Last updated: 8/2/2006
Application To Utilize Still Photography Or Electronic Equipment Within The Courthouse For Recording Or Presentation Purposes
Start Your Free Trial $ 13.99What you get:
- Instant access to fillable Microsoft Word or PDF forms.
- Minimize the risk of using outdated forms and eliminate rejected fillings.
- Largest forms database in the USA with more than 80,000 federal, state and agency forms.
- Download, edit, auto-fill multiple forms at once in MS Word using our Forms Workflow Ribbon
- Trusted by 1,000s of Attorneys and Legal Professionals
Description
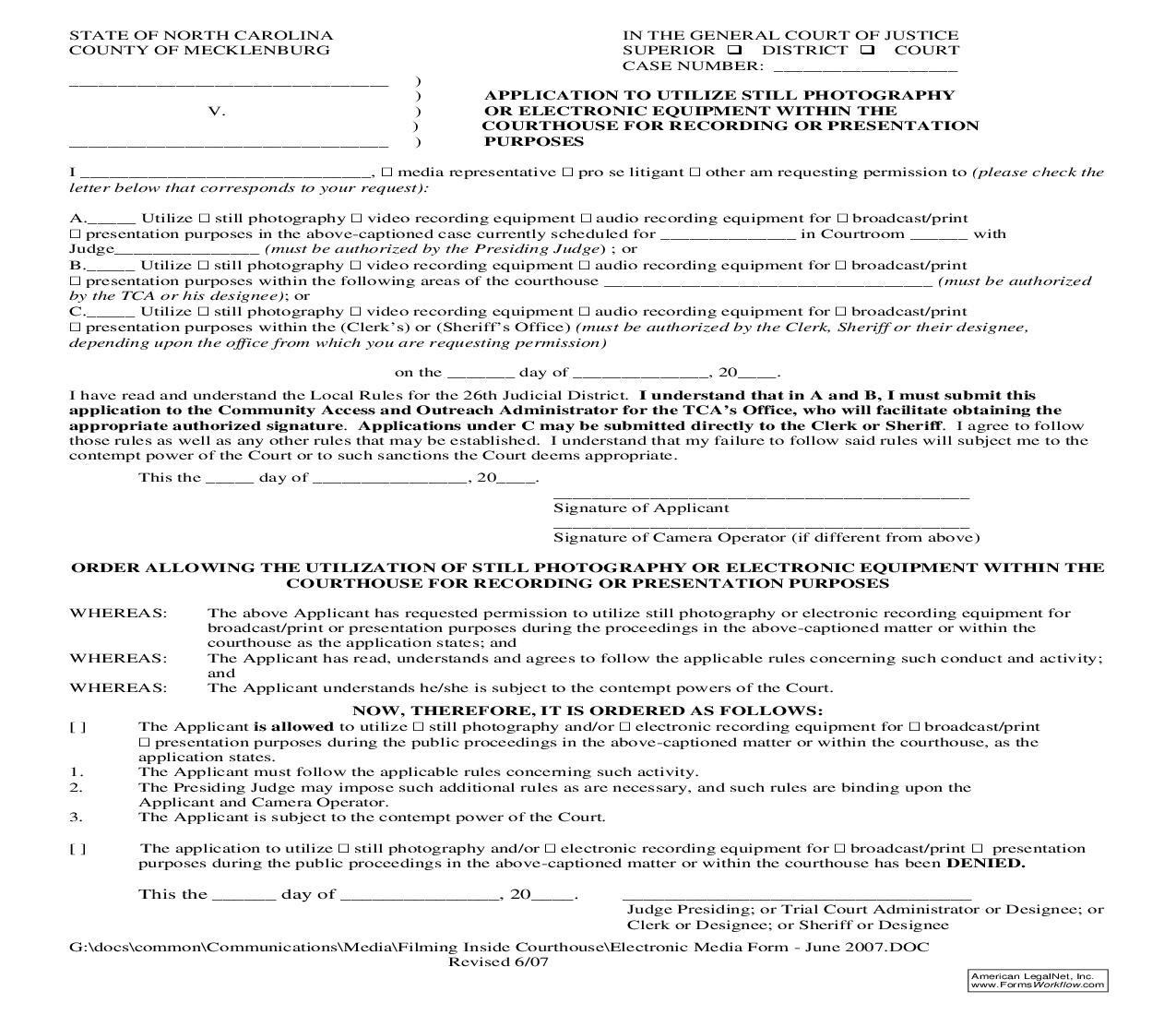
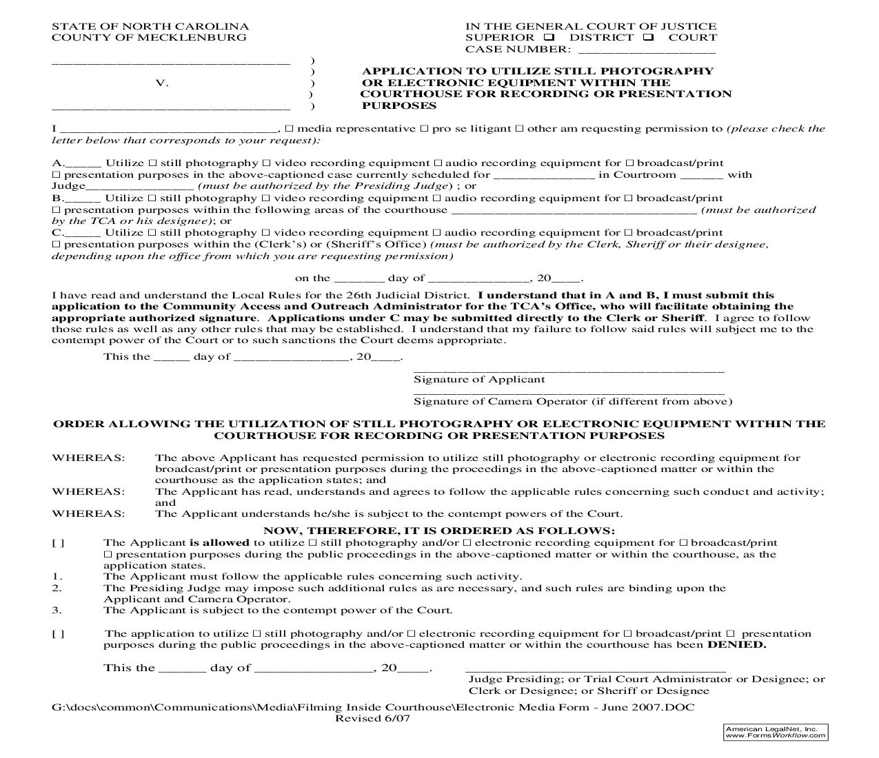
STATE OF NORTH CAROLINA COUNTY OF MECKLENBURG _________________________________ V. _________________________________ ) ) ) ) ) IN THE GENERAL COURT OF JUSTICE SUPERIOR DISTRICT COURT CASE NUMBER: ___________________ APPLICATION TO UTILIZE STILL PHOTOGRAPHY OR ELECTRONIC EQUIPMENT WITHIN THE COURTHOUSE FOR RECORDING OR PRESENTATION PURPOSES I ______________________________, media representative/pro se litigant/ other (please circle one), am requesting permission to (please check the letter below that corresponds to your request): A. ___ Utilize still photography or electronic recording equipment for recording purposes in the above-captioned case currently scheduled for ________________ in Courtroom ______ with Judge_____________ (must be authorized by the Presiding Judge); or B. ___ Utilize still photography or electronic recording equipment for recording purposes within the following areas of the courthouse complex_____________________________ (must be authorized by the TCA or his designee); or C. ___ Utilize still photography or electronic recording equipment within the (Clerk's) or (Sheriff's Office) (must be authorized by the Clerk, Sheriff or their designee, depending upon the office from which you are requesting permission) on the ________ day of _____________, 20___. I have read and understand the Local Rules for the 26th Judicial District. I understand that in A and B, I must submit this application to the Community Access and Outreach Administrator for the TCA's Office, who will facilitate obtaining the appropriate authorized signature. Applications under C may be submitted directly to the Clerk or Sheriff. I agree to follow those rules as well as any other rules that may be established. I understand that my failure to follow said rules will subject me to the contempt power of the Court or to such sanctions the Court deems appropriate. This the _____ day of ________________, 20____. __________________________________________ Signature of Applicant ___________________________________________ Signature of Camera Operator (if different from above) ORDER ALLOWING THE UTILIZATION OF STILL PHOTOGRAPHY OR ELECTRONIC EQUIPMENT WITHIN THE COURTHOUSE FOR RECORDING OR PRESENTATION PURPOSES WHEREAS: The above Applicant has requested permission to utilize still photography or electronic equipment for recording or presentation purposes during the proceedings in the above-captioned matter or within the courthouse complex as the application states; and The Applicant has read, understands and agrees to follow the applicable rules concerning such conduct and activity; and The Applicant understands he/she is subject to the contempt powers of the Court. NOW, THEREFORE, IT IS ORDERED AS FOLLOWS: The Applicant is allowed to utilize still photography or electronic equipment for recording or presentation purposes during the public proceedings in the above-captioned matter or within the courthouse complex, as the application states. 1. 2. 3. The Applicant must follow the applicable rules concerning such activity. The Presiding Judge may impose such additional rules as are necessary, and such rules are binding upon the Applicant and Camera Operator. The Applicant is subject to the contempt power of the Court. WHEREAS: WHEREAS: The application to utilize still photography or electronic equipment for recording or presentation purposes during the public proceedings in the above-captioned matter or within the courthouse complex has been DENIED. This the ________ day of ______________, 20_______. _______________________________________ Judge Presiding; or Trial Court Administrator or Designee; or Clerk or Designee; or Sheriff or Designee H:\FORMS\LocalRules_01\26\D26 electronic media form - 8-05.doc Revised 8/05 American LegalNet, Inc. www.USCourtForms.com
Related forms
-
Advisory Verdict Of Jury Unable To Reach Unanimous Verdict
North Carolina/Local County/Mecklenburg (District 26)/ -
Affidavit As To Status Of Minor Child
North Carolina/Local County/Mecklenburg (District 26)/ -
Affidavit Expert Witness Fee
North Carolina/Local County/Mecklenburg (District 26)/ -
Affidavit For Support
North Carolina/Local County/Mecklenburg (District 26)/ -
Application And Order For Extenstion Of Time To File Answer And Or Other Pleading
North Carolina/Local County/Mecklenburg (District 26)/ -
Appointment Of Neutral By Trial Court Administrator
North Carolina/Local County/Mecklenburg (District 26)/ -
Consent Notice Of Telephonic Proceeding
North Carolina/Local County/Mecklenburg (District 26)/ -
Consent Order For An Expedited Equitable Distribution Proceeding
North Carolina/Local County/Mecklenburg (District 26)/ -
Final Equitable Distribution Pretrial Order
North Carolina/Local County/Mecklenburg (District 26)/ -
Guardianship Guidelines
North Carolina/Local County/Mecklenburg (District 26)/ -
Information About Involuntary Commitment Process
North Carolina/Local County/Mecklenburg (District 26)/ -
Joint Compliance Certificate
North Carolina/Local County/Mecklenburg (District 26)/ -
Judges Notice
North Carolina/Local County/Mecklenburg (District 26)/ -
Medical Expert Witness Fee Order
North Carolina/Local County/Mecklenburg (District 26)/ -
Minor Child Affidavit Domestic Violence Case
North Carolina/Local County/Mecklenburg (District 26)/ -
Minors Funds
North Carolina/Local County/Mecklenburg (District 26)/ -
Motion For Appointment Of Guardian Ad Litem Attorney And Custody Advocate For Minor Child
North Carolina/Local County/Mecklenburg (District 26)/ -
Motion For Waiver Of Parent Education And Or Custody Mediation
North Carolina/Local County/Mecklenburg (District 26)/ -
Notice Five Minute Motion Calendar Firecracker
North Carolina/Local County/Mecklenburg (District 26)/ -
Notice Of Hearing
North Carolina/Local County/Mecklenburg (District 26)/ -
Notice Of Petition For Subsequent Proceedings Concerning Incompetent Adult
North Carolina/Local County/Mecklenburg (District 26)/ -
Notice Of Selection Of Mediator Or Family Court Judge By Agreement In Family Financial Cases
North Carolina/Local County/Mecklenburg (District 26)/ -
Objection To Motion For Continuance
North Carolina/Local County/Mecklenburg (District 26)/ -
Order Appointing Best Interest Attorneys And CFCR Custody Advocate
North Carolina/Local County/Mecklenburg (District 26)/ -
Order Appointing Parent Coordinator
North Carolina/Local County/Mecklenburg (District 26)/ -
Order Five Minute Motion Calendar Firecracker
North Carolina/Local County/Mecklenburg (District 26)/ -
Order For Expert Witness Fee
North Carolina/Local County/Mecklenburg (District 26)/ -
Order Of Discontinuance No Service
North Carolina/Local County/Mecklenburg (District 26)/ -
Order Of Dismissal
North Carolina/Local County/Mecklenburg (District 26)/ -
Order Regarding Representation Of Minor Child
North Carolina/Local County/Mecklenburg (District 26)/ -
Peremptory Setting Request
North Carolina/Local County/Mecklenburg (District 26)/ -
Petition For Release Of Minors Funds
North Carolina/Local County/Mecklenburg (District 26)/ -
Petition For Subsequent Proceedings Concerning Incompetent Adult
North Carolina/Local County/Mecklenburg (District 26)/ -
Pre Suit Mediated Settlement Conference Agreement
North Carolina/Local County/Mecklenburg (District 26)/ -
Pre Suit Mediated Settlement Conference Request
North Carolina/Local County/Mecklenburg (District 26)/ -
Pre-Suit Mediated Settlement Conference Report
North Carolina/Local County/Mecklenburg (District 26)/ -
Referral Order To Proposed Parent Coordinator
North Carolina/Local County/Mecklenburg (District 26)/ -
Request To Appoint Commissioners
North Carolina/Local County/Mecklenburg (District 26)/ -
Secure Leave
North Carolina/Local County/Mecklenburg (District 26)/ -
Stipulation For Alternative Dispute Resolution
North Carolina/Local County/Mecklenburg (District 26)/ -
Stipulation For Selection Of Neutral
North Carolina/Local County/Mecklenburg (District 26)/ -
Summary Jury Trial Orientation Instructions
North Carolina/Local County/Mecklenburg (District 26)/ -
Summary Jury Trial Pretrial Order
North Carolina/Local County/Mecklenburg (District 26)/ -
Summary Jury Trial Schedule
North Carolina/Local County/Mecklenburg (District 26)/ -
Verification Of Consultation With Opposing Counsel
North Carolina/Local County/Mecklenburg (District 26)/ -
Itemization Worksheet
North Carolina/Local County/Mecklenburg (District 26)/ -
Neutrals Report Of Outcome Of ADR Proceeding
North Carolina/Local County/Mecklenburg (District 26)/ -
Notice Of Initial Pretrial Discovery Equitable Distribution Hearing
North Carolina/Local County/Mecklenburg (District 26)/ -
Order Appointing Guardian Ad Litem
North Carolina/Local County/Mecklenburg (District 26)/ -
Request To Set Landlord Tenant Case
North Carolina/Local County/Mecklenburg (District 26)/ -
Application To Utilize Still Photography Or Electronic Equipment Within The Courthouse For Recording Or Presentation Purposes
North Carolina/Local County/Mecklenburg (District 26)/ -
General Civil Action Cover Sheet
North Carolina/Local County/Mecklenburg (District 26)/ -
State Court Injuction And Order Enforcing Bankruptcy Stay
North Carolina/Local County/Mecklenburg (District 26)/ -
Notice Of Bankruptcy Stay
North Carolina/Local County/Mecklenburg (District 26)/ -
Order On Parent Education And Or Custody Mediation
North Carolina/Local County/Mecklenburg (District 26)/ -
Transcript Request Form
North Carolina/Local County/Mecklenburg (District 26)/ -
Request For Continuance
North Carolina/Local County/Mecklenburg (District 26)/ -
Objection To Continuance Request
North Carolina/Local County/Mecklenburg (District 26)/ -
Instructions For Issue Execution To Collect Judgment
North Carolina/Local County/Mecklenburg (District 26)/ -
Order Granting Or Denying Motion For Continuance
North Carolina/Local County/Mecklenburg (District 26)/ -
Order For Extension Of ADR Deadline
North Carolina/Local County/Mecklenburg (District 26)/ -
Motion For Extension Of ADR Deadline
North Carolina/Local County/Mecklenburg (District 26)/ -
Motion For Continuance
North Carolina/Local County/Mecklenburg (District 26)/ -
Initial Pretrial Conference Scheduling And Discovery Order In Equitable Distribution Matter
North Carolina/Local County/Mecklenburg (District 26)/ -
Order For Supervised Visitation Exchange
North Carolina/Local County/Mecklenburg (District 26)/ -
Required Information Form For Remote Video Hearing
North Carolina/2 Local County/Mecklenburg (District 26)/ -
Motion And Order For Exemption From Remote Hearing
North Carolina/Local County/Mecklenburg (District )/ -
Consent Case Mangement Order
North Carolina/Local County/Mecklenburg (District 26)/ -
Motion To Change Hearing Forum
North Carolina/Local County/Mecklenburg (District )/ -
Notice Of Motion
North Carolina/Local County/Mecklenburg (District 26)/ -
Objection To Motion To Change Hearing Forum
North Carolina/2 Local County/Mecklenburg (District 26)/ -
Request To Set
North Carolina/Local County/Mecklenburg (District 26)/
Form Preview
Contact Us
Success: Your message was sent.
Thank you!




