal requirements, it may consider the demand not to have been submitted. If a non-competent IPEA receives a demand that it considers not to have been submitted under Rule 59.3(d) or (f), it must use the PCT/IPEA/444 form to notify the IB of its decision. The form must include information such as the name and address of the applicant, the application number, and the reason why the demand is considered not to have been submitted. www.FormsWorkflow.com
Related forms
-
Invitation To Correct Defects In The Demand
Official Federal Forms/US Patent Office/PCT/International Preliminary Examining Authority -
Communication Regarding Amendments Not Taken Into Account
Official Federal Forms/US Patent Office/PCT/International Preliminary Examining Authority -
Invitation To Correct Defects In Correspondence Submitted By The Applicant
Official Federal Forms/US Patent Office/PCT/International Preliminary Examining Authority -
Communication In Cases For Which No Other Form Is Applicable
Official Federal Forms/US Patent Office/PCT/International Preliminary Examining Authority -
Communication Regarding Extension Of Time Limit
Official Federal Forms/US Patent Office/PCT/International Preliminary Examining Authority -
Invitation To Indicate Competent International Preliminary Examing Authority
Official Federal Forms/US Patent Office/PCT/International Preliminary Examining Authority -
Invitation To Pay For Requested Copies Of Documents In The File
Official Federal Forms/US Patent Office/PCT/International Preliminary Examining Authority -
Invitation To Pay For Requested Copies Of Cited Documents
Official Federal Forms/US Patent Office/PCT/International Preliminary Examining Authority -
Invitation To Furnish Translation Of Priority Document
Official Federal Forms/US Patent Office/PCT/International Preliminary Examining Authority -
Invitation To Restrict Or Pay Additional Fees
Official Federal Forms/US Patent Office/PCT/International Preliminary Examining Authority -
Invitation To Furnish Translation For The Purposes Of International Preliminary
Official Federal Forms/US Patent Office/PCT/International Preliminary Examining Authority -
Invitation To Pay Prescribed Fees Together With Late Payment Fee
Official Federal Forms/US Patent Office/PCT/International Preliminary Examining Authority -
Invitation To Submit Amendments
Official Federal Forms/US Patent Office/PCT/International Preliminary Examining Authority -
Notification Concerning Informal Communication With The Applicant
Official Federal Forms/US Patent Office/PCT/International Preliminary Examining Authority -
Notification Of Cancellation Of Certain Elections
Official Federal Forms/US Patent Office/PCT/International Preliminary Examining Authority -
Notifcation By Non-Competent International Preliminary Examining Authority
Official Federal Forms/US Patent Office/PCT/International Preliminary Examining Authority -
Notification Of Receipt Of Demand By Competent International Preliminary Examining Authority
Official Federal Forms/US Patent Office/PCT/International Preliminary Examining Authority -
Notification Of Transmittal Of Requested Copies Of Cited Documents
Official Federal Forms/US Patent Office/PCT/International Preliminary Examining Authority -
Notification Of Decision On Protest
Official Federal Forms/US Patent Office/PCT/International Preliminary Examining Authority -
Notification Of Transmittal Of Demand To The International Bureau
Official Federal Forms/US Patent Office/PCT/International Preliminary Examining Authority -
Notification Of Transmittal Of International Preliminary Report On Patentability
Official Federal Forms/US Patent Office/PCT/International Preliminary Examining Authority -
Notification Of Transmittal Of Requested Copies Of Documents In File
Official Federal Forms/US Patent Office/PCT/International Preliminary Examining Authority -
Notification That Demand Considered Not To Have Been Submitted
Official Federal Forms/US Patent Office/PCT/International Preliminary Examining Authority -
Invitation To Request Rectification
Official Federal Forms/US Patent Office/PCT/International Preliminary Examining Authority -
Notification Of Decision Concerning Request For Rectification
Official Federal Forms/US Patent Office/PCT/International Preliminary Examining Authority -
Notification Concerning Payment Of The Preliminary Examination And Handling Fees
Official Federal Forms/US Patent Office/PCT/International Preliminary Examining Authority -
Notification Regarding Attempted Transmission Of Documents Via Telegraph
Official Federal Forms/US Patent Office/PCT/International Preliminary Examining Authority -
Request For Information As To Right To Practice
Official Federal Forms/US Patent Office/PCT/International Preliminary Examining Authority -
Note On Informal Communication With The Applicant
Official Federal Forms/US Patent Office/PCT/International Preliminary Examining Authority -
Notification Concerning Documents Transmitted
Official Federal Forms/US Patent Office/PCT/International Preliminary Examining Authority -
Invitation To Furnish Nucleotide And-Or Amino Acid Sequence Listing And-Or Tables
Official Federal Forms/US Patent Office/PCT/International Preliminary Examining Authority -
International Preliminary Report On Patentability
Official Federal Forms/US Patent Office/PCT/International Preliminary Examining Authority -
Written Opinion Of The International Preliminary Examination Authority
Official Federal Forms/US Patent Office/PCT/International Preliminary Examining Authority -
PCT Demand
Official Federal Forms/US Patent Office/PCT/International Preliminary Examining Authority -
PCT Demand (Continuation Sheets)
Official Federal Forms/US Patent Office/PCT/International Preliminary Examining Authority -
Invitation To Furnish Orginal Of Document Transmitted By Telegraph Teleprinter Facsimile Machine
Official Federal Forms/US Patent Office/PCT/International Preliminary Examining Authority -
Notification Regarding Receipt Of Documents Via Telegraph Teleprinter Facsimile Machine
Official Federal Forms/US Patent Office/PCT/International Preliminary Examining Authority -
Notification Concerning Paper Being Disregarded
Official Federal Forms/US Patent Office/PCT/International Preliminary Examining Authority
Form Preview
Contact Us
Success: Your message was sent.
Thank you!




