Last updated: 2/3/2009
Summons On Third-Party Complaint {AO 441}
Start Your Free Trial $ 13.99What you get:
- Instant access to fillable Microsoft Word or PDF forms.
- Minimize the risk of using outdated forms and eliminate rejected fillings.
- Largest forms database in the USA with more than 80,000 federal, state and agency forms.
- Download, edit, auto-fill multiple forms at once in MS Word using our Forms Workflow Ribbon
- Trusted by 1,000s of Attorneys and Legal Professionals
Description
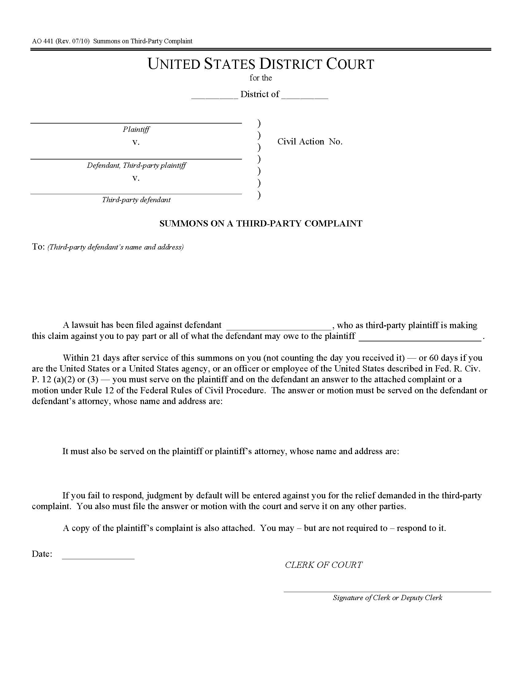
AO 441 - SUMMONS ON A THIRD-PARTY COMPLAINT. This form is used in the United States federal court system in conjunction with a third-party complaint. A third-party complaint is a claim brought by a defendant in an existing lawsuit against a third-party who the defendant believes is responsible for some or all of the plaintiff's claims. The purpose of the AO 441 summons is to provide notice to the third-party defendant that they have been named in the lawsuit and to inform them of their obligations to respond to the third-party complaint. The form includes the name of the court, the title of the action, the case number, and the names and addresses of the plaintiff, defendant, and third-party defendant. It also includes a description of the claims being made against the third-party defendant. The third-party defendant is informed that they must file an answer or other response to the third-party complaint within a specified time period, typically 21 days from the date of service of the summons. The form explains the consequences of failing to respond, including the possibility of a default judgment being entered against the third-party defendant. www.FormsWorkflow.com
Related forms
-
Bill Of Costs
Official Federal Forms/Federal District/Administrative Office - Civil/ -
Exhibit And Witness List
Official Federal Forms/Federal District/Administrative Office - Civil/ -
Writ Of Execution
Official Federal Forms/Federal District/Administrative Office - Civil/ -
Summons In A Civil Action
Official Federal Forms/Federal District/Administrative Office - Civil/ -
Exemplification Certificate
Official Federal Forms/Federal District/Administrative Office - Civil/ -
Certified Copy
Official Federal Forms/Federal District/Administrative Office - Civil/ -
Certificate Of Good Standing
Official Federal Forms/Federal District/Administrative Office - Civil/ -
Certificate Of Good Standing
Official Federal Forms/Federal District/Administrative Office - Civil/ -
Exhibit And Witness List - Continuation
Official Federal Forms/Federal District/Administrative Office - Civil/ -
Apostille Specimen Signature Card
Official Federal Forms/Federal District/Administrative Office - Civil/ -
Apostille Index Card
Official Federal Forms/Federal District/Administrative Office - Civil/ -
Case Information Record
Official Federal Forms/Federal District/Administrative Office - Civil/ -
Report On The Filing Or Determination Of An Action Regarding A Patent Or Trademark
Official Federal Forms/Federal District/Administrative Office - Civil/ -
Consent Order Granting Substitution Of Attorney
Official Federal Forms/Federal District/Administrative Office - Civil/ -
Appearance Of Counsel
Official Federal Forms/Federal District/Administrative Office - Civil/ -
Application To Proceed In District Court Without Prepaying Fees Or Costs
Official Federal Forms/Federal District/Administrative Office - Civil/ -
Clerks Certification Of A Judgment To Be Registered In Another District
Official Federal Forms/Federal District/Administrative Office - Civil/ -
Notice Consent And Reference Of Civil Action To A Magistrate Judge
Official Federal Forms/Federal District/Administrative Office - Civil/ -
Notice Consent And Reference Of A Dispositive Motion To A Magistrate Judge
Official Federal Forms/Federal District/Administrative Office - Civil/ -
Order To Proceed Without Prepaying Fees or Costs
Official Federal Forms/Federal District/Administrative Office - Civil/ -
Subpoena To Appear And Testify At A Hearing Or Trial In A Civil Action
Official Federal Forms/Federal District/Administrative Office - Civil/ -
Summons On Third-Party Complaint
Official Federal Forms/Federal District/Administrative Office - Civil/ -
Waiver Of The Service Of Summons
Official Federal Forms/Federal District/Administrative Office - Civil/ -
Judgment In A Civil Action
Official Federal Forms/Federal District/Administrative Office - Civil/ -
Notice Of A Lawsuit And Request To Waive Service Of A Summons
Official Federal Forms/Federal District/Administrative Office - Civil/ -
Subpoena To Produce Documents Information Or Objects Or To Permit Inspection Of Premises
Official Federal Forms/Federal District/Administrative Office - Civil/ -
Application To Proceed In District Court Without Prepaying Fees Or Costs (Long Form)
Official Federal Forms/Federal District/Administrative Office - Civil/ -
Warrant For The Arrest Of A Witness In A Civil Action
Official Federal Forms/Federal District/Administrative Office - Civil/ -
Petition For Writ Of Habeas Corpus Under 28 USC 2241
Official Federal Forms/Federal District/Administrative Office - Civil/ -
Report On The Filing Or Determination Of An Action Or Appeal Re A Copyright
Official Federal Forms/Federal District/Administrative Office - Civil/ -
Subpoena To Testify At A Deposition Or To Produce Documents In A Civil Action
Official Federal Forms/Federal District/Administrative Office - Civil/
Form Preview
Contact Us
Success: Your message was sent.
Thank you!




