Last updated: 4/6/2007
Claimants Affidavit
Start Your Free Trial $ 13.99What you get:
- Instant access to fillable Microsoft Word or PDF forms.
- Minimize the risk of using outdated forms and eliminate rejected fillings.
- Largest forms database in the USA with more than 80,000 federal, state and agency forms.
- Download, edit, auto-fill multiple forms at once in MS Word using our Forms Workflow Ribbon
- Trusted by 1,000s of Attorneys and Legal Professionals
Description
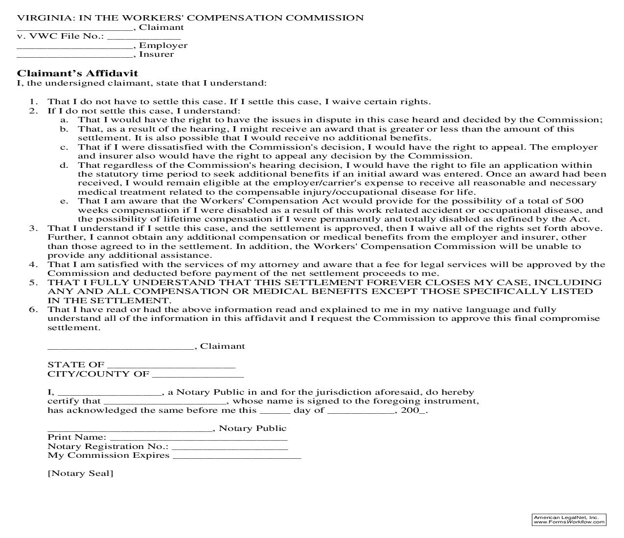
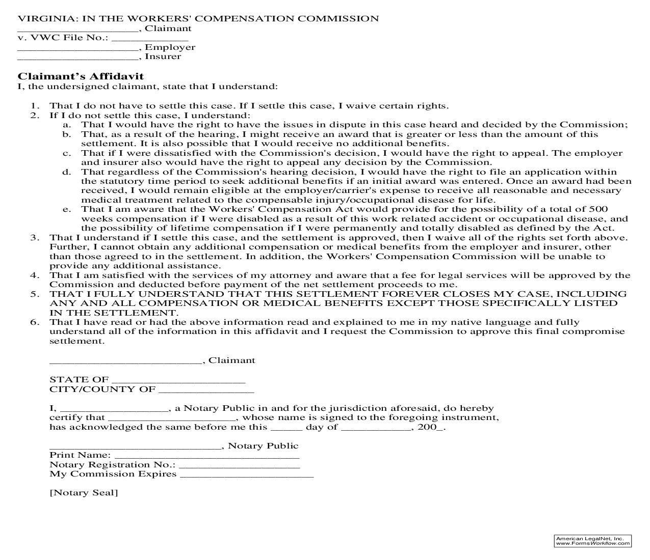
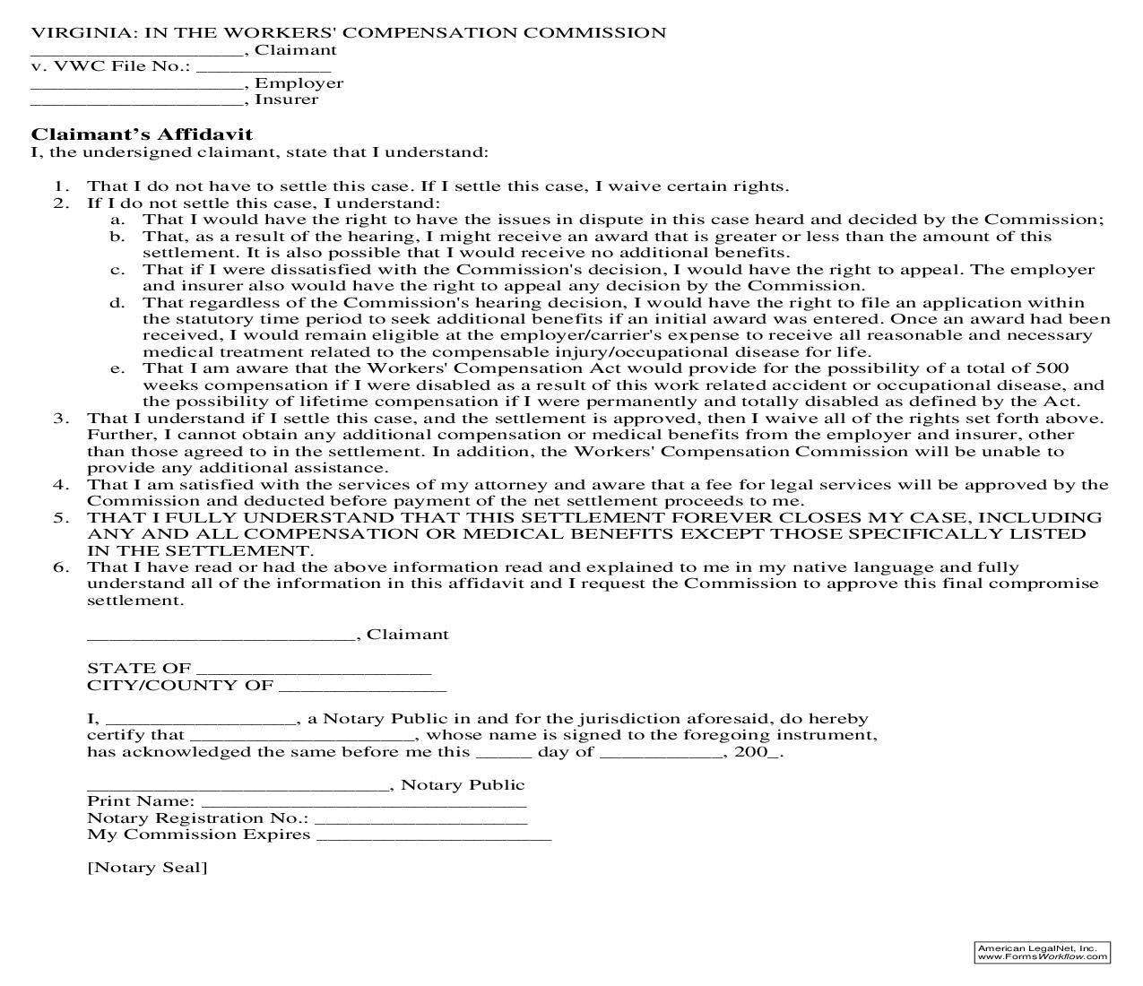
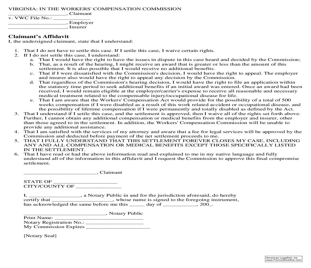
VIRGINIA: IN THE WORKERS COMPENSATION COMMISSION ___________________, Claimant v. VWC File No.: ____________ ___________________, Employer ___________________, Insurer Claimants Affidavit I, the undersigned claimant, state that I understand: 1. That I do not have to settle this case. If I settle this case, I waive certain rights. 2. If I do not settle this case, I understand: a. That I would have the right to have the issues in dispute in this case heard and decided by the Commission; b. That, as a result of the hearing, I might receive an award that is greater or less than the amount of this settlement. It is also possible that I would receive no additional benefits. c. That if I were dissatisfied with the Commissions decision, I would have the right to appeal. The employer and insurer also would have the right to appeal any decision by the Commission. d. That regardless of the Commissions hearing decision, I would have the right to file an application within the statutory time period to seek additional bene if afitsn initial award was entered. Once an award had been received, I would remain eligible at the eoyer/campl rriers expense to receive all reasonable and necessary medical treatment related to the compensable injury/occupational disease for life. e. That I am aware that the Workers Compensation At would providec for the possibility of a total of 500 weeks compensation if I were disabled as a result of this work related accident or occupational disease, and the possibility of lifetime compensation if I were permentanly and totally disabled as defined by the Act. 3. That I understand if I settle this ca, asend the settlement is approved, then I waive all of the rights set forth above. Further, I cannot obtain any additional compensation or medical benefits from the employer and insurer, other than those agreed to in the settlement. In addition, the Workers Compensation Commission will be unable to provide any additional assistance. 4. That I am satisfied with the services of my attorneand ay ware that a fee for legal services will be approved by the Commission and deducted before payment of the net settlement proceeds to me. 5. THAT I FULLY UNDERSTAND THAT THIS SETTLEMENT FOREVER CLOSES MY CASE, INCLUDING ANY AND ALL COMPENSATION OR MEDICAL BENEFITS EXCEPT THOSE SPECIFICALLY LISTED IN THE SETTLEMENT. 6. That I have read or had the above information reand explained ad to me in my native language and fully understand all of the information in this affidavit and I request the Commission to approve this final compromise settlement. ________________________, Claimant SUBSCRIBED AND SWORN TO before me this _______ day of ____________ , _____. ___________________________, NOTARY PUBLIC My commission expires: ________________________
Related forms
-
Parental Guarantee
Virginia/Workers Compensation/ -
Physicians Report On Injury In Lieu Of Testimony
Virginia/Workers Compensation/ -
Report Of Medical Cost
Virginia/Workers Compensation/ -
Report Of Minor Injuries
Virginia/Workers Compensation/ -
Request For Peer Review
Virginia/Workers Compensation/ -
Self Insurance Bond
Virginia/Workers Compensation/ -
Subpoena Duces Tecum Civil Attorney Issued
Virginia/Workers Compensation/ -
Subpoena For Witness Civil Attorney Issued
Virginia/Workers Compensation/ -
Subpoena For Witness
Virginia/Workers Compensation/ -
Supplemental Agreement To Pay Benefits
Virginia/Workers Compensation/ -
Supplementary Report
Virginia/Workers Compensation/ -
Workers Compensation Notice
Virginia/Workers Compensation/ -
Employer Report
Virginia/Workers Compensation/ -
Claimants Affidavit
Virginia/Workers Compensation/ -
Agreement For The Settlement Of An Award In A Lump Sum Or Partial Lump Sum
Virginia/Workers Compensation/ -
Criminal Injuries Compensation Fund Claim Form
Virginia/Workers Compensation/ -
Notice Of Cancellation Or Non Renewal
Virginia/Workers Compensation/ -
Annual Payroll Report Operating As A Self Insurer{26C}
Virginia/Workers Compensation/ -
Annual Report Of Self Insurers Payroll By School Boards
Virginia/Workers Compensation/ -
Annual Report Of Self-Insurers Payroll
Virginia/Workers Compensation/ -
Supplemental Agreement To Pay Varying Temporary Partial Benefits
Virginia/Workers Compensation/ -
Notice Of Change Cancellation Or Non-Renewal
Virginia/Workers Compensation/ -
Annual Report Of Premiums Assessments Etc Received By Insurance Carriers
Virginia/Workers Compensation/ -
Petition Under Birth Related Neurological Injury Compensation Act
Virginia/Workers Compensation/ -
Amputation Chart Foot
Virginia/Workers Compensation/ -
Supplementary Report For Fatal Accidents
Virginia/Workers Compensation/ -
First Report Of Injury
Virginia/Workers Compensation/ -
Officer Manager Revocation Of Prior Rejection Of Coverage
Virginia/Workers Compensation/ -
Work Release
Virginia/Workers Compensation/ -
Employers Application For Individual Self Insurance
Virginia/Workers Compensation/ -
Annual Report Of Self Insurers Payroll
Virginia/Workers Compensation/ -
Change In Condition Claim Response
Virginia/Workers Compensation/ -
Full And Final Mediation Request
Virginia/Workers Compensation/ -
Issue Mediation Request
Virginia/5 Workers Compensation/ -
Mediation And Mediators Evaluation Form
Virginia/5 Workers Compensation/ -
Mediation Consent (Without Legal Counse)
Virginia/5 Workers Compensation/ -
Mediation Consent (With Legal Counsel)
Virginia/5 Workers Compensation/ -
Medical Care Provider Appication Response
Virginia/5 Workers Compensation/ -
Letter For Beneficiary In Fatal Case
Virginia/5 Workers Compensation/ -
Medical Fee Schedule Dispute Request
Virginia/5 Workers Compensation/ -
Medical Fee Schedule Dispute Response
Virginia/5 Workers Compensation/ -
Medical Provider Inquiry
Virginia/5 Workers Compensation/ -
Webfile Access And PEO Registration
Virginia/5 Workers Compensation/ -
PEO Parental Guarantee
Virginia/5 Workers Compensation/ -
Referral For Lack Of Coverage
Virginia/5 Workers Compensation/ -
Webfile Registration For Attorney Access
Virginia/5 Workers Compensation/ -
Waiver Of Occupational Disease Coverage
Virginia/Workers Compensation/ -
Fatal Award Agreement
Virginia/Workers Compensation/ -
Termination Of Wage Loss Award
Virginia/Workers Compensation/ -
Award Agreement
Virginia/Workers Compensation/ -
Expedited Hearing Request
Virginia/Workers Compensation/ -
Amputation Chart
Virginia/Workers Compensation/ -
COLA-Social Security Verification Request
Virginia/Workers Compensation/ -
Attending Physicians Report
Virginia/Workers Compensation/ -
Pneumoconiosis Claim
Virginia/5 Workers Compensation/ -
Full And Final Pre-Mediation Statement (Awarded Claim)
Virginia/5 Workers Compensation/ -
Full And Final Pre-Mediation Statement (All Claims)
Virginia/5 Workers Compensation/ -
Full And Final Pre-Mediation Statement (Contested Original Claim)
Virginia/5 Workers Compensation/ -
Transportation Travel Expense
Virginia/5 Workers Compensation/ -
Claim Form
Virginia/Workers Compensation/ -
Petition For Medical Treatment
Virginia/Workers Compensation/ -
Supplemental Agreement
Virginia/Workers Compensation/ -
Contractors Certification Of Workers Compensation Insurance
Virginia/Workers Compensation/ -
Wage Chart
Virginia/Workers Compensation/ -
Employers Application For Hearing
Virginia/Workers Compensation/ -
Officer Manager Rejection Of Coverage
Virginia/Workers Compensation/
Form Preview
Contact Us
Success: Your message was sent.
Thank you!




