Last updated: 3/19/2025
Garnishee Information Sheet {DC-455}
Start Your Free Trial $ 13.99What you get:
- Instant access to fillable Microsoft Word or PDF forms.
- Minimize the risk of using outdated forms and eliminate rejected fillings.
- Largest forms database in the USA with more than 80,000 federal, state and agency forms.
- Download, edit, auto-fill multiple forms at once in MS Word using our Forms Workflow Ribbon
- Trusted by 1,000s of Attorneys and Legal Professionals
Description
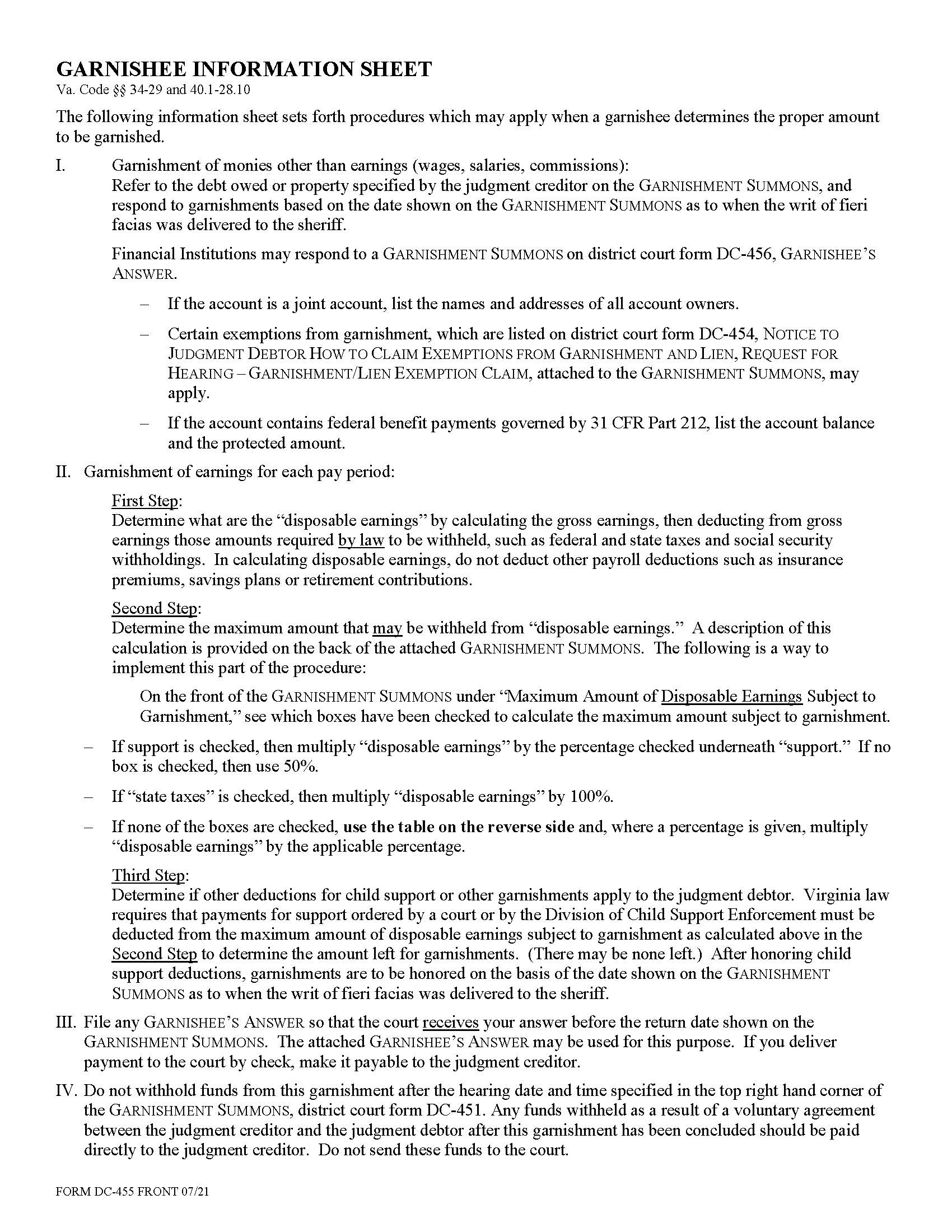
DC-455 - GARNISHEE INFORMATION SHEET. This form is used to guide garnishees, such as employers and financial institutions, in determining how to comply with a Garnishment Summons in Virginia. A garnishee is a third party, typically an employer or a bank, that holds assets or wages belonging to a judgment debtor and is legally required to withhold and transfer a portion of those assets to satisfy a court-ordered debt. This form provides specific instructions based on the type of garnishment. For financial institutions, it outlines how to determine the amount subject to garnishment, including considerations for joint accounts, federal benefit payments, and other exemptions. For employers, it explains how to calculate disposable earnings, which are wages remaining after legally required deductions such as taxes and Social Security. The form also details how to determine the maximum garnishable amount based on Virginia law, the priority of deductions (such as child support obligations), and the correct process for responding to the court. Employers and financial institutions must ensure compliance by filing a Garnishee’s Answer with the court before the return date on the summons and ceasing garnishment after the specified hearing date. Va. Code §§ 34-29 and 40.1-28.10. www.FormsWorkflow.com
Related forms
-
Notice Of Hearing To Establish Final Rent And Damages
Virginia/Statewide/District Court/Civil/ -
Request For Confidentiality-Civil
Virginia/Statewide/District Court/Civil/ -
Suggestion For Summons In Garnishment
Virginia/Statewide/District Court/Civil/ -
Garnishees Answer
Virginia/Statewide/District Court/Civil/ -
Motion To Set Aside Default Judgement
Virginia/Statewide/District Court/Civil/ -
Affidavit For Summons In Interpleader
Virginia/Statewide/District Court/Civil/ -
Affidavit And Petition For Order Of Publication
Virginia/Statewide/District Court/Civil/ -
Certificate Of Mailing Posted Service
Virginia/Statewide/District Court/Civil/ -
Attachment Petition
Virginia/Statewide/District Court/Civil/ -
Civil Appeal Bond
Virginia/Statewide/District Court/Civil/ -
Forthcoming Bond
Virginia/Statewide/District Court/Civil/ -
Medical Emergency Custody Petition
Virginia/Statewide/District Court/Civil/ -
Notice Of Change Of Address
Virginia/Statewide/District Court/Civil/ -
Petition For Judicial Certification Of Eligibility For Admission
Virginia/Statewide/District Court/Civil/ -
Petition And Affidavit For Good Cause For Injuction Of Mandamus
Virginia/Statewide/District Court/Civil/ -
Petition To Require Blood Test
Virginia/Statewide/District Court/Civil/ -
Plaintiffs Bond Lien Of Mechanic For Repairs
Virginia/Statewide/District Court/Civil/ -
Petition For Reinstatement Of Driving Privileges-Failure To Satisfy Judgment
Virginia/Statewide/District Court/Civil/ -
Subpoena Civil - Attorney
Virginia/Statewide/District Court/Civil/ -
Subpoena Duces Tecum Civil Attorney
Virginia/Statewide/District Court/Civil/ -
Warrant In Debt Small Claims Division
Virginia/Statewide/District Court/Civil/ -
Warrant In Detinue Small Claims Division
Virginia/Statewide/District Court/Civil/ -
Warrant In Detinue Civil Claim For Specific Personal Property
Virginia/Statewide/District Court/Civil/ -
Warrant In Debt Interpleader
Virginia/Statewide/District Court/Civil/ -
Detinue Seizure Petition
Virginia/Statewide/District Court/Civil/ -
Show Cause Summons (Civil)
Virginia/Statewide/District Court/Civil/ -
Notice And Order To Cure Deficiencies (Civil Appeal)
Virginia/Statewide/District Court/Civil/ -
Motion And Order For Judgment To Be Marked Satisfied
Virginia/Statewide/District Court/Civil/ -
Affidavit For Service Of Process On The Secretary Of The Commonwealth
Virginia/Statewide/District Court/Civil/ -
Distress Petition
Virginia/Statewide/District Court/Civil/ -
Defendants Bond For Levy Or Seizure
Virginia/Statewide/District Court/Civil/ -
Petition For Restoration Of Driving Privilege Habitual Offender
Virginia/Statewide/District Court/Civil/ -
Petition To Test For Blood Borne Pathogens
Virginia/Statewide/District Court/Civil/ -
Petition And Order For Sale Of Property
Virginia/Statewide/District Court/Civil/ -
Service Other Than By Virginia Sheriff
Virginia/Statewide/District Court/Civil/ -
Warrant In Debt
Virginia/Statewide/District Court/Civil/ -
Medical Emergency Temporary Detention Petition
Virginia/Statewide/District Court/Civil/ -
Request For Writ Of Possession In Unlawful Detainer Proceedings
Virginia/Statewide/District Court/Civil/ -
Request For Hearing Exemption Claim W-Instructions
Virginia/Statewide/District Court/Civil/ -
Request For Hearing Garnishment Exemption Claim W-Instructions
Virginia/Statewide/District Court/Civil/ -
Summons To Answer Interrogatories
Virginia/Statewide/District Court/Civil/ -
Garnishee Information Sheet
Virginia/Statewide/District Court/Civil/ -
Tenants Assertion And Complaint
Virginia/Statewide/District Court/Civil/ -
Garnishment Summons
Virginia/Statewide/District Court/Civil/ -
Motion And Order For Release Of Vehicle
Virginia/Statewide/District Court/Civil/ -
Summons For Unlawful Detainer
Virginia/Statewide/District Court/Civil/ -
Affidavit Default Judgment Servicemembers Civil Relief Act
Virginia/Statewide/District Court/Civil/ -
Notice Of Satisfaction
Virginia/Statewide/District Court/Civil/
Form Preview
Contact Us
Success: Your message was sent.
Thank you!




