Last updated: 11/7/2025
Prisoners Petition For Waiver Of Prepayment Of Fees-Costs - Affidavit Of Indigency {CV-438}
Start Your Free Trial $ 13.99What you get:
- Instant access to fillable Microsoft Word or PDF forms.
- Minimize the risk of using outdated forms and eliminate rejected fillings.
- Largest forms database in the USA with more than 80,000 federal, state and agency forms.
- Download, edit, auto-fill multiple forms at once in MS Word using our Forms Workflow Ribbon
- Trusted by 1,000s of Attorneys and Legal Professionals
Description
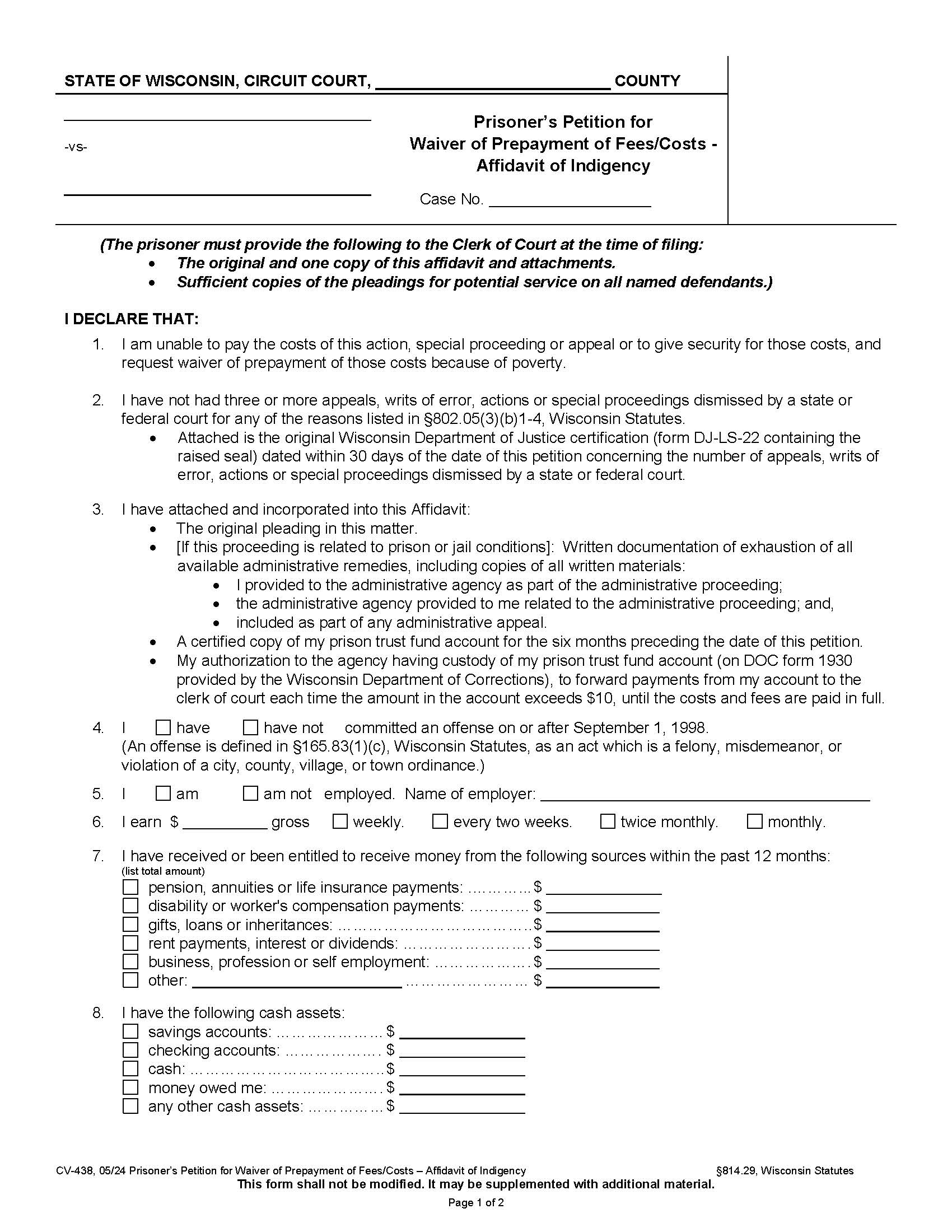
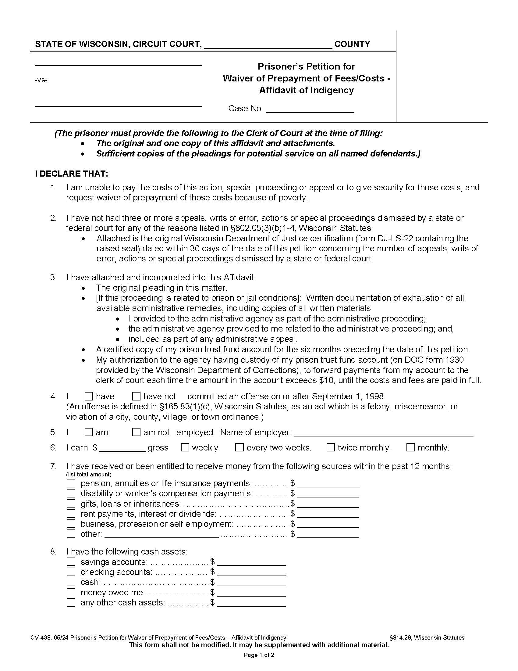
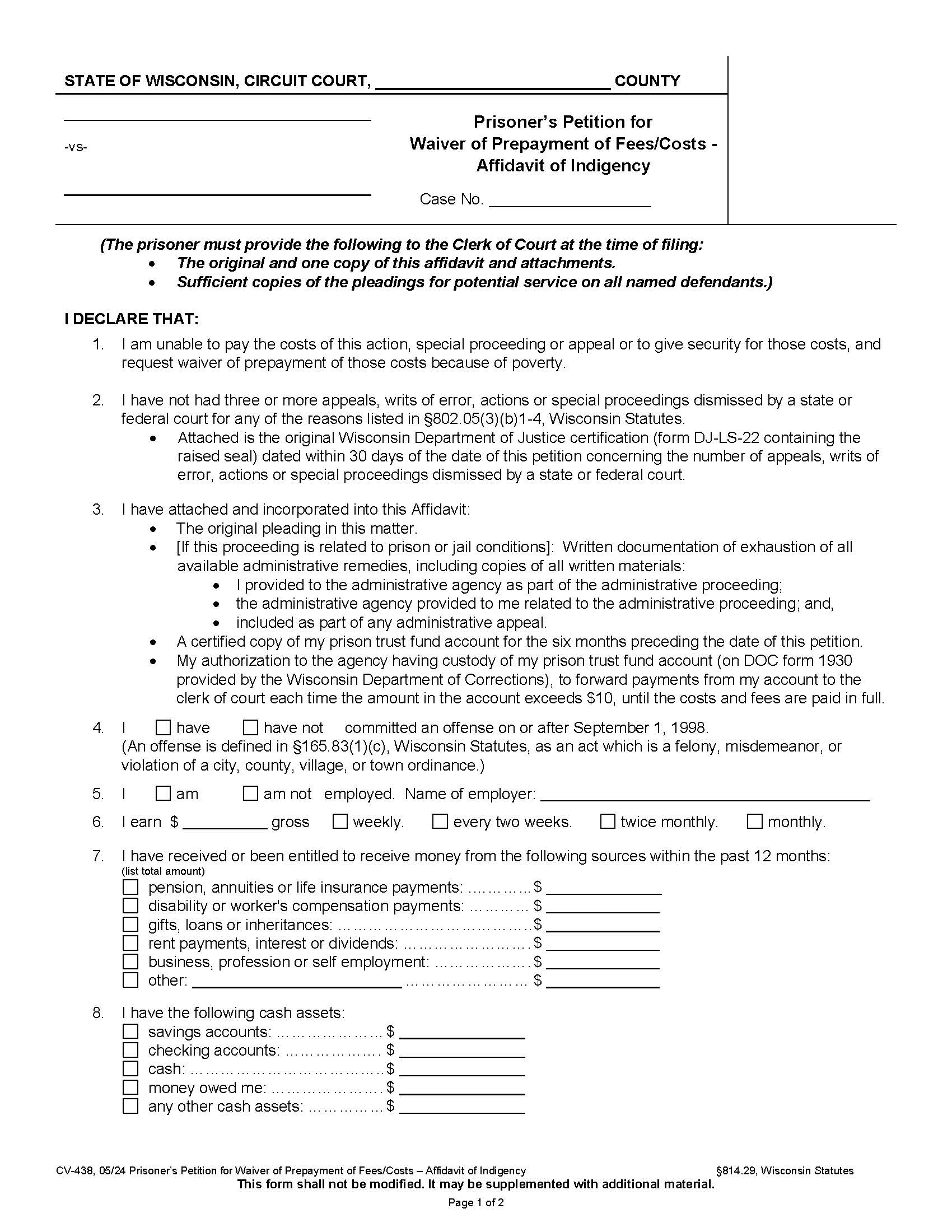
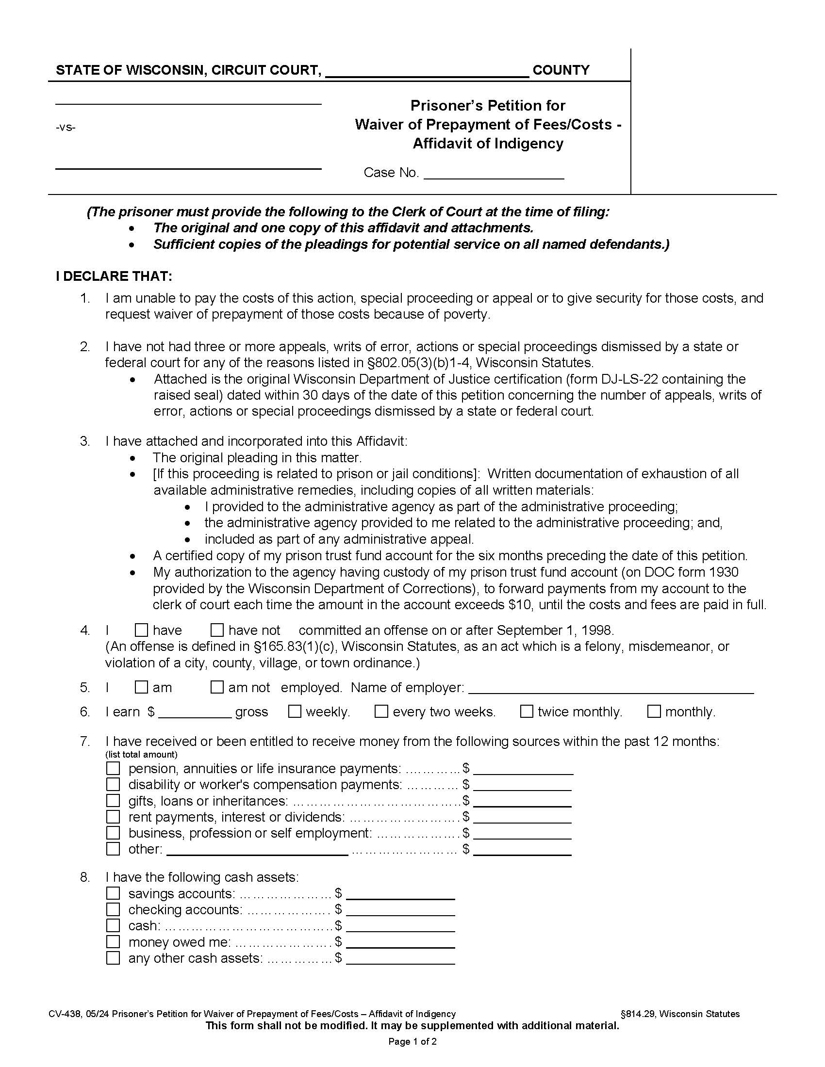
CV-438 - PRISONER’S PETITION FOR WAIVER OF PREPAYMENT OF FEES/COSTS - AFFIDAVIT OF INDIGENCY. This form is used in the Wisconsin Circuit Court by incarcerated individuals seeking relief from paying court filing fees and costs due to financial hardship. The petitioner must declare an inability to pay, disclose financial details such as income, assets, and obligations, and include documentation such as a certified six-month trust account statement and a Wisconsin DOJ certification (Form DJ-LS-22) regarding prior dismissed filings. The form also requires authorization for automatic payments from the prisoner’s account when funds exceed $10. §814.29, Wisconsin Statutes. www.FormsWorkflow.com
Related forms
-
Garnishment Exemption Worksheet
Wisconsin/Statewide/Circuit Court/Civil/ -
Notice To Department Of Corrections Of Actual Filing Fees And Costs
Wisconsin/Statewide/Circuit Court/Civil/ -
Order To Modify Mandatory Release Date Extended Supervision Good Time
Wisconsin/Statewide/Circuit Court/Civil/ -
Order To Sheriff For Firearms Record Check Response To Sheriff
Wisconsin/Statewide/Circuit Court/Civil/ -
Publication Notice (Domestic Abuse Injunction Hearing)
Wisconsin/Statewide/Circuit Court/Civil/ -
Order Denying Change Of Name
Wisconsin/Statewide/Circuit Court/Civil/ -
Order Denying Confidential Name Change
Wisconsin/Statewide/Circuit Court/Civil/ -
Non-Earnings Garnishment Objection To Answer(s) And Demand For Hearing
Wisconsin/Statewide/Circuit Court/Civil/ -
Wireless Telephone Service Transfer In Injunction Case
Wisconsin/Statewide/Circuit Court/Civil/ -
Order For Collection Of A Biological Specimen For DNA Analysis
Wisconsin/Statewide/Circuit Court/Civil/ -
Bench Warrant - Capias Failure To Provide Biological Specimen
Wisconsin/Statewide/Circuit Court/Civil/ -
Notice and Order For Injunction Hearing-TRO Not Issued (Individual at Risk)
Wisconsin/Statewide/Circuit Court/Civil/ -
Notice And Order For Injunction Hearing-TRO Not Issued-Harassment
Wisconsin/Statewide/Circuit Court/Civil/ -
Notice Of Firearm Surrender Hearing
Wisconsin/Statewide/Circuit Court/Civil/ -
Notice-Order For Injunction Hearing TRO Not Issued (Child Abuse)
Wisconsin/Statewide/Circuit Court/Civil/ -
Notice-Order For Injunction Hearing When TRO Not Issued (Domestic Abuse)
Wisconsin/Statewide/Circuit Court/Civil/ -
Order Extending Injunction - Civil Or Juvenile Child Abuse
Wisconsin/Statewide/Circuit Court/Civil/ -
Order Extending Injunction - Civil Or Juvenile Harassment
Wisconsin/Statewide/Circuit Court/Civil/ -
Order Extending Injunction - Domestic Abuse
Wisconsin/Statewide/Circuit Court/Civil/ -
Order Extending Injunction - Individual At Risk
Wisconsin/Statewide/Circuit Court/Civil/ -
Order To Produce A DNA Specimen
Wisconsin/Statewide/Circuit Court/Civil/ -
Publication Notice (Harrasment Injunction Hearing)
Wisconsin/Statewide/Circuit Court/Civil/ -
Confidential Address Information Domestic Abuse-Harassment-TRO And Injunction Actions
Wisconsin/Statewide/Circuit Court/Civil/ -
Earnings Garnishment Objection To Debtors Answer And Demand For Hearing
Wisconsin/Statewide/Circuit Court/Civil/ -
Motion For De Novo Hearing TRO Injunction
Wisconsin/Statewide/Circuit Court/Civil/ -
Non-Earnings Garnishment Debtors Answer
Wisconsin/Statewide/Circuit Court/Civil/ -
Respondent Statement Of Possession Of Firearms
Wisconsin/1 Statewide/Circuit Court/Civil/ -
Application For Order Of Satisfaction Of Judgment(s) Due To Discharge In Bankruptcy
Wisconsin/Statewide/Circuit Court/Civil/ -
Petitioner Statement Of Respondent Possession Of Firearms
Wisconsin/1 Statewide/Circuit Court/Civil/ -
Order For Name Change
Wisconsin/Statewide/Circuit Court/Civil/ -
Order To Surrender Firearms And Notice Of Firearm Surrender Hearing
Wisconsin/Statewide/Circuit Court/Civil/ -
Earnings Garnishment Exemption Notice
Wisconsin/Statewide/Circuit Court/Civil/ -
Dismissal Order
Wisconsin/Statewide/Circuit Court/Civil/ -
Earnings Garnishment - Debtors Answer
Wisconsin/Statewide/Circuit Court/Civil/ -
Earnings Garnishment
Wisconsin/Statewide/Circuit Court/Civil/ -
Injunction-Individual At Risk (Order Of Protection)
Wisconsin/Statewide/Circuit Court/Civil/ -
Non-Earnings Garnishment Garnishee Answer
Wisconsin/Statewide/Circuit Court/Civil/ -
Order For Confidential Name Change
Wisconsin/Statewide/Circuit Court/Civil/ -
Petition For Confidential Name Change
Wisconsin/Statewide/Circuit Court/Civil/ -
Petition Change Of Name (Adult or Minor 14 or Older)
Wisconsin/Statewide/Circuit Court/Civil/ -
Petition For Confidential Name Change - Minor
Wisconsin/1 Statewide/Circuit Court/Civil/ -
Dismissal Order Prisoner Litigation
Wisconsin/Statewide/Circuit Court/Civil/ -
Injunction-Child Abuse (Order Of Protection)
Wisconsin/Statewide/Circuit Court/Civil/ -
Injunction-Domestic Abuse (Order Of Protection)
Wisconsin/Statewide/Circuit Court/Civil/ -
Injunction-Harassment (Order Of Protection)
Wisconsin/Statewide/Circuit Court/Civil/ -
Notice Of Firearms Possession Penalties
Wisconsin/Statewide/Circuit Court/Civil/ -
Order Concerning Return Of Firearms
Wisconsin/Statewide/Circuit Court/Civil/ -
Order On Petition For Waiver Of Fees And Costs
Wisconsin/Statewide/Circuit Court/Civil/ -
Temporary Restraining Order And Notice Of Injunction Hearing (Domestic Abuse-30709)
Wisconsin/Statewide/Circuit Court/Civil/ -
Earnings Garnishment Notice
Wisconsin/Statewide/Circuit Court/Civil/ -
Summons And Complaint Non-Earnings Garnishment
Wisconsin/Statewide/Circuit Court/Civil/ -
Order Of Satisfaction Due To Bankruptcy
Wisconsin/Statewide/Circuit Court/Civil/ -
Petition For Gender Change
Wisconsin/Statewide/Circuit Court/Civil/ -
Order On Petition For Gender Change
Wisconsin/Statewide/Circuit Court/Civil/ -
Petition To Return Firearms
Wisconsin/Statewide/Circuit Court/Civil/ -
Response Non-Petitioning Parent To Name Change Of Minor Child Under 14
Wisconsin/Statewide/Circuit Court/Civil/ -
Petition For Temporary Restraining Order And-Or Injunction (Individual At Risk)
Wisconsin/Statewide/Circuit Court/Civil/ -
Temporary Restraining Order And Notice of Injunction Hearing (Individual At Risk-30713)
Wisconsin/Statewide/Circuit Court/Civil/ -
Temporary Restraining Order And Notice Of Injunction Hearing (Harassment-30711)
Wisconsin/Statewide/Circuit Court/Civil/ -
Temporary Restraining Order And Notice Of Injunction Hearing (Child Abuse-30710)
Wisconsin/Statewide/Circuit Court/Civil/ -
Publication Affidavit Of Mailing Or Facsimile For Domestic-Harassment
Wisconsin/Statewide/Circuit Court/Civil/ -
Prisoners Petition For Waiver Of Prepayment Of Fees-Costs Based On Imminent Danger - Affidavit Of Indigency
Wisconsin/Statewide/Circuit Court/Civil/ -
Prisoners Petition For Waiver Of Prepayment Of Fees-Costs - Affidavit Of Indigency
Wisconsin/Statewide/Circuit Court/Civil/ -
Petition For Waiver Of Fees And Costs Affidavit Of Indigency
Wisconsin/Statewide/Circuit Court/Civil/ -
Petition For Temporary Restraining Order And-Or Injunction (Domestic Abuse)
Wisconsin/Statewide/Circuit Court/Civil/ -
Petition For Temporary Restraining Order And-Or Injunction (Child Abuse)
Wisconsin/Statewide/Circuit Court/Civil/ -
Petition For Name Change (Under 14)
Wisconsin/Statewide/Circuit Court/Civil/ -
Order On Prisoners Petition For Waiver Of Prepayment Of Fees-Costs Based On Imminent Danger
Wisconsin/Statewide/Circuit Court/Civil/ -
Order On Prisoners Petition For Waiver Of Prepayment Of Fees-Costs
Wisconsin/Statewide/Circuit Court/Civil/ -
Order Extending Time For Hearing
Wisconsin/Statewide/Circuit Court/Civil/ -
Order Dismissing-Denying Petition for TRO
Wisconsin/Statewide/Circuit Court/Civil/ -
Notice And Order For Name Change Hearing
Wisconsin/Statewide/Circuit Court/Civil/ -
Notice And Order For Confidential Name Change Hearing
Wisconsin/Statewide/Circuit Court/Civil/ -
Eligible Thrid Party Bidder Affidavit
Wisconsin/Statewide/Circuit Court/Civil/ -
Affidavit Of Mailing - Bankruptcy
Wisconsin/Statewide/Circuit Court/Civil/ -
Affidavit Of Attempted Service On Non-Petitioning Parent
Wisconsin/Statewide/Circuit Court/Civil/ -
Petition For Temporary Restraining Order And Injunction
Wisconsin/Statewide/Circuit Court/Civil/
Form Preview
Contact Us
Success: Your message was sent.
Thank you!




