Last updated: 11/25/2019
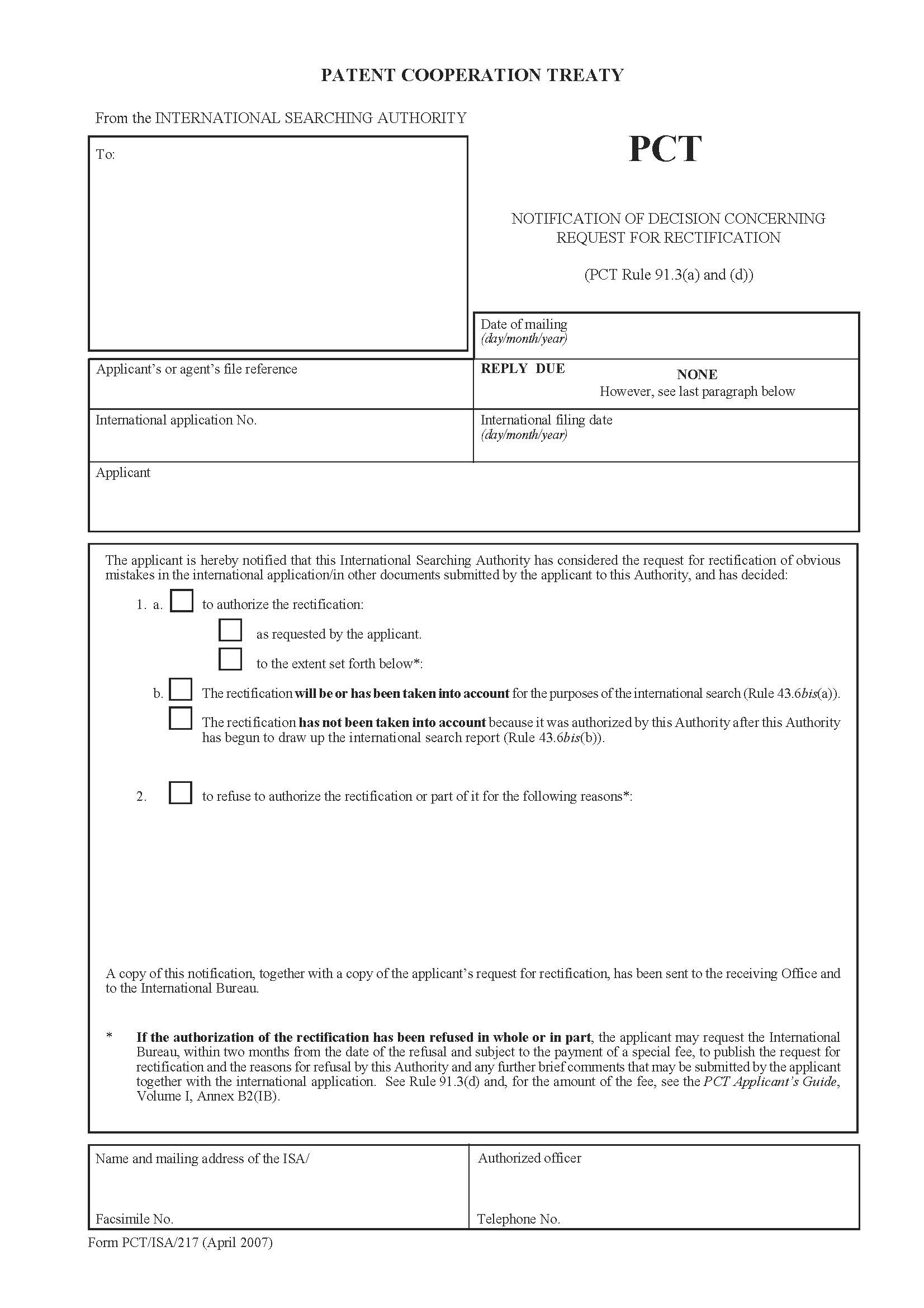
Notification Of Decision Concerning Request For Rectification {PCT-ISA-217}
Start Your Free Trial $ 26.00What you get:
- Instant access to fillable Microsoft Word or PDF forms.
- Minimize the risk of using outdated forms and eliminate rejected fillings.
- Largest forms database in the USA with more than 80,000 federal, state and agency forms.
- Download, edit, auto-fill multiple forms at once in MS Word using our Forms Workflow Ribbon
- Trusted by 1,000s of Attorneys and Legal Professionals
Description
PCT/ISA/217, NOTIFICATION OF DECISION CONCERNING REQUEST FOR RECTIFICATION (PCT Rule 91.3(a) and (d)). This form is a notification issued by the International Searching Authority (ISA) to inform the applicant of its decision on a request for rectification of obvious mistakes or errors made in the international search report (ISR) under PCT Rule 91.3(a) and (d). PCT Rule 91 provides a mechanism for the correction of obvious mistakes or errors in the ISR. Rule 91.3 sets out the procedure for making a request for rectification, including the time period for making the request and the requirements for the content of the request. PCT/ISA/217 may be issued if the ISA has received a request for rectification from the applicant and has made a decision on whether to grant the request. The notification will specify the request for rectification, the reasons for the request, and the decision of the ISA, which may be to grant or deny the request. www.FormsWorkflow.com
Related forms
-
Communication In Cases For Which No Other Form Is Applicable
Official Federal Forms/US Patent Office/PCT/International Searching Authority/ -
Invitation Relating To Free Text In Main Part Of Description
Official Federal Forms/US Patent Office/PCT/International Searching Authority/ -
Informational Clarification Note-Invitation
Official Federal Forms/US Patent Office/PCT/International Searching Authority/ -
Invitation To Furnish Documents In Connection With Earlier Search
Official Federal Forms/US Patent Office/PCT/International Searching Authority/ -
Invitation To Pay For Requested Copies Of Cited Documents
Official Federal Forms/US Patent Office/PCT/International Searching Authority/ -
Invitation To Pay Additional Fees
Official Federal Forms/US Patent Office/PCT/International Searching Authority/ -
Invitation To Indicate Competent International Preliminary Examining Authority
Official Federal Forms/US Patent Office/PCT/International Searching Authority/ -
Invitation To Request Rectification
Official Federal Forms/US Patent Office/PCT/International Searching Authority/ -
Notification Of Change In Abstract As Previously Established By International Searching
Official Federal Forms/US Patent Office/PCT/International Searching Authority/ -
Notification Concerning Expressions Ect Not To Be Used In The International Application
Official Federal Forms/US Patent Office/PCT/International Searching Authority/ -
Notification Of Decision On Protest
Official Federal Forms/US Patent Office/PCT/International Searching Authority/ -
Notification Concerning Documents Transmitted
Official Federal Forms/US Patent Office/PCT/International Searching Authority/ -
Notification Of Decision Concerning Request For Rectification
Official Federal Forms/US Patent Office/PCT/International Searching Authority/ -
Notification Of Refund Of Search Fee
Official Federal Forms/US Patent Office/PCT/International Searching Authority/ -
Notification Of Defects With Regard To Correspondence Submitted By The Applicant
Official Federal Forms/US Patent Office/PCT/International Searching Authority/ -
Notification Of Transmittal Of Demand To The International Bureau Or To The Competent
Official Federal Forms/US Patent Office/PCT/International Searching Authority/ -
Notification Regarding Attempted Tranmission Of Documents Via Telegraph Teleprinter
Official Federal Forms/US Patent Office/PCT/International Searching Authority/ -
Notification Of Transmittal Of Requested Copies Of Cited Documents
Official Federal Forms/US Patent Office/PCT/International Searching Authority/ -
Notification Of Facts Which Should Have Precluded The According Of An International Filing Date
Official Federal Forms/US Patent Office/PCT/International Searching Authority/ -
Request For Information As To Right To Practice
Official Federal Forms/US Patent Office/PCT/International Searching Authority/ -
Notification That Demand Considered Not To Have Been Submitted
Official Federal Forms/US Patent Office/PCT/International Searching Authority/ -
Invitation To Request Omission Of Information From International Publication
Official Federal Forms/US Patent Office/PCT/International Searching Authority/ -
Notification Of Transmittal Of The International Search Report And The Written Opinion
Official Federal Forms/US Patent Office/PCT/International Searching Authority/ -
Invitation To Pay Additional Fees In Case Of Later Submitted Sheets
Official Federal Forms/US Patent Office/PCT/International Searching Authority/ -
Written Opinion Of The International Searching Authority
Official Federal Forms/US Patent Office/PCT/International Searching Authority/ -
Invitation To Furnish Nucleotide And-Or Amino Acid Sequences Listing And-Or Tables
Official Federal Forms/US Patent Office/PCT/International Searching Authority/ -
International Search Report
Official Federal Forms/US Patent Office/PCT/International Searching Authority/ -
Declaration Of Non-Establishment Of International Search Report
Official Federal Forms/US Patent Office/PCT/International Searching Authority/ -
Notification Of Receipt Of Search Copy
Official Federal Forms/US Patent Office/PCT/International Searching Authority/ -
International-Type Search Report
Official Federal Forms/US Patent Office/PCT/International Searching Authority/ -
Invitation To Furnish Original Of Document Transmitted By Telegraph Teleprinter Facsmile Machine
Official Federal Forms/US Patent Office/PCT/International Searching Authority/ -
Notification Regarding Receipt Of Documents Via Telegraph Teleprinter Facsimile Machine
Official Federal Forms/US Patent Office/PCT/International Searching Authority/ -
Notification Concerning Paper Being Disregarded Or Document Considered
Official Federal Forms/US Patent Office/PCT/International Searching Authority/
Form Preview
Contact Us
Success: Your message was sent.
Thank you!




