Last updated: 1/15/2020
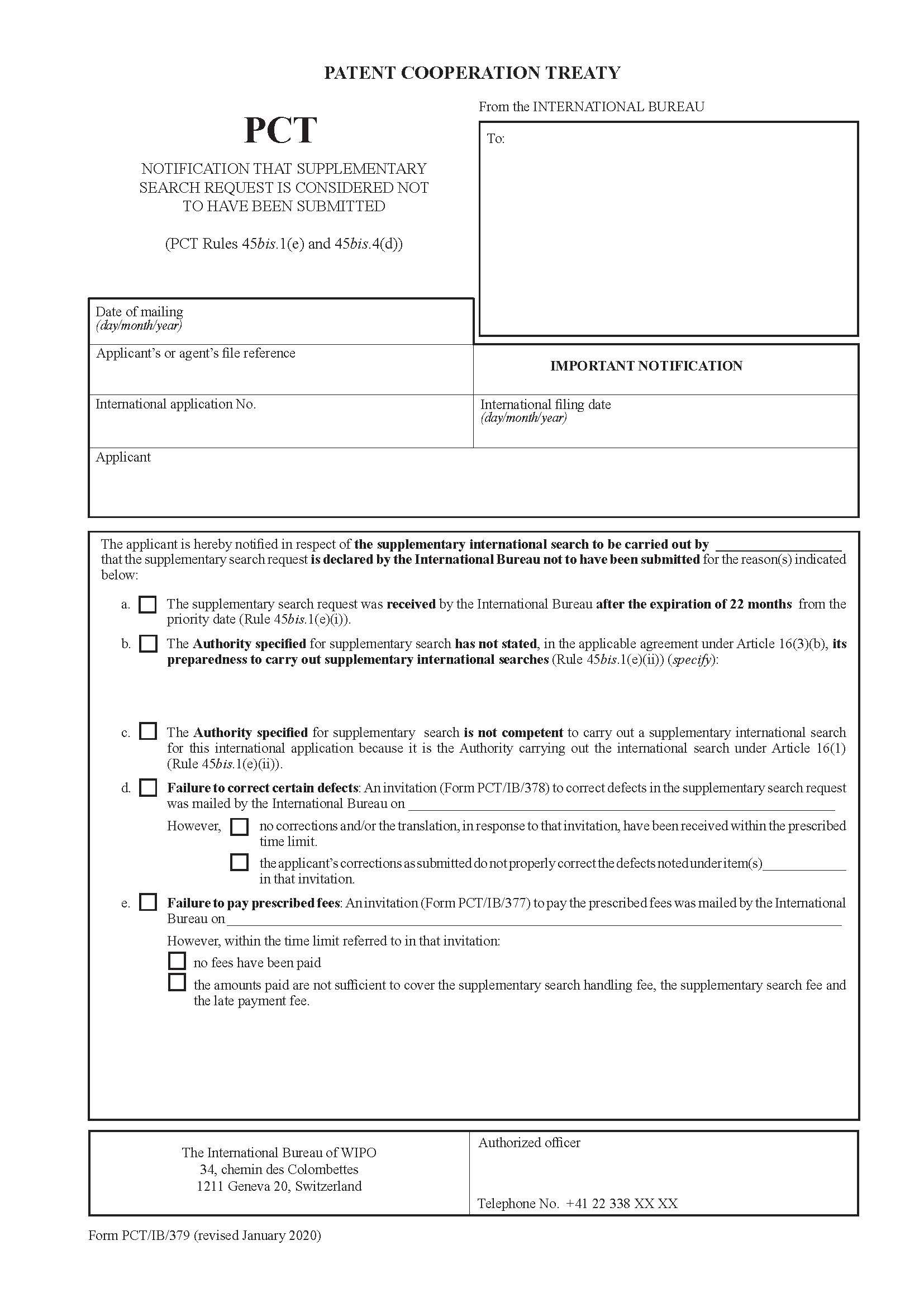
Notification That Supplementary Search Request Is Considered Not To Have Been Submitted {PCT-IB-379}
Start Your Free Trial $ 14.00What you get:
- Instant access to fillable Microsoft Word or PDF forms.
- Minimize the risk of using outdated forms and eliminate rejected fillings.
- Largest forms database in the USA with more than 80,000 federal, state and agency forms.
- Download, edit, auto-fill multiple forms at once in MS Word using our Forms Workflow Ribbon
- Trusted by 1,000s of Attorneys and Legal Professionals
Description
PCT/IB/379, NOTIFICATION THAT SUPPLEMENTARY SEARCH REQUEST IS CONSIDERED NOT TO HAVE BEEN SUBMITTED (PCT Rules 45bis.1(e) and 45bis.4(d)). This is a notification issued by the International Searching Authority (ISA) or the International Preliminary Examining Authority (IPEA) in the context of the Patent Cooperation Treaty (PCT). This notification informs the applicant that a supplementary search request that was filed with the ISA is considered not to have been submitted. This determination is made based on PCT Rule 45bis.1(e) and 45bis.4(d). PCT Rule 45bis.1(e) provides that a supplementary search request may be considered not to have been submitted if the applicant fails to provide the required fee or if the request does not comply with certain formal requirements specified in the PCT. www.FormsWorkflow.com
Related forms
-
Request For Indication Of Availability For Licensing Purposes
Official Federal Forms/US Patent Office/PCT/International Bureau/ -
Notification Of Decision Not To Omit Information From International Publication
Official Federal Forms/US Patent Office/PCT/International Bureau/ -
Notification Of Decision To Omit Information From International Publication
Official Federal Forms/US Patent Office/PCT/International Bureau/ -
Invitation For Omission Of Information From International Publication
Official Federal Forms/US Patent Office/PCT/International Bureau/ -
Invitation To Request Omission Of Information From International Publication
Official Federal Forms/US Patent Office/PCT/International Bureau/ -
Notification Of Refund Of Fees Concerning Supplementary International Search
Official Federal Forms/US Patent Office/PCT/International Bureau/ -
Notification That Supplementary Search Request Is Considered Not To Have Been Submitted
Official Federal Forms/US Patent Office/PCT/International Bureau/ -
Invitation To Correct Defects In The Supplementary Search Request
Official Federal Forms/US Patent Office/PCT/International Bureau/ -
Invitation To Pay Prescribed Fees Together With Late Payment Fee
Official Federal Forms/US Patent Office/PCT/International Bureau/ -
Notification Of Receipt Of Supplementary Search Request And Payment
Official Federal Forms/US Patent Office/PCT/International Bureau/ -
Notification Of Transmittal Of Copies Of Translation Of The Written Opinion
Official Federal Forms/US Patent Office/PCT/International Bureau/ -
International Preliminary Report On Patentability
Official Federal Forms/US Patent Office/PCT/International Bureau/ -
Notification Relating To Declaration Made Under Rule 4.17
Official Federal Forms/US Patent Office/PCT/International Bureau/ -
Invitation To Correct Declarations Made In The Request Under PCT Rule 4.17
Official Federal Forms/US Patent Office/PCT/International Bureau/ -
Notification That Demand Considered Not To Have Been Submitted
Official Federal Forms/US Patent Office/PCT/International Bureau/ -
Notification Of Transmittal Of Demand To The Competent International Preliminary
Official Federal Forms/US Patent Office/PCT/International Bureau/ -
Invitation To Indicate Competent International Preliminary Examing Authority
Official Federal Forms/US Patent Office/PCT/International Bureau/ -
Notification Concerning Copies Of Documents In The File
Official Federal Forms/US Patent Office/PCT/International Bureau/ -
Notification Concerning Copies Of Documents In The File
Official Federal Forms/US Patent Office/PCT/International Bureau/ -
Notification Concerning Paper Being Disregarded Or Document Considered
Official Federal Forms/US Patent Office/PCT/International Bureau/ -
Invitation To Furnish Original Of Document Transmitted By Telegraph Teleprinter Facsimile
Official Federal Forms/US Patent Office/PCT/International Bureau/ -
Notification Regarding Attempted Transmission Of Documents Via Telegraph Teleprinter
Official Federal Forms/US Patent Office/PCT/International Bureau/ -
Notification That Copy Of Priority Document Will Not Be Furnished
Official Federal Forms/US Patent Office/PCT/International Bureau/ -
Furnishing Of Copies Of Priority Documents
Official Federal Forms/US Patent Office/PCT/International Bureau/ -
Transmittal Of Copies Of Priority Documents
Official Federal Forms/US Patent Office/PCT/International Bureau/ -
Notification That Demand Is Considered Not To Have Been Submitted Or Made
Official Federal Forms/US Patent Office/PCT/International Bureau/ -
Communication Of International Applications
Official Federal Forms/US Patent Office/PCT/International Bureau/ -
Notification Concerning The Filing Of Amendments Of The Claims
Official Federal Forms/US Patent Office/PCT/International Bureau/ -
Communication In Cases For Which No Other Form Is Applicable
Official Federal Forms/US Patent Office/PCT/International Bureau/ -
Notification Of Defects With Regard To Correspondence Submitted By Applicant
Official Federal Forms/US Patent Office/PCT/International Bureau/ -
Notification Of Withdrawal Of Demand Or Elections
Official Federal Forms/US Patent Office/PCT/International Bureau/ -
Notification Of Transmittal Of Copies Of Translation Of The International Preliminary Report
Official Federal Forms/US Patent Office/PCT/International Bureau/ -
Notification Concerning Written Opinion Of International Searching Authority
Official Federal Forms/US Patent Office/PCT/International Bureau/ -
Notification Of Defects In Demand
Official Federal Forms/US Patent Office/PCT/International Bureau/ -
Notification Of Cancellation Of Designation Or Elections
Official Federal Forms/US Patent Office/PCT/International Bureau/ -
Information Concerning Elected Offices Notified Of Their Election
Official Federal Forms/US Patent Office/PCT/International Bureau/ -
Notification Of Election
Official Federal Forms/US Patent Office/PCT/International Bureau/ -
Notification Concerning Transmittal Of Copy Of International Preliminary Report
Official Federal Forms/US Patent Office/PCT/International Bureau/ -
Notification That International Application Considered To Be Withdrawn
Official Federal Forms/US Patent Office/PCT/International Bureau/ -
Request For The Production Of Proof
Official Federal Forms/US Patent Office/PCT/International Bureau/ -
Notification Concerning Expressions Etc Not To Be Used In The International Application
Official Federal Forms/US Patent Office/PCT/International Bureau/ -
Notification Of Facts Which Should Have Precluded The According Of An International Filing
Official Federal Forms/US Patent Office/PCT/International Bureau/ -
Notification Of Defective Power Of Attorney Or Defective Revocation Of Power Of Attorney
Official Federal Forms/US Patent Office/PCT/International Bureau/ -
Notification Concerning Representation
Official Federal Forms/US Patent Office/PCT/International Bureau/ -
Notification Relating To Priority Claim
Official Federal Forms/US Patent Office/PCT/International Bureau/ -
Notification Of Withdrawal Of Priority Claim
Official Federal Forms/US Patent Office/PCT/International Bureau/ -
Invitation To Correct Priority Claim
Official Federal Forms/US Patent Office/PCT/International Bureau/ -
Notifcation Of Decision Concerning Request For Rectification
Official Federal Forms/US Patent Office/PCT/International Bureau/ -
Invitation To Request Rectification
Official Federal Forms/US Patent Office/PCT/International Bureau/ -
Notifcation Of Defects In The International Application
Official Federal Forms/US Patent Office/PCT/International Bureau/ -
Notification Concerning Availability Of The Publication Of The International Application
Official Federal Forms/US Patent Office/PCT/International Bureau/ -
First Notice Informing The Applicant Of The Communication Of The International Application
Official Federal Forms/US Patent Office/PCT/International Bureau/ -
Second And Supplementary Notice Informing The Applicant Of The Communication
Official Federal Forms/US Patent Office/PCT/International Bureau/ -
Notification Of Withdrawal Of International Application Or Designations
Official Federal Forms/US Patent Office/PCT/International Bureau/ -
Notification Of The Recording Of A Change
Official Federal Forms/US Patent Office/PCT/International Bureau/ -
Notification Of Late Submission Of Application Number Of Earlier Application
Official Federal Forms/US Patent Office/PCT/International Bureau/ -
Notification Concerning Submission Or Transmittal Of Priority Document
Official Federal Forms/US Patent Office/PCT/International Bureau/ -
Notification Of Receipt Of Record Copy
Official Federal Forms/US Patent Office/PCT/International Bureau/ -
Notice Of Withdrawal
Official Federal Forms/US Patent Office/PCT/International Bureau/ -
Notification Concerning Documents Transmitted
Official Federal Forms/US Patent Office/PCT/International Bureau/ -
Supplementary Search Request
Official Federal Forms/US Patent Office/PCT/International Bureau/ -
International Application Status Form (IASF)
Official Federal Forms/US Patent Office/PCT/International Bureau/
Form Preview
Contact Us
Success: Your message was sent.
Thank you!




