Last updated: 3/19/2025
Request For Hearing Exemption Claim W-Instructions {DC-407}
Start Your Free Trial $ 13.99What you get:
- Instant access to fillable Microsoft Word or PDF forms.
- Minimize the risk of using outdated forms and eliminate rejected fillings.
- Largest forms database in the USA with more than 80,000 federal, state and agency forms.
- Download, edit, auto-fill multiple forms at once in MS Word using our Forms Workflow Ribbon
- Trusted by 1,000s of Attorneys and Legal Professionals
Description
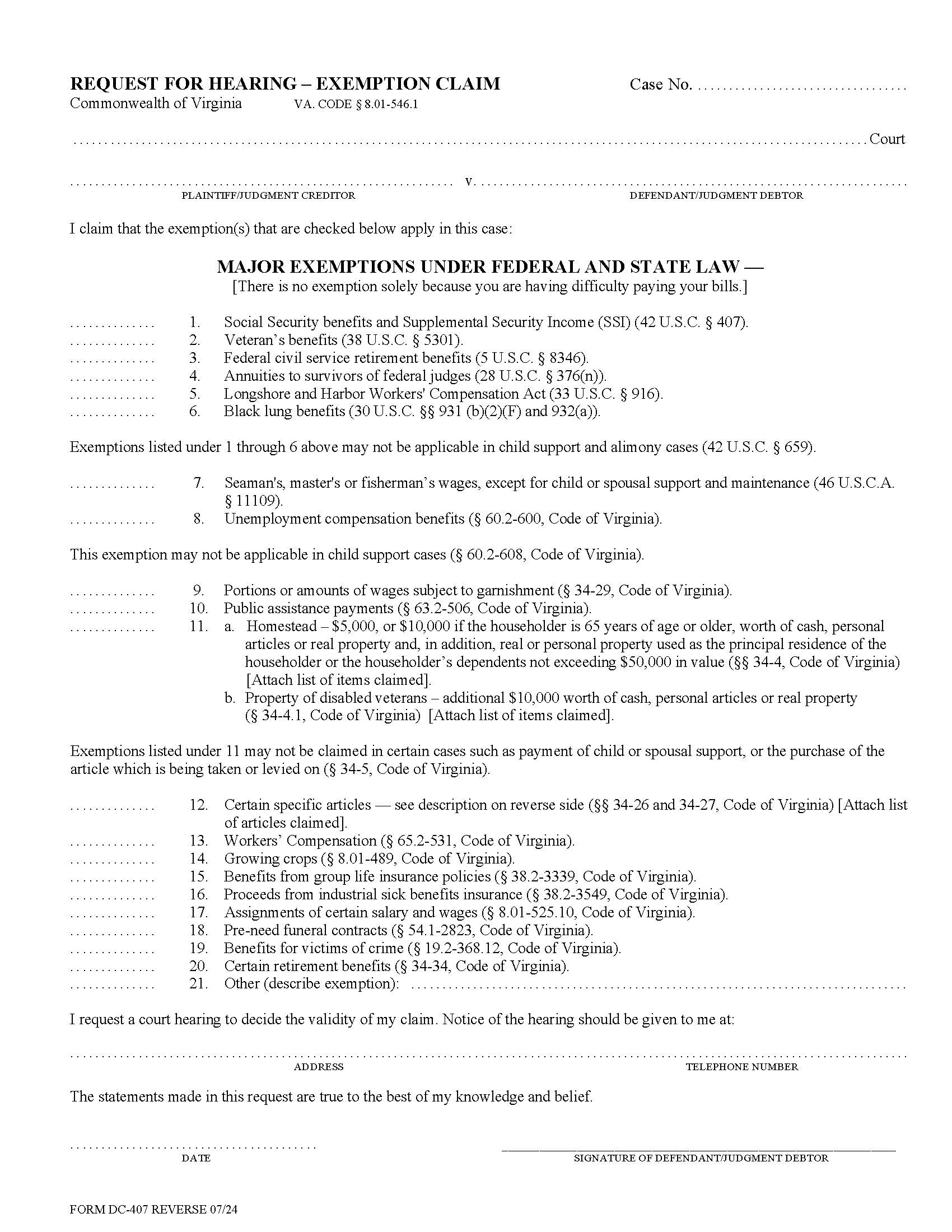
DC-407 - REQUEST FOR HEARING - EXEMPTION CLAIM. This form serves as a notice to a debtor regarding their rights and exemptions when faced with legal action due to a creditor's claim or judgment. The document explains that certain types of property and funds are exempt from being taken by legal process and provides information on the specific exemptions. It also informs the debtor of their right to claim exemptions and seek a hearing if they believe their property is exempt. The debtor is advised on how to fill out the "REQUEST FOR HEARING - EXEMPTION CLAIM" form attached, which lists major exemptions under federal and state law and provides space for the debtor to claim specific exemptions that apply in their case. The form also includes the debtor's contact information and a statement of truthfulness. The debtor can request a court hearing to validate their claim of exemption. The form is part of the legal process to ensure fair treatment of debtors and protect certain assets from being seized. VA. CODE § 8.01-546.1. www.FormsWorkflow.com
Related forms
-
Notice Of Hearing To Establish Final Rent And Damages
Virginia/Statewide/District Court/Civil/ -
Request For Confidentiality-Civil
Virginia/Statewide/District Court/Civil/ -
Suggestion For Summons In Garnishment
Virginia/Statewide/District Court/Civil/ -
Garnishees Answer
Virginia/Statewide/District Court/Civil/ -
Motion To Set Aside Default Judgement
Virginia/Statewide/District Court/Civil/ -
Affidavit For Summons In Interpleader
Virginia/Statewide/District Court/Civil/ -
Affidavit And Petition For Order Of Publication
Virginia/Statewide/District Court/Civil/ -
Certificate Of Mailing Posted Service
Virginia/Statewide/District Court/Civil/ -
Attachment Petition
Virginia/Statewide/District Court/Civil/ -
Civil Appeal Bond
Virginia/Statewide/District Court/Civil/ -
Forthcoming Bond
Virginia/Statewide/District Court/Civil/ -
Medical Emergency Custody Petition
Virginia/Statewide/District Court/Civil/ -
Notice Of Change Of Address
Virginia/Statewide/District Court/Civil/ -
Petition For Judicial Certification Of Eligibility For Admission
Virginia/Statewide/District Court/Civil/ -
Petition And Affidavit For Good Cause For Injuction Of Mandamus
Virginia/Statewide/District Court/Civil/ -
Petition To Require Blood Test
Virginia/Statewide/District Court/Civil/ -
Plaintiffs Bond Lien Of Mechanic For Repairs
Virginia/Statewide/District Court/Civil/ -
Petition For Reinstatement Of Driving Privileges-Failure To Satisfy Judgment
Virginia/Statewide/District Court/Civil/ -
Subpoena Civil - Attorney
Virginia/Statewide/District Court/Civil/ -
Subpoena Duces Tecum Civil Attorney
Virginia/Statewide/District Court/Civil/ -
Warrant In Debt Small Claims Division
Virginia/Statewide/District Court/Civil/ -
Warrant In Detinue Small Claims Division
Virginia/Statewide/District Court/Civil/ -
Warrant In Detinue Civil Claim For Specific Personal Property
Virginia/Statewide/District Court/Civil/ -
Warrant In Debt Interpleader
Virginia/Statewide/District Court/Civil/ -
Detinue Seizure Petition
Virginia/Statewide/District Court/Civil/ -
Show Cause Summons (Civil)
Virginia/Statewide/District Court/Civil/ -
Notice And Order To Cure Deficiencies (Civil Appeal)
Virginia/Statewide/District Court/Civil/ -
Motion And Order For Judgment To Be Marked Satisfied
Virginia/Statewide/District Court/Civil/ -
Affidavit For Service Of Process On The Secretary Of The Commonwealth
Virginia/Statewide/District Court/Civil/ -
Distress Petition
Virginia/Statewide/District Court/Civil/ -
Defendants Bond For Levy Or Seizure
Virginia/Statewide/District Court/Civil/ -
Petition For Restoration Of Driving Privilege Habitual Offender
Virginia/Statewide/District Court/Civil/ -
Petition To Test For Blood Borne Pathogens
Virginia/Statewide/District Court/Civil/ -
Petition And Order For Sale Of Property
Virginia/Statewide/District Court/Civil/ -
Service Other Than By Virginia Sheriff
Virginia/Statewide/District Court/Civil/ -
Warrant In Debt
Virginia/Statewide/District Court/Civil/ -
Medical Emergency Temporary Detention Petition
Virginia/Statewide/District Court/Civil/ -
Request For Writ Of Possession In Unlawful Detainer Proceedings
Virginia/Statewide/District Court/Civil/ -
Request For Hearing Exemption Claim W-Instructions
Virginia/Statewide/District Court/Civil/ -
Request For Hearing Garnishment Exemption Claim W-Instructions
Virginia/Statewide/District Court/Civil/ -
Summons To Answer Interrogatories
Virginia/Statewide/District Court/Civil/ -
Garnishee Information Sheet
Virginia/Statewide/District Court/Civil/ -
Tenants Assertion And Complaint
Virginia/Statewide/District Court/Civil/ -
Garnishment Summons
Virginia/Statewide/District Court/Civil/ -
Motion And Order For Release Of Vehicle
Virginia/Statewide/District Court/Civil/ -
Summons For Unlawful Detainer
Virginia/Statewide/District Court/Civil/ -
Affidavit Default Judgment Servicemembers Civil Relief Act
Virginia/Statewide/District Court/Civil/ -
Notice Of Satisfaction
Virginia/Statewide/District Court/Civil/
Form Preview
Contact Us
Success: Your message was sent.
Thank you!




