Last updated: 3/25/2019
Chapter 11 Status Conference Report (Initial) {F 2081-1.CH11.STATUS.RPT}
Start Your Free Trial $ 33.99What you get:
- Instant access to fillable Microsoft Word or PDF forms.
- Minimize the risk of using outdated forms and eliminate rejected fillings.
- Largest forms database in the USA with more than 80,000 federal, state and agency forms.
- Download, edit, auto-fill multiple forms at once in MS Word using our Forms Workflow Ribbon
- Trusted by 1,000s of Attorneys and Legal Professionals
Description
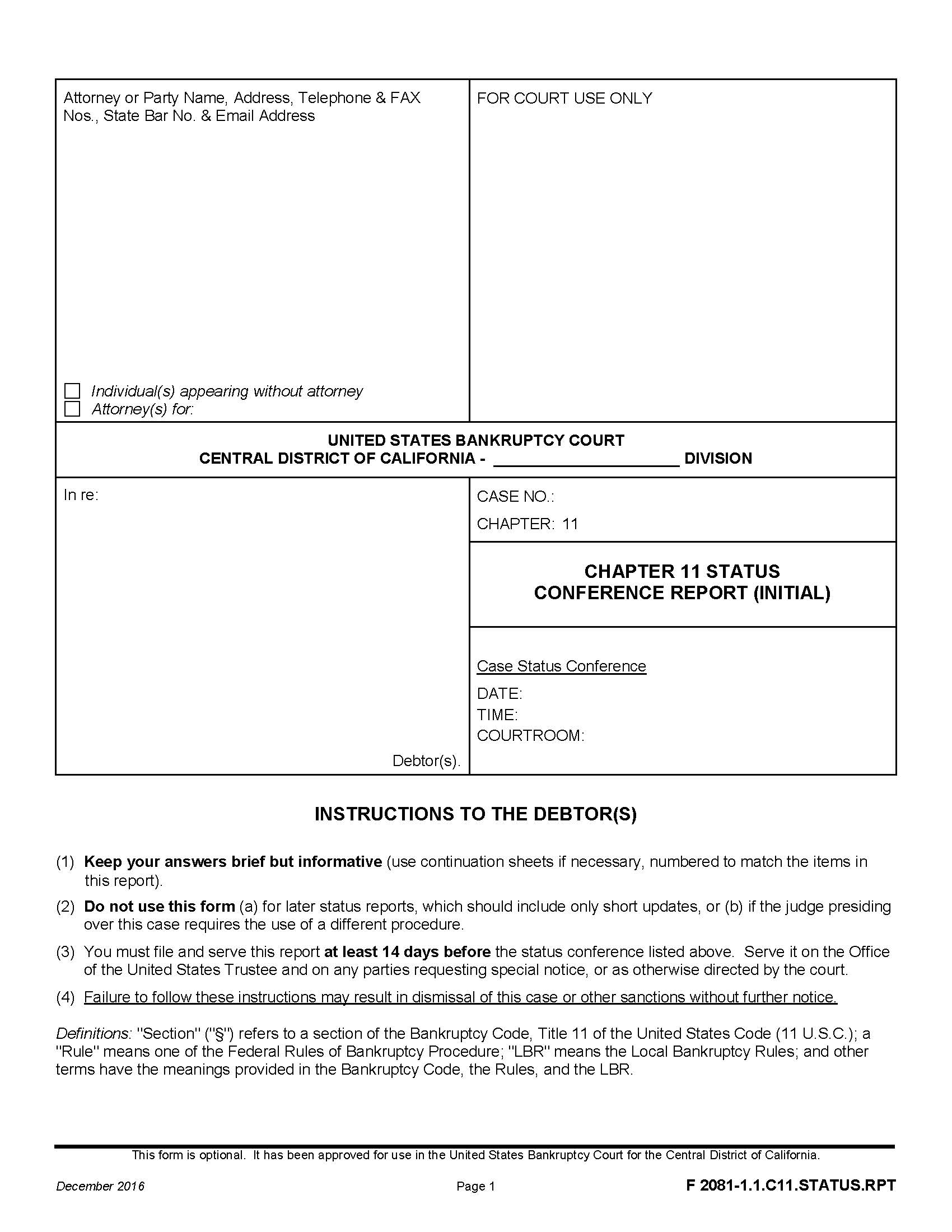
F 2081-1.1.C11.STATUS.RPT, CHAPTER 11 STATUS CONFERENCE REPORT (INITIAL), Bankruptcy Code section 105(d) authorizes a judge to set a status conference in a chapter 11 case soon after the chapter 11 petition is filed. Prior to the status conference, the debtor must serve and file a status report to provide the court and creditors with information needed to determine the status and direction of the bankruptcy case. Some judges require the use of a different status report or require additional information to be provided in a status report. INSTRUCTIONS TO THE DEBTOR(S): (1) Keep your answers brief but informative (use continuation sheets if necessary, numbered to match the items in this report). (2) Do not use this form (a) for later status reports, which should include only short updates, or (b) if the judge presiding over this case requires the use of a different procedure. (3) You must file and serve this report at least 14 days before the status conference listed above. Serve it on the Office of the United States Trustee and on any parties requesting special notice, or as otherwise directed by the court. (4) Failure to follow these instructions may result in dismissal of this case or other sanctions without further notice. Definitions: "Section" ("§") refers to a section of the Bankruptcy Code, Title 11 of the United States Code (11 U.S.C.); a "Rule" means one of the Federal Rules of Bankruptcy Procedure; "LBR" means the Local Bankruptcy Rules; and other terms have the meanings provided in the Bankruptcy Code, the Rules, and the LBR. www.FormsWorkflow.com
Related forms
-
Debtors Notice Of Conversion Of Bankruptcy Case From Chapter 13 To Chapter 7
California/Federal/USBC Central/Local/F 1010-1 Thru F 9075-1/ -
Default Judgment Re Complaint To Avoid Junior Lien On Principal Residence
California/Federal/USBC Central/Local/F 1010-1 Thru F 9075-1/ -
Debtors Notice Of Conversion Of Bankruptcy Case From Chapter 12 To Chapter 7
California/Federal/USBC Central/Local/F 1010-1 Thru F 9075-1/ -
Declaration Re Debtors Motion To Avoid Junior Lien On Principal Residence
California/Federal/USBC Central/Local/F 1010-1 Thru F 9075-1/ -
Individual Debtors Chapter 11 Plan Of Reorganization
California/Federal/USBC Central/Local/F 1010-1 Thru F 9075-1/ -
Individual Debtors Disclosure Statement In Support Of Plan Of Reorganization
California/Federal/USBC Central/Local/F 1010-1 Thru F 9075-1/ -
Proof Of Service Document
California/Federal/USBC Central/Local/F 1010-1 Thru F 9075-1/ -
Declaration Setting Forth Postpetition Preconfirmation Payments
California/Federal/USBC Central/Local/F 1010-1 Thru F 9075-1/ -
Summons And Notice Of Status Conference In Adversary Proceeding
California/Federal/USBC Central/Local/F 1010-1 Thru F 9075-1/ -
Application For Payment Of Interim Fees And-Or Expenses (11 USC 331)
California/Federal/USBC Central/Local/F 1010-1 Thru F 9075-1/ -
Corporate Ownership Statement Pursuant To FRPB 1007(a)(1)
California/Federal/USBC Central/Local/F 1010-1 Thru F 9075-1/ -
Debtors Motion To Convert Case Under 11 USC 706(a) Or 1112(a)
California/Federal/USBC Central/Local/F 1010-1 Thru F 9075-1/ -
Notice Of Hearing On Application For Payment Of Interim Or Final Fees
California/Federal/USBC Central/Local/F 1010-1 Thru F 9075-1/ -
Notice Of Motion And Motion For Relief From The Automatic Stay (Non-Bankruptcy Forum)
California/Federal/USBC Central/Local/F 1010-1 Thru F 9075-1/ -
Statement Of Related Cases
California/Federal/USBC Central/Local/F 1010-1 Thru F 9075-1/ -
Summons And Notice Of Status Conference In An Involuntary Bankruptcy Case
California/Federal/USBC Central/Local/F 1010-1 Thru F 9075-1/ -
Debtors Motion For Authority To Incur Dept (Personal Property)
California/Federal/USBC Central/Local/F 1010-1 Thru F 9075-1/ -
Debtors Motion For Authority To Refinance Real Property Under LBR 3015-1(p)
California/Federal/USBC Central/Local/F 1010-1 Thru F 9075-1/ -
Debtors Motion For Authority To Sell Real Property Underl LBR 3015-1(p)
California/Federal/USBC Central/Local/F 1010-1 Thru F 9075-1/ -
Debtors Request For Voluntary Dismissal Of Chapter 13 Case
California/Federal/USBC Central/Local/F 1010-1 Thru F 9075-1/ -
Declaration Of Current-Postpetition Income And Expenses
California/Federal/USBC Central/Local/F 1010-1 Thru F 9075-1/ -
Declaration RE Filing Of Tax Returns And Payment Of Domestic Support
California/Federal/USBC Central/Local/F 1010-1 Thru F 9075-1/ -
Request For Issuance Of Notice Of Transfer Of Claim
California/Federal/USBC Central/Local/F 1010-1 Thru F 9075-1/ -
Debtors Application For Order Confirming That Loan Modification Discussion
California/Federal/USBC Central/Local/F 1010-1 Thru F 9075-1/ -
Declaration Of Agent For Standing Trustee
California/Federal/USBC Central/Local/F 1010-1 Thru F 9075-1/ -
Declaration Of RE Default Under Adequate Protection Order
California/Federal/USBC Central/Local/F 1010-1 Thru F 9075-1/ -
Declaration Re Postpetition Payments In Reply To Debtors Opposition
California/Federal/USBC Central/Local/F 1010-1 Thru F 9075-1/ -
Lessors Certification Of (1) Prepetition Eviction Action Seeking Possession
California/Federal/USBC Central/Local/F 1010-1 Thru F 9075-1/ -
Lessors Objection To Debtors Certification And-Or Debtors Further Certification
California/Federal/USBC Central/Local/F 1010-1 Thru F 9075-1/ -
Notice Of Motion And Motion For Relief From The Automatic Stay
California/Federal/USBC Central/Local/F 1010-1 Thru F 9075-1/ -
Notice Of Motion And Motion For Relief From The Automatic Stay
California/Federal/USBC Central/Local/F 1010-1 Thru F 9075-1/ -
Notice Of Motion And Motion For Relief From The Automatic Stay
California/Federal/USBC Central/Local/F 1010-1 Thru F 9075-1/ -
Notice Of Motion And Motion For Relief From The Automatic Stay
California/Federal/USBC Central/Local/F 1010-1 Thru F 9075-1/ -
Notice Of Motion And Motion In Individual Case For Order
California/Federal/USBC Central/Local/F 1010-1 Thru F 9075-1/ -
Notice Of Motion And Motion In Individual Case For Order
California/Federal/USBC Central/Local/F 1010-1 Thru F 9075-1/ -
Notice Of Motion And Motion Under LBR 2016-2 For Approval Of Cash Disbursements
California/Federal/USBC Central/Local/F 1010-1 Thru F 9075-1/ -
Notice Of Motion Under LBR 3015-1(n) and (w) To Modify Plan
California/Federal/USBC Central/Local/F 1010-1 Thru F 9075-1/ -
Notice Of Objection To Claim
California/Federal/USBC Central/Local/F 1010-1 Thru F 9075-1/ -
Notice Of Section 341(a) Meeting And Hearing On Confirmation
California/Federal/USBC Central/Local/F 1010-1 Thru F 9075-1/ -
Notice Of Transfer Of Claim Pursuant To FRBP 3001(e)
California/Federal/USBC Central/Local/F 1010-1 Thru F 9075-1/ -
Notice Of Trustees-Debtors Request For A Copy Of Proof Of Claim
California/Federal/USBC Central/Local/F 1010-1 Thru F 9075-1/ -
Plan Ballot Summary
California/Federal/USBC Central/Local/F 1010-1 Thru F 9075-1/ -
Response To Motion For Order To Terminate Annul Modify
California/Federal/USBC Central/Local/F 1010-1 Thru F 9075-1/ -
Application For Order Setting Hearing On Shortened Notice (LBR 9075-1(b))
California/Federal/USBC Central/Local/F 1010-1 Thru F 9075-1/ -
Debtors Complaint To Avoid Junior Lien On Principal Residence
California/Federal/USBC Central/Local/F 1010-1 Thru F 9075-1/ -
Debtors Motion For Default Judgment RE Complaint To Avoid Junior Lien
California/Federal/USBC Central/Local/F 1010-1 Thru F 9075-1/ -
Debtors Notice Of Motion And Motion To Avoid Junior Lien
California/Federal/USBC Central/Local/F 1010-1 Thru F 9075-1/ -
Declaration To Be Filed With Motion Establishing Administrative Procedures
California/Federal/USBC Central/Local/F 1010-1 Thru F 9075-1/ -
Joint Status Report LBR 7016-1(a)(2)
California/Federal/USBC Central/Local/F 1010-1 Thru F 9075-1/ -
Joint Status Report-Additional Party Attachment
California/Federal/USBC Central/Local/F 1010-1 Thru F 9075-1/ -
Motion For Default Judgment Under LBR 7055-1
California/Federal/USBC Central/Local/F 1010-1 Thru F 9075-1/ -
Notice Of Motion And Motion To Avoid Lien
California/Federal/USBC Central/Local/F 1010-1 Thru F 9075-1/ -
Notice Of Motion And Motion To Avoid Lien
California/Federal/USBC Central/Local/F 1010-1 Thru F 9075-1/ -
Notice Of Motion For
California/Federal/USBC Central/Local/F 1010-1 Thru F 9075-1/ -
Notice Of Non-Opposition
California/Federal/USBC Central/Local/F 1010-1 Thru F 9075-1/ -
Notice Of Opposition And Request For A Hearing
California/Federal/USBC Central/Local/F 1010-1 Thru F 9075-1/ -
Notice Of Sale Of Estate Property
California/Federal/USBC Central/Local/F 1010-1 Thru F 9075-1/ -
Request For Clerk To Enter Default Under LBR 7055-1(a)
California/Federal/USBC Central/Local/F 1010-1 Thru F 9075-1/ -
Request For Disclosure Of Discovery Documents Under LBR 7026-2(d)
California/Federal/USBC Central/Local/F 1010-1 Thru F 9075-1/ -
Statement Of Disinterestedness For Employment Of Professional Person
California/Federal/USBC Central/Local/F 1010-1 Thru F 9075-1/ -
Statement Pursuant To LBR 4001-2 Regarding Cash Collateral Stipulations
California/Federal/USBC Central/Local/F 1010-1 Thru F 9075-1/ -
Summons And Notice Of Hearing On Petition Pursuant To 11 USC
California/Federal/USBC Central/Local/F 1010-1 Thru F 9075-1/ -
Trustees Comments On Or Objection To
California/Federal/USBC Central/Local/F 1010-1 Thru F 9075-1/ -
Trustees Comments On Or Objection To Application For Supplemental Fees
California/Federal/USBC Central/Local/F 1010-1 Thru F 9075-1/ -
Trustees Notice Of Motion And Motion For Order Continuing
California/Federal/USBC Central/Local/F 1010-1 Thru F 9075-1/ -
Notice Of Lodgment Of Order In Bankruptcy Case
California/Federal/USBC Central/Local/F 1010-1 Thru F 9075-1/ -
Notice Of Lodgment Of Order Or Judgment In Adversary Proceeding
California/Federal/USBC Central/Local/F 1010-1 Thru F 9075-1/ -
Notice Of Motion And Motion For Order Determining Value Of Collateral
California/Federal/USBC Central/Local/F 1010-1 Thru F 9075-1/ -
Order Re Notice Of Motion And Motion For Order Determining Value
California/Federal/USBC Central/Local/F 1010-1 Thru F 9075-1/ -
Debtors Motion To Extend Time To File Case Opening Documents
California/Federal/USBC Central/Local/F 1010-1 Thru F 9075-1/ -
Default Judgment (Without Prior Judgment)
California/Federal/USBC Central/Local/F 1010-1 Thru F 9075-1/ -
Order Approving Reaffirmation Agreement
California/Federal/USBC Central/Local/F 1010-1 Thru F 9075-1/ -
Order Disapproving Reaffirmation Agreement
California/Federal/USBC Central/Local/F 1010-1 Thru F 9075-1/ -
Order Granting Application And Setting Hearing On Shortened Notice-Denying Application
California/Federal/USBC Central/Local/F 1010-1 Thru F 9075-1/ -
Order Granting Motion For (1) Relief From The Automatic Stay
California/Federal/USBC Central/Local/F 1010-1 Thru F 9075-1/ -
Order Granting Motion For Order Imposing A Stay Or Continuing
California/Federal/USBC Central/Local/F 1010-1 Thru F 9075-1/ -
Order Granting Debtors Application For Order Confirming That Loan Modification
California/Federal/USBC Central/Local/F 1010-1 Thru F 9075-1/ -
Order Granting Trustees Motion For Order Continuing The Automatic Stay
California/Federal/USBC Central/Local/F 1010-1 Thru F 9075-1/ -
Order Granting-Denying Motion To Avoid Judicial Lien
California/Federal/USBC Central/Local/F 1010-1 Thru F 9075-1/ -
Order On
California/Federal/USBC Central/Local/F 1010-1 Thru F 9075-1/ -
Order On Application For Payment Of Interim Fees And-Or Expenses
California/Federal/USBC Central/Local/F 1010-1 Thru F 9075-1/ -
Order On Application For Supplemental Fees
California/Federal/USBC Central/Local/F 1010-1 Thru F 9075-1/ -
Order On Application Of Non-Resident Attorney To Appear In A Specific Case
California/Federal/USBC Central/Local/F 1010-1 Thru F 9075-1/ -
Order On Debtors Motion To Covert Case
California/Federal/USBC Central/Local/F 1010-1 Thru F 9075-1/ -
Order On Motion To Avoid Junior Lien On Principal Residence
California/Federal/USBC Central/Local/F 1010-1 Thru F 9075-1/ -
Order On Motion To Avoid Lien
California/Federal/USBC Central/Local/F 1010-1 Thru F 9075-1/ -
Order On Objections To Claim
California/Federal/USBC Central/Local/F 1010-1 Thru F 9075-1/ -
Order RE Motion In Individual Case For Order Confirming Termination Of Stay
California/Federal/USBC Central/Local/F 1010-1 Thru F 9075-1/ -
Order RE Motion To Avoid Junior Lien On Principal Residence
California/Federal/USBC Central/Local/F 1010-1 Thru F 9075-1/ -
Status Conference And Scheduling Order
California/Federal/USBC Central/Local/F 1010-1 Thru F 9075-1/ -
Default Judgment (Based On Prior Judgment)
California/Federal/USBC Central/Local/F 1010-1 Thru F 9075-1/ -
Order Granting Motion For Relief From The Automatic Stay (Non-Bankruptcy Forum)
California/Federal/USBC Central/Local/F 1010-1 Thru F 9075-1/ -
Order Denying Motion For Relief From The Automatic Stay
California/Federal/USBC Central/Local/F 1010-1 Thru F 9075-1/ -
Order Granting Motion For Relief From Automatic Stay (Real Property)
California/Federal/USBC Central/Local/F 1010-1 Thru F 9075-1/ -
Order Granting Motion For Relief From Stay
California/Federal/USBC Central/Local/F 1010-1 Thru F 9075-1/ -
Notice Of Voluntary Dismissal Of A Contested Matter
California/Federal/USBC Central/Local/F 1010-1 Thru F 9075-1/ -
Notice Of Voluntary Dismissal Of An Adversary Proceeding
California/Federal/USBC Central/Local/F 1010-1 Thru F 9075-1/ -
Order Granting Motion For Relief From The Automatic Stay (Personal Property)
California/Federal/USBC Central/Local/F 1010-1 Thru F 9075-1/ -
Chapter 11 Disclosure Statement
California/Federal/USBC Central/Local/F 1010-1 Thru F 9075-1/ -
Chapter 11 Plan
California/Federal/USBC Central/Local/F 1010-1 Thru F 9075-1/ -
Motion For Protective Order-To Restrict Access To Filed Documents
California/Federal/USBC Central/Local/F 1010-1 Thru F 9075-1/ -
Order For Protective Order-To Restrict Access To Filed Documents
California/Federal/USBC Central/Local/F 1010-1 Thru F 9075-1/ -
Chapter 7 Trustees Motion To Dismiss Bankruptcy Case And Declaration
California/Federal/USBC Central/Local/F 1010-1 Thru F 9075-1/ -
Debtors Request To Activate Electronic Noticing (DeBN)
California/Federal/USBC Central/Local/F 1010-1 Thru F 9075-1/ -
Debtors Request To Deactivate Electronic Noticing (DeBN)
California/Federal/USBC Central/Local/F 1010-1 Thru F 9075-1/ -
Debtors Request To Update Electronic Noticing (DeBN)
California/Federal/USBC Central/Local/F 1010-1 Thru F 9075-1/ -
Declaration Of Debtor Re Postpetition Income And Expenses
California/Federal/USBC Central/Local/F 1010-1 Thru F 9075-1/ -
Notice Of Joint Adminstration Of Cases And Requirements For Filing
California/Federal/USBC Central/Local/F 1010-1 Thru F 9075-1/ -
Notice Of Status Conference Re Removal Of Action
California/Federal/USBC Central/Local/F 1010-1 Thru F 9075-1/ -
Order On Motion To Approve Joint Administration Of Cases
California/Federal/USBC Central/Local/F 1010-1 Thru F 9075-1/ -
Substitution Of Attorney
California/Federal/USBC Central/Local/F 1010-1 Thru F 9075-1/ -
Amended Statement Of Social Security Number(s)
California/Federal/USBC Central/Local/F 1010-1 Thru F 9075-1/ -
Notice Of Intent To Request Redaction Of Transcript
California/Federal/USBC Central/Local/F 1010-1 Thru F 9075-1/ -
Notice Of Motion And Motion In Individual Chapter 11 Case
California/Federal/USBC Central/Local/F 1010-1 Thru F 9075-1/ -
Notice Of Motion And Motion In Individual Chapter 11 Case
California/Federal/USBC Central/Local/F 1010-1 Thru F 9075-1/ -
Notice Of Motion And Motion In Individual Chapter 11 Case
California/Federal/USBC Central/Local/F 1010-1 Thru F 9075-1/ -
Notice Of Motion And Motion In Individual Chapter 11 Case
California/Federal/USBC Central/Local/F 1010-1 Thru F 9075-1/ -
Notice Of Motion And Motion In Individual Chapter 11 Case
California/Federal/USBC Central/Local/F 1010-1 Thru F 9075-1/ -
Order Re Motion In Individual Chapter 11 Case To Authorize
California/Federal/USBC Central/Local/F 1010-1 Thru F 9075-1/ -
Order Re Motion To (1) Authorize Payment Of Prepetition Payroll
California/Federal/USBC Central/Local/F 1010-1 Thru F 9075-1/ -
Order Re Notice Of Motion And Motion In Individual Chapter 11
California/Federal/USBC Central/Local/F 1010-1 Thru F 9075-1/ -
Order Re Notice Of Motion And Motion In Individual Chapter 11 Case
California/Federal/USBC Central/Local/F 1010-1 Thru F 9075-1/ -
Order Re Notice Of Motion And Motion In Individual Chapter 11 Case
California/Federal/USBC Central/Local/F 1010-1 Thru F 9075-1/ -
Notice Of Motion And Motion In Chapter 11 Case
California/Federal/USBC Central/Local/F 1010-1 Thru F 9075-1/ -
Notice Of Motion And Motion In Individual Chapter 11 Case
California/Federal/USBC Central/Local/F 1010-1 Thru F 9075-1/ -
Transcript Redaction Request
California/Federal/USBC Central/Local/F 1010-1 Thru F 9075-1/ -
Order Granting-Denying Motion In Chapter 11 Case
California/Federal/USBC Central/Local/F 1010-1 Thru F 9075-1/ -
Order Re Motion In Individual Chapter 11 Case To Authorize
California/Federal/USBC Central/Local/F 1010-1 Thru F 9075-1/ -
Summary Of Amended Schedule Master Mailing List And-Or Statements
California/Federal/USBC Central/Local/F 1010-1 Thru F 9075-1/ -
Order On Trustees Motion For Approval Of Cash Disbursement
California/Federal/USBC Central/Local/F 1010-1 Thru F 9075-1/ -
Attorneys Disclosure Of Postpetition Compensation Arrangement With Debtor
California/Federal/USBC Central/Local/F 1010-1 Thru F 9075-1/ -
Notice Of Motion And Motion For Order Setting Bar Date
California/Federal/USBC Central/Local/F 1010-1 Thru F 9075-1/ -
Debtors Attorneys Disclosure Of Compensation Arrangement In Individual Chapter 7 Case
California/Federal/USBC Central/Local/F 1010-1 Thru F 9075-1/ -
Declaration By Debtor(s) As To Whether Income Was Received
California/Federal/USBC Central/Local/F 1010-1 Thru F 9075-1/ -
Declaration Of Contribution To Chapter 13 Plan
California/Federal/USBC Central/Local/F 1010-1 Thru F 9075-1/ -
Notice Of Opportunity To Request A Hearing On Motion
California/Federal/USBC Central/Local/F 1010-1 Thru F 9075-1/ -
Notice Of Trustees Intent To Pay Administrative Expenses Totaling 5000
California/Federal/USBC Central/Local/F 1010-1 Thru F 9075-1/ -
Order Setting Bar Date For Filing Proofs Of Claim
California/Federal/USBC Central/Local/F 1010-1 Thru F 9075-1/ -
Request That The Clerk Issue Another Summons And Notice
California/Federal/USBC Central/Local/F 1010-1 Thru F 9075-1/ -
Statement Regarding Cash Collateral Or Debtor In Possession Financing
California/Federal/USBC Central/Local/F 1010-1 Thru F 9075-1/ -
Notice Of Bar Date For Filing Proof Of Claims
California/Federal/USBC Central/Local/F 1010-1 Thru F 9075-1/ -
Debtors Objection To Lessors Certification And Notice Of Hearing
California/Federal/USBC Central/Local/F 1010-1 Thru F 9075-1/ -
Declaration That No Party Requested A Hearing On Motion
California/Federal/USBC Central/Local/F 1010-1 Thru F 9075-1/ -
Notice Of Motion For Order Without Hearing (LBR 9013-1(p) or (q))
California/Federal/USBC Central/Local/F 1010-1 Thru F 9075-1/ -
Notice Of Transcript(s) Designated For An Appeal
California/Federal/USBC Central/Local/F 1010-1 Thru F 9075-1/ -
Application For Waiver Of The Appellate Filing Fee In A Chapter 7 Case
California/Federal/USBC Central/Local/F 1010-1 Thru F 9075-1/ -
Debtors Certificate Of Compliance Under 11 USC 1328(a) And Application
California/Federal/USBC Central/Local/F 1010-1 Thru F 9075-1/ -
Chapter 11 Status Conference Report (Initial)
California/Federal/USBC Central/Local/F 1010-1 Thru F 9075-1/ -
Order On Motion (A) To Deposit Funds Into The Courts Registry
California/Federal/USBC Central/Local/F 1010-1 Thru F 9075-1/ -
Order On Final Fee Applications Allowing Payment
California/Federal/USBC Central/Local/F 1010-1 Thru F 9075-1/ -
Exhibit Tag (Plaintiff)
California/Federal/USBC Central/Local/F 1010-1 Thru F 9075-1/ -
Exhibit Tag (Defendant)
California/Federal/USBC Central/Local/F 1010-1 Thru F 9075-1/ -
Attachment C To Chapter 13 Plan Avoidance Of Real Property Judicial Liens
California/Federal/USBC Central/Local/F 1010-1 Thru F 9075-1/ -
Attachment D To Chapter 13 Plan Avoidance Of Non-Possessory Nonpurchase Money
California/Federal/USBC Central/Local/F 1010-1 Thru F 9075-1/ -
Chapter 13 Trustees Notice Of Motion And Motion For Entry Of Order
California/Federal/USBC Central/Local/F 1010-1 Thru F 9075-1/ -
Chapter 13 Trustees Order Deeming Claim Satisfied
California/Federal/USBC Central/Local/F 1010-1 Thru F 9075-1/ -
Order Denying Claim Objection For Failure To Prosecute
California/Federal/USBC Central/Local/F 1010-1 Thru F 9075-1/ -
Attachment B To Chapter 13 Plan Valuation Lien Avoidance
California/Federal/USBC Central/Local/F 1010-1 Thru F 9075-1/ -
Verification Of Master Mailing List Of Creditors
California/Federal/USBC Central/Local/F 1010-1 Thru F 9075-1/ -
Order On Trustees Motion Under LBR 2016-2 For Authorization To Employ Paraprofessionals
California/Federal/USBC Central/Local/F 1010-1 Thru F 9075-1/ -
Trustees Notice Of Motion And Motion Under LBR 2016-2
California/Federal/USBC Central/Local/F 1010-1 Thru F 9075-1/ -
Motion Under LBR 3015-1(n) And (w) To Modify Plan Or Suspend Plan Payments
California/Federal/USBC Central/Local/F 1010-1 Thru F 9075-1/ -
Order Confirming Chapter 13 Plan
California/Federal/USBC Central/Local/F 1010-1 Thru F 9075-1/ -
Chapter 13 Plan
California/Federal/USBC Central/Local/F 1010-1 Thru F 9075-1/ -
Subchapter V Trustees Estimated Fees And Expenses For Purposes Of Plan Confirmation
California/4 Federal/USBC Central/Local/F 1010-1 Thru F 9075-1/ -
Subchapter V Status Report
California/4 Federal/USBC Central/Local/F 1010-1 Thru F 9075-1/ -
Notice Of Motion And Motion For Order Establishing Adequate Protection
California/4 Federal/USBC Central/Local/F 1010-1 Thru F 9075-1/ -
Order Granting Motion For Order Establishing Adequate Protection
California/4 Federal/USBC Central/Local/F 1010-1 Thru F 9075-1/ -
Change Of Mailing Address
California/Federal/USBC Central/Local/F 1010-1 Thru F 9075-1/ -
Application Of Attorney For Debtor For Additional Fees And Related Expenses
California/4 Federal/USBC Central/Local/F 1010-1 Thru F 9075-1/ -
Application Of Attorney For Debtor For Allowance Of Fees
California/Federal/USBC Central/Local/F 1010-1 Thru F 9075-1/ -
Rights And Responsibilities Agreement Between Chapter 13 Debtors And Their Attorneys
California/Federal/USBC Central/Local/F 1010-1 Thru F 9075-1/ -
Application Of Non-Resident Attorney To Appear In A Specific Case (LBR 2090-1)
California/Federal/USBC Central/Local/F 1010-1 Thru F 9075-1/ -
Declaration Verifying Software Generated Signature(s)
California/Federal/USBC Central/Local/F Thru F / -
Order And Notice Setting Hearing On Chapter 15 Petition For Recognition
California/Federal/USBC Central/Local/F Thru F / -
Debtors Motion To Reopen Case And For Extension Of Time
California/Federal/USBC Central/Local/F 1010-1 Thru F 9075-1/ -
Order On Debtors Motion To Reopen Case And For Extension
California/Federal/USBC Central/Local/F 1010-1 Thru F 9075-1/
Form Preview
Contact Us
Success: Your message was sent.
Thank you!




