California
Federal
USBC Central
Local
F 1010-1 Thru F 9075-1
200 Ratings
Last updated: 12/9/2015
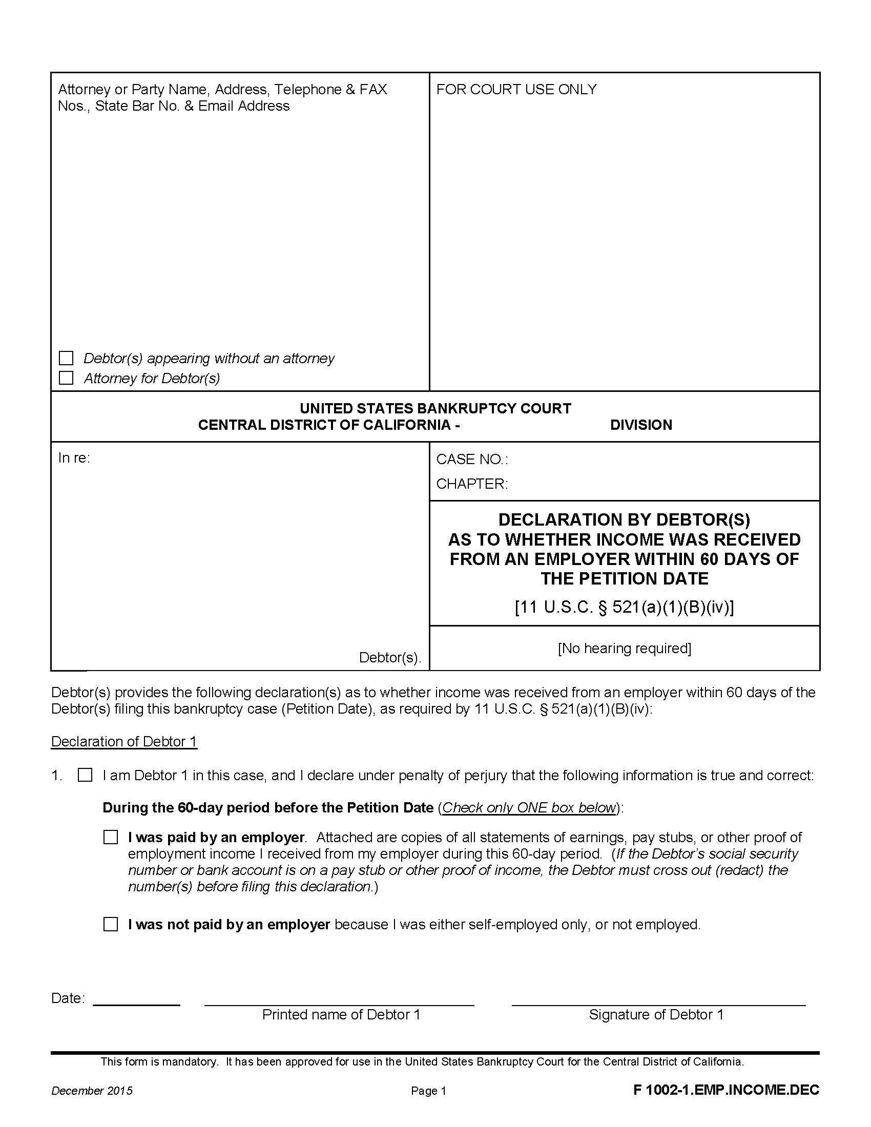
Declaration By Debtor(s) As To Whether Income Was Received {F 1002-1.EMP.INCOME.DEC}
Start Your Free Trial $ 13.99What you get:
- Instant access to fillable Microsoft Word or PDF forms.
- Minimize the risk of using outdated forms and eliminate rejected fillings.
- Largest forms database in the USA with more than 80,000 federal, state and agency forms.
- Download, edit, auto-fill multiple forms at once in MS Word using our Forms Workflow Ribbon
- Trusted by 1,000s of Attorneys and Legal Professionals
Description
F 1002-1.EMP.INCOME.DEC, DECLARATION BY DEBTOR(S) AS TO WHETHER INCOME WAS RECEIVED FROM AN EMPLOYER WITHIN 60 DAYS OF THE PETITION DATE [11 U.S.C. § 521(a)(1)(B)(iv)], Debtor(s) provides the following declaration(s) as to whether income was received from an employer within 60 days of the Debtor(s) filing this bankruptcy case (Petition Date), as required by 11 U.S.C. § 521(a)(1)(B)(iv). www.FormsWorkflow.com
Related forms
-
Debtors Notice Of Conversion Of Bankruptcy Case From Chapter 13 To Chapter 7
California/Federal/USBC Central/Local/F 1010-1 Thru F 9075-1/ -
Default Judgment Re Complaint To Avoid Junior Lien On Principal Residence
California/Federal/USBC Central/Local/F 1010-1 Thru F 9075-1/ -
Debtors Notice Of Conversion Of Bankruptcy Case From Chapter 12 To Chapter 7
California/Federal/USBC Central/Local/F 1010-1 Thru F 9075-1/ -
Declaration Re Debtors Motion To Avoid Junior Lien On Principal Residence
California/Federal/USBC Central/Local/F 1010-1 Thru F 9075-1/ -
Individual Debtors Chapter 11 Plan Of Reorganization
California/Federal/USBC Central/Local/F 1010-1 Thru F 9075-1/ -
Individual Debtors Disclosure Statement In Support Of Plan Of Reorganization
California/Federal/USBC Central/Local/F 1010-1 Thru F 9075-1/ -
Proof Of Service Document
California/Federal/USBC Central/Local/F 1010-1 Thru F 9075-1/ -
Declaration Setting Forth Postpetition Preconfirmation Payments
California/Federal/USBC Central/Local/F 1010-1 Thru F 9075-1/ -
Summons And Notice Of Status Conference In Adversary Proceeding
California/Federal/USBC Central/Local/F 1010-1 Thru F 9075-1/ -
Application For Payment Of Interim Fees And-Or Expenses (11 USC 331)
California/Federal/USBC Central/Local/F 1010-1 Thru F 9075-1/ -
Corporate Ownership Statement Pursuant To FRPB 1007(a)(1)
California/Federal/USBC Central/Local/F 1010-1 Thru F 9075-1/ -
Debtors Motion To Convert Case Under 11 USC 706(a) Or 1112(a)
California/Federal/USBC Central/Local/F 1010-1 Thru F 9075-1/ -
Notice Of Hearing On Application For Payment Of Interim Or Final Fees
California/Federal/USBC Central/Local/F 1010-1 Thru F 9075-1/ -
Notice Of Motion And Motion For Relief From The Automatic Stay (Non-Bankruptcy Forum)
California/Federal/USBC Central/Local/F 1010-1 Thru F 9075-1/ -
Statement Of Related Cases
California/Federal/USBC Central/Local/F 1010-1 Thru F 9075-1/ -
Summons And Notice Of Status Conference In An Involuntary Bankruptcy Case
California/Federal/USBC Central/Local/F 1010-1 Thru F 9075-1/ -
Debtors Motion For Authority To Incur Dept (Personal Property)
California/Federal/USBC Central/Local/F 1010-1 Thru F 9075-1/ -
Debtors Motion For Authority To Refinance Real Property Under LBR 3015-1(p)
California/Federal/USBC Central/Local/F 1010-1 Thru F 9075-1/ -
Debtors Motion For Authority To Sell Real Property Underl LBR 3015-1(p)
California/Federal/USBC Central/Local/F 1010-1 Thru F 9075-1/ -
Debtors Request For Voluntary Dismissal Of Chapter 13 Case
California/Federal/USBC Central/Local/F 1010-1 Thru F 9075-1/ -
Declaration Of Current-Postpetition Income And Expenses
California/Federal/USBC Central/Local/F 1010-1 Thru F 9075-1/ -
Declaration RE Filing Of Tax Returns And Payment Of Domestic Support
California/Federal/USBC Central/Local/F 1010-1 Thru F 9075-1/ -
Request For Issuance Of Notice Of Transfer Of Claim
California/Federal/USBC Central/Local/F 1010-1 Thru F 9075-1/ -
Debtors Application For Order Confirming That Loan Modification Discussion
California/Federal/USBC Central/Local/F 1010-1 Thru F 9075-1/ -
Declaration Of Agent For Standing Trustee
California/Federal/USBC Central/Local/F 1010-1 Thru F 9075-1/ -
Declaration Of RE Default Under Adequate Protection Order
California/Federal/USBC Central/Local/F 1010-1 Thru F 9075-1/ -
Declaration Re Postpetition Payments In Reply To Debtors Opposition
California/Federal/USBC Central/Local/F 1010-1 Thru F 9075-1/ -
Lessors Certification Of (1) Prepetition Eviction Action Seeking Possession
California/Federal/USBC Central/Local/F 1010-1 Thru F 9075-1/ -
Lessors Objection To Debtors Certification And-Or Debtors Further Certification
California/Federal/USBC Central/Local/F 1010-1 Thru F 9075-1/ -
Notice Of Motion And Motion For Relief From The Automatic Stay
California/Federal/USBC Central/Local/F 1010-1 Thru F 9075-1/ -
Notice Of Motion And Motion For Relief From The Automatic Stay
California/Federal/USBC Central/Local/F 1010-1 Thru F 9075-1/ -
Notice Of Motion And Motion For Relief From The Automatic Stay
California/Federal/USBC Central/Local/F 1010-1 Thru F 9075-1/ -
Notice Of Motion And Motion For Relief From The Automatic Stay
California/Federal/USBC Central/Local/F 1010-1 Thru F 9075-1/ -
Notice Of Motion And Motion In Individual Case For Order
California/Federal/USBC Central/Local/F 1010-1 Thru F 9075-1/ -
Notice Of Motion And Motion In Individual Case For Order
California/Federal/USBC Central/Local/F 1010-1 Thru F 9075-1/ -
Notice Of Motion And Motion Under LBR 2016-2 For Approval Of Cash Disbursements
California/Federal/USBC Central/Local/F 1010-1 Thru F 9075-1/ -
Notice Of Motion Under LBR 3015-1(n) and (w) To Modify Plan
California/Federal/USBC Central/Local/F 1010-1 Thru F 9075-1/ -
Notice Of Objection To Claim
California/Federal/USBC Central/Local/F 1010-1 Thru F 9075-1/ -
Notice Of Section 341(a) Meeting And Hearing On Confirmation
California/Federal/USBC Central/Local/F 1010-1 Thru F 9075-1/ -
Notice Of Transfer Of Claim Pursuant To FRBP 3001(e)
California/Federal/USBC Central/Local/F 1010-1 Thru F 9075-1/ -
Notice Of Trustees-Debtors Request For A Copy Of Proof Of Claim
California/Federal/USBC Central/Local/F 1010-1 Thru F 9075-1/ -
Plan Ballot Summary
California/Federal/USBC Central/Local/F 1010-1 Thru F 9075-1/ -
Response To Motion For Order To Terminate Annul Modify
California/Federal/USBC Central/Local/F 1010-1 Thru F 9075-1/ -
Application For Order Setting Hearing On Shortened Notice (LBR 9075-1(b))
California/Federal/USBC Central/Local/F 1010-1 Thru F 9075-1/ -
Debtors Complaint To Avoid Junior Lien On Principal Residence
California/Federal/USBC Central/Local/F 1010-1 Thru F 9075-1/ -
Debtors Motion For Default Judgment RE Complaint To Avoid Junior Lien
California/Federal/USBC Central/Local/F 1010-1 Thru F 9075-1/ -
Debtors Notice Of Motion And Motion To Avoid Junior Lien
California/Federal/USBC Central/Local/F 1010-1 Thru F 9075-1/ -
Declaration To Be Filed With Motion Establishing Administrative Procedures
California/Federal/USBC Central/Local/F 1010-1 Thru F 9075-1/ -
Joint Status Report LBR 7016-1(a)(2)
California/Federal/USBC Central/Local/F 1010-1 Thru F 9075-1/ -
Joint Status Report-Additional Party Attachment
California/Federal/USBC Central/Local/F 1010-1 Thru F 9075-1/ -
Motion For Default Judgment Under LBR 7055-1
California/Federal/USBC Central/Local/F 1010-1 Thru F 9075-1/ -
Notice Of Motion And Motion To Avoid Lien
California/Federal/USBC Central/Local/F 1010-1 Thru F 9075-1/ -
Notice Of Motion And Motion To Avoid Lien
California/Federal/USBC Central/Local/F 1010-1 Thru F 9075-1/ -
Notice Of Motion For
California/Federal/USBC Central/Local/F 1010-1 Thru F 9075-1/ -
Notice Of Non-Opposition
California/Federal/USBC Central/Local/F 1010-1 Thru F 9075-1/ -
Notice Of Opposition And Request For A Hearing
California/Federal/USBC Central/Local/F 1010-1 Thru F 9075-1/ -
Notice Of Sale Of Estate Property
California/Federal/USBC Central/Local/F 1010-1 Thru F 9075-1/ -
Request For Clerk To Enter Default Under LBR 7055-1(a)
California/Federal/USBC Central/Local/F 1010-1 Thru F 9075-1/ -
Request For Disclosure Of Discovery Documents Under LBR 7026-2(d)
California/Federal/USBC Central/Local/F 1010-1 Thru F 9075-1/ -
Statement Of Disinterestedness For Employment Of Professional Person
California/Federal/USBC Central/Local/F 1010-1 Thru F 9075-1/ -
Statement Pursuant To LBR 4001-2 Regarding Cash Collateral Stipulations
California/Federal/USBC Central/Local/F 1010-1 Thru F 9075-1/ -
Summons And Notice Of Hearing On Petition Pursuant To 11 USC
California/Federal/USBC Central/Local/F 1010-1 Thru F 9075-1/ -
Trustees Comments On Or Objection To
California/Federal/USBC Central/Local/F 1010-1 Thru F 9075-1/ -
Trustees Comments On Or Objection To Application For Supplemental Fees
California/Federal/USBC Central/Local/F 1010-1 Thru F 9075-1/ -
Trustees Notice Of Motion And Motion For Order Continuing
California/Federal/USBC Central/Local/F 1010-1 Thru F 9075-1/ -
Notice Of Lodgment Of Order In Bankruptcy Case
California/Federal/USBC Central/Local/F 1010-1 Thru F 9075-1/ -
Notice Of Lodgment Of Order Or Judgment In Adversary Proceeding
California/Federal/USBC Central/Local/F 1010-1 Thru F 9075-1/ -
Notice Of Motion And Motion For Order Determining Value Of Collateral
California/Federal/USBC Central/Local/F 1010-1 Thru F 9075-1/ -
Order Re Notice Of Motion And Motion For Order Determining Value
California/Federal/USBC Central/Local/F 1010-1 Thru F 9075-1/ -
Debtors Motion To Extend Time To File Case Opening Documents
California/Federal/USBC Central/Local/F 1010-1 Thru F 9075-1/ -
Default Judgment (Without Prior Judgment)
California/Federal/USBC Central/Local/F 1010-1 Thru F 9075-1/ -
Order Approving Reaffirmation Agreement
California/Federal/USBC Central/Local/F 1010-1 Thru F 9075-1/ -
Order Disapproving Reaffirmation Agreement
California/Federal/USBC Central/Local/F 1010-1 Thru F 9075-1/ -
Order Granting Application And Setting Hearing On Shortened Notice-Denying Application
California/Federal/USBC Central/Local/F 1010-1 Thru F 9075-1/ -
Order Granting Motion For (1) Relief From The Automatic Stay
California/Federal/USBC Central/Local/F 1010-1 Thru F 9075-1/ -
Order Granting Motion For Order Imposing A Stay Or Continuing
California/Federal/USBC Central/Local/F 1010-1 Thru F 9075-1/ -
Order Granting Debtors Application For Order Confirming That Loan Modification
California/Federal/USBC Central/Local/F 1010-1 Thru F 9075-1/ -
Order Granting Trustees Motion For Order Continuing The Automatic Stay
California/Federal/USBC Central/Local/F 1010-1 Thru F 9075-1/ -
Order Granting-Denying Motion To Avoid Judicial Lien
California/Federal/USBC Central/Local/F 1010-1 Thru F 9075-1/ -
Order On
California/Federal/USBC Central/Local/F 1010-1 Thru F 9075-1/ -
Order On Application For Payment Of Interim Fees And-Or Expenses
California/Federal/USBC Central/Local/F 1010-1 Thru F 9075-1/ -
Order On Application For Supplemental Fees
California/Federal/USBC Central/Local/F 1010-1 Thru F 9075-1/ -
Order On Application Of Non-Resident Attorney To Appear In A Specific Case
California/Federal/USBC Central/Local/F 1010-1 Thru F 9075-1/ -
Order On Debtors Motion To Covert Case
California/Federal/USBC Central/Local/F 1010-1 Thru F 9075-1/ -
Order On Motion To Avoid Junior Lien On Principal Residence
California/Federal/USBC Central/Local/F 1010-1 Thru F 9075-1/ -
Order On Motion To Avoid Lien
California/Federal/USBC Central/Local/F 1010-1 Thru F 9075-1/ -
Order On Objections To Claim
California/Federal/USBC Central/Local/F 1010-1 Thru F 9075-1/ -
Order RE Motion In Individual Case For Order Confirming Termination Of Stay
California/Federal/USBC Central/Local/F 1010-1 Thru F 9075-1/ -
Order RE Motion To Avoid Junior Lien On Principal Residence
California/Federal/USBC Central/Local/F 1010-1 Thru F 9075-1/ -
Status Conference And Scheduling Order
California/Federal/USBC Central/Local/F 1010-1 Thru F 9075-1/ -
Default Judgment (Based On Prior Judgment)
California/Federal/USBC Central/Local/F 1010-1 Thru F 9075-1/ -
Order Granting Motion For Relief From The Automatic Stay (Non-Bankruptcy Forum)
California/Federal/USBC Central/Local/F 1010-1 Thru F 9075-1/ -
Order Denying Motion For Relief From The Automatic Stay
California/Federal/USBC Central/Local/F 1010-1 Thru F 9075-1/ -
Order Granting Motion For Relief From Automatic Stay (Real Property)
California/Federal/USBC Central/Local/F 1010-1 Thru F 9075-1/ -
Order Granting Motion For Relief From Stay
California/Federal/USBC Central/Local/F 1010-1 Thru F 9075-1/ -
Notice Of Voluntary Dismissal Of A Contested Matter
California/Federal/USBC Central/Local/F 1010-1 Thru F 9075-1/ -
Notice Of Voluntary Dismissal Of An Adversary Proceeding
California/Federal/USBC Central/Local/F 1010-1 Thru F 9075-1/ -
Order Granting Motion For Relief From The Automatic Stay (Personal Property)
California/Federal/USBC Central/Local/F 1010-1 Thru F 9075-1/ -
Chapter 11 Disclosure Statement
California/Federal/USBC Central/Local/F 1010-1 Thru F 9075-1/ -
Chapter 11 Plan
California/Federal/USBC Central/Local/F 1010-1 Thru F 9075-1/ -
Motion For Protective Order-To Restrict Access To Filed Documents
California/Federal/USBC Central/Local/F 1010-1 Thru F 9075-1/ -
Order For Protective Order-To Restrict Access To Filed Documents
California/Federal/USBC Central/Local/F 1010-1 Thru F 9075-1/ -
Chapter 7 Trustees Motion To Dismiss Bankruptcy Case And Declaration
California/Federal/USBC Central/Local/F 1010-1 Thru F 9075-1/ -
Debtors Request To Activate Electronic Noticing (DeBN)
California/Federal/USBC Central/Local/F 1010-1 Thru F 9075-1/ -
Debtors Request To Deactivate Electronic Noticing (DeBN)
California/Federal/USBC Central/Local/F 1010-1 Thru F 9075-1/ -
Debtors Request To Update Electronic Noticing (DeBN)
California/Federal/USBC Central/Local/F 1010-1 Thru F 9075-1/ -
Declaration Of Debtor Re Postpetition Income And Expenses
California/Federal/USBC Central/Local/F 1010-1 Thru F 9075-1/ -
Notice Of Joint Adminstration Of Cases And Requirements For Filing
California/Federal/USBC Central/Local/F 1010-1 Thru F 9075-1/ -
Notice Of Status Conference Re Removal Of Action
California/Federal/USBC Central/Local/F 1010-1 Thru F 9075-1/ -
Order On Motion To Approve Joint Administration Of Cases
California/Federal/USBC Central/Local/F 1010-1 Thru F 9075-1/ -
Substitution Of Attorney
California/Federal/USBC Central/Local/F 1010-1 Thru F 9075-1/ -
Amended Statement Of Social Security Number(s)
California/Federal/USBC Central/Local/F 1010-1 Thru F 9075-1/ -
Notice Of Intent To Request Redaction Of Transcript
California/Federal/USBC Central/Local/F 1010-1 Thru F 9075-1/ -
Notice Of Motion And Motion In Individual Chapter 11 Case
California/Federal/USBC Central/Local/F 1010-1 Thru F 9075-1/ -
Notice Of Motion And Motion In Individual Chapter 11 Case
California/Federal/USBC Central/Local/F 1010-1 Thru F 9075-1/ -
Notice Of Motion And Motion In Individual Chapter 11 Case
California/Federal/USBC Central/Local/F 1010-1 Thru F 9075-1/ -
Notice Of Motion And Motion In Individual Chapter 11 Case
California/Federal/USBC Central/Local/F 1010-1 Thru F 9075-1/ -
Notice Of Motion And Motion In Individual Chapter 11 Case
California/Federal/USBC Central/Local/F 1010-1 Thru F 9075-1/ -
Order Re Motion In Individual Chapter 11 Case To Authorize
California/Federal/USBC Central/Local/F 1010-1 Thru F 9075-1/ -
Order Re Motion To (1) Authorize Payment Of Prepetition Payroll
California/Federal/USBC Central/Local/F 1010-1 Thru F 9075-1/ -
Order Re Notice Of Motion And Motion In Individual Chapter 11
California/Federal/USBC Central/Local/F 1010-1 Thru F 9075-1/ -
Order Re Notice Of Motion And Motion In Individual Chapter 11 Case
California/Federal/USBC Central/Local/F 1010-1 Thru F 9075-1/ -
Order Re Notice Of Motion And Motion In Individual Chapter 11 Case
California/Federal/USBC Central/Local/F 1010-1 Thru F 9075-1/ -
Notice Of Motion And Motion In Chapter 11 Case
California/Federal/USBC Central/Local/F 1010-1 Thru F 9075-1/ -
Notice Of Motion And Motion In Individual Chapter 11 Case
California/Federal/USBC Central/Local/F 1010-1 Thru F 9075-1/ -
Transcript Redaction Request
California/Federal/USBC Central/Local/F 1010-1 Thru F 9075-1/ -
Order Granting-Denying Motion In Chapter 11 Case
California/Federal/USBC Central/Local/F 1010-1 Thru F 9075-1/ -
Order Re Motion In Individual Chapter 11 Case To Authorize
California/Federal/USBC Central/Local/F 1010-1 Thru F 9075-1/ -
Summary Of Amended Schedule Master Mailing List And-Or Statements
California/Federal/USBC Central/Local/F 1010-1 Thru F 9075-1/ -
Order On Trustees Motion For Approval Of Cash Disbursement
California/Federal/USBC Central/Local/F 1010-1 Thru F 9075-1/ -
Attorneys Disclosure Of Postpetition Compensation Arrangement With Debtor
California/Federal/USBC Central/Local/F 1010-1 Thru F 9075-1/ -
Notice Of Motion And Motion For Order Setting Bar Date
California/Federal/USBC Central/Local/F 1010-1 Thru F 9075-1/ -
Debtors Attorneys Disclosure Of Compensation Arrangement In Individual Chapter 7 Case
California/Federal/USBC Central/Local/F 1010-1 Thru F 9075-1/ -
Declaration By Debtor(s) As To Whether Income Was Received
California/Federal/USBC Central/Local/F 1010-1 Thru F 9075-1/ -
Declaration Of Contribution To Chapter 13 Plan
California/Federal/USBC Central/Local/F 1010-1 Thru F 9075-1/ -
Notice Of Opportunity To Request A Hearing On Motion
California/Federal/USBC Central/Local/F 1010-1 Thru F 9075-1/ -
Notice Of Trustees Intent To Pay Administrative Expenses Totaling 5000
California/Federal/USBC Central/Local/F 1010-1 Thru F 9075-1/ -
Order Setting Bar Date For Filing Proofs Of Claim
California/Federal/USBC Central/Local/F 1010-1 Thru F 9075-1/ -
Request That The Clerk Issue Another Summons And Notice
California/Federal/USBC Central/Local/F 1010-1 Thru F 9075-1/ -
Statement Regarding Cash Collateral Or Debtor In Possession Financing
California/Federal/USBC Central/Local/F 1010-1 Thru F 9075-1/ -
Notice Of Bar Date For Filing Proof Of Claims
California/Federal/USBC Central/Local/F 1010-1 Thru F 9075-1/ -
Debtors Objection To Lessors Certification And Notice Of Hearing
California/Federal/USBC Central/Local/F 1010-1 Thru F 9075-1/ -
Declaration That No Party Requested A Hearing On Motion
California/Federal/USBC Central/Local/F 1010-1 Thru F 9075-1/ -
Notice Of Motion For Order Without Hearing (LBR 9013-1(p) or (q))
California/Federal/USBC Central/Local/F 1010-1 Thru F 9075-1/ -
Notice Of Transcript(s) Designated For An Appeal
California/Federal/USBC Central/Local/F 1010-1 Thru F 9075-1/ -
Application For Waiver Of The Appellate Filing Fee In A Chapter 7 Case
California/Federal/USBC Central/Local/F 1010-1 Thru F 9075-1/ -
Debtors Certificate Of Compliance Under 11 USC 1328(a) And Application
California/Federal/USBC Central/Local/F 1010-1 Thru F 9075-1/ -
Chapter 11 Status Conference Report (Initial)
California/Federal/USBC Central/Local/F 1010-1 Thru F 9075-1/ -
Order On Motion (A) To Deposit Funds Into The Courts Registry
California/Federal/USBC Central/Local/F 1010-1 Thru F 9075-1/ -
Order On Final Fee Applications Allowing Payment
California/Federal/USBC Central/Local/F 1010-1 Thru F 9075-1/ -
Exhibit Tag (Plaintiff)
California/Federal/USBC Central/Local/F 1010-1 Thru F 9075-1/ -
Exhibit Tag (Defendant)
California/Federal/USBC Central/Local/F 1010-1 Thru F 9075-1/ -
Attachment C To Chapter 13 Plan Avoidance Of Real Property Judicial Liens
California/Federal/USBC Central/Local/F 1010-1 Thru F 9075-1/ -
Attachment D To Chapter 13 Plan Avoidance Of Non-Possessory Nonpurchase Money
California/Federal/USBC Central/Local/F 1010-1 Thru F 9075-1/ -
Chapter 13 Trustees Notice Of Motion And Motion For Entry Of Order
California/Federal/USBC Central/Local/F 1010-1 Thru F 9075-1/ -
Chapter 13 Trustees Order Deeming Claim Satisfied
California/Federal/USBC Central/Local/F 1010-1 Thru F 9075-1/ -
Order Denying Claim Objection For Failure To Prosecute
California/Federal/USBC Central/Local/F 1010-1 Thru F 9075-1/ -
Attachment B To Chapter 13 Plan Valuation Lien Avoidance
California/Federal/USBC Central/Local/F 1010-1 Thru F 9075-1/ -
Verification Of Master Mailing List Of Creditors
California/Federal/USBC Central/Local/F 1010-1 Thru F 9075-1/ -
Order On Trustees Motion Under LBR 2016-2 For Authorization To Employ Paraprofessionals
California/Federal/USBC Central/Local/F 1010-1 Thru F 9075-1/ -
Trustees Notice Of Motion And Motion Under LBR 2016-2
California/Federal/USBC Central/Local/F 1010-1 Thru F 9075-1/ -
Motion Under LBR 3015-1(n) And (w) To Modify Plan Or Suspend Plan Payments
California/Federal/USBC Central/Local/F 1010-1 Thru F 9075-1/ -
Order Confirming Chapter 13 Plan
California/Federal/USBC Central/Local/F 1010-1 Thru F 9075-1/ -
Chapter 13 Plan
California/Federal/USBC Central/Local/F 1010-1 Thru F 9075-1/ -
Subchapter V Trustees Estimated Fees And Expenses For Purposes Of Plan Confirmation
California/4 Federal/USBC Central/Local/F 1010-1 Thru F 9075-1/ -
Subchapter V Status Report
California/4 Federal/USBC Central/Local/F 1010-1 Thru F 9075-1/ -
Notice Of Motion And Motion For Order Establishing Adequate Protection
California/4 Federal/USBC Central/Local/F 1010-1 Thru F 9075-1/ -
Order Granting Motion For Order Establishing Adequate Protection
California/4 Federal/USBC Central/Local/F 1010-1 Thru F 9075-1/ -
Change Of Mailing Address
California/Federal/USBC Central/Local/F 1010-1 Thru F 9075-1/ -
Application Of Attorney For Debtor For Additional Fees And Related Expenses
California/4 Federal/USBC Central/Local/F 1010-1 Thru F 9075-1/ -
Application Of Attorney For Debtor For Allowance Of Fees
California/Federal/USBC Central/Local/F 1010-1 Thru F 9075-1/ -
Rights And Responsibilities Agreement Between Chapter 13 Debtors And Their Attorneys
California/Federal/USBC Central/Local/F 1010-1 Thru F 9075-1/ -
Application Of Non-Resident Attorney To Appear In A Specific Case (LBR 2090-1)
California/Federal/USBC Central/Local/F 1010-1 Thru F 9075-1/ -
Declaration Verifying Software Generated Signature(s)
California/Federal/USBC Central/Local/F Thru F / -
Order And Notice Setting Hearing On Chapter 15 Petition For Recognition
California/Federal/USBC Central/Local/F Thru F / -
Debtors Motion To Reopen Case And For Extension Of Time
California/Federal/USBC Central/Local/F 1010-1 Thru F 9075-1/ -
Order On Debtors Motion To Reopen Case And For Extension
California/Federal/USBC Central/Local/F 1010-1 Thru F 9075-1/
Form Preview
Sorry, we couldn't download the pdf file.
Our Products
Contact Us
Success: Your message was sent.
Thank you!




