Last updated: 11/21/2022
Form 11-K Annual Reports Of Employee Stock Purchase Savings And Similar Plans (SEC617) {11-K}
Start Your Free Trial $ 12.99What you get:
- Instant access to fillable Microsoft Word or PDF forms.
- Minimize the risk of using outdated forms and eliminate rejected fillings.
- Largest forms database in the USA with more than 80,000 federal, state and agency forms.
- Download, edit, auto-fill multiple forms at once in MS Word using our Forms Workflow Ribbon
- Trusted by 1,000s of Attorneys and Legal Professionals
Description
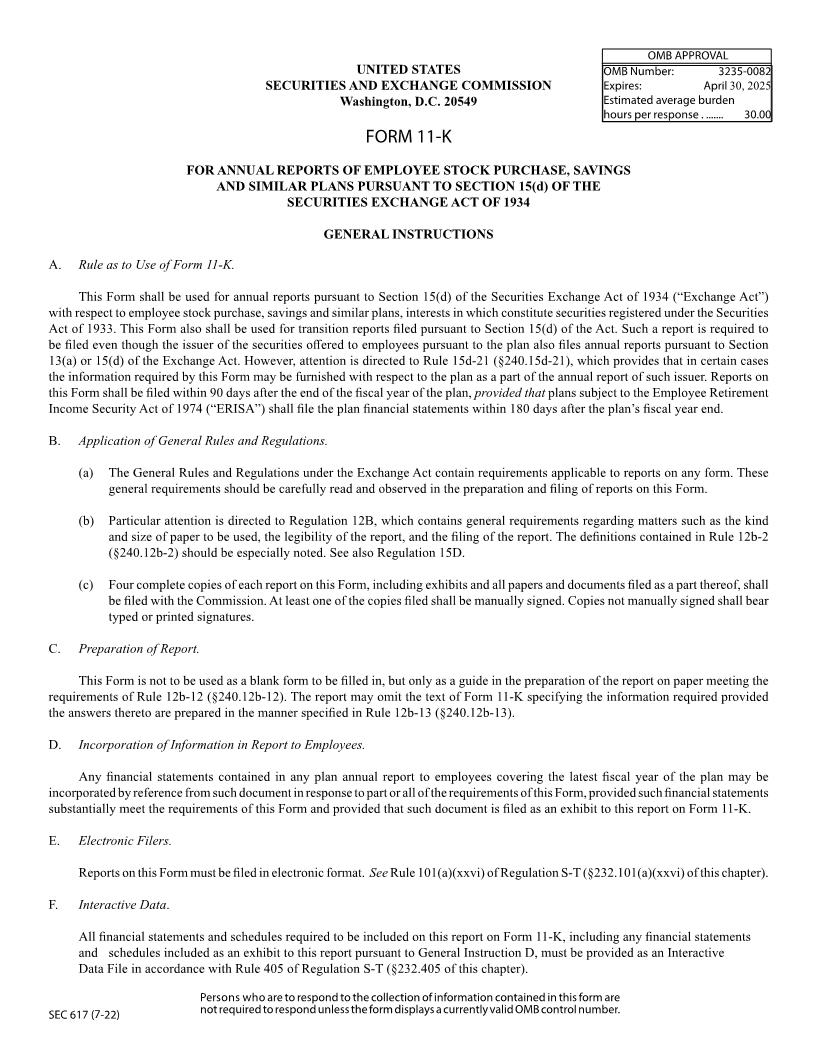
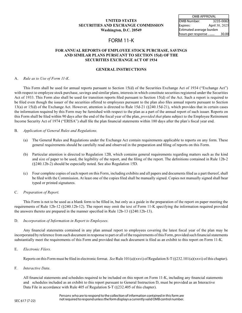
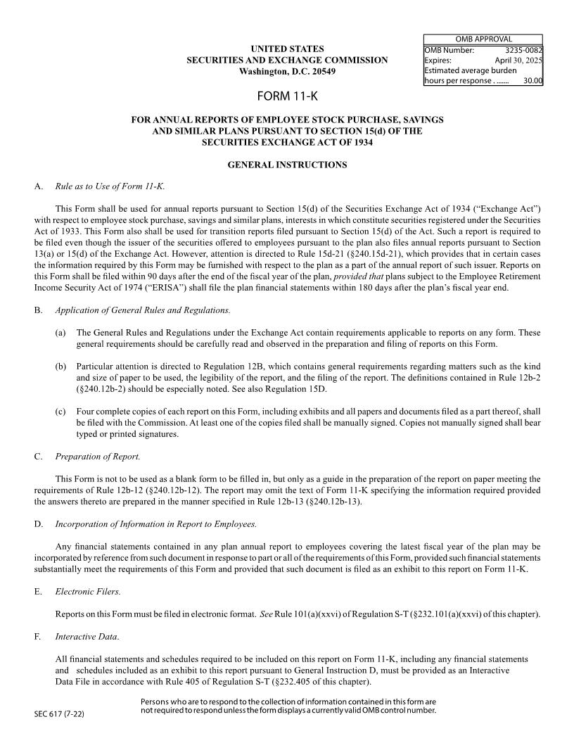
UNITED STATES SECURITIES AND EXCHANGE COMMISSION Washington, D.C. 20549 OMB APPROVAL OMB Number: 3235-0082 Expires: January 31, 2019 Estimated average burden hours per response. . . . . 30.00 FORM 11-K FOR ANNUAL REPORTS OF EMPLOYEE STOCK PURCHASE, SAVINGS AND SIMILAR PLANS PURSUANT TO SECTION 15(d) OF THE SECURITIES EXCHANGE ACT OF 1934 GENERAL INSTRUCTIONS A.Rule as to Use of Form 11-K.This Form shall be used for annual reports pursuant to Section 15(d) of the Securities Exchange Act of 1934 (223Exchange Act224)with respect to employee stock purchase, savings and similar plans, interests in which constitute securities registered under the Securities Act of 1933. This Form also shall be used for transition reports 336led pursuant to Section 15(d) of the Act. Such a report is required to be 336 led even though the issuer of the securities offered to employees pursuant to the plan also 336les annual reports pursuant to Section 13(a) or 15(d) of the Exchange Act. However, attention is directed to Rule 15d-21 (247240.15d-21), which provides that in certain cases the information required by this Form may be furnished with respect to the plan as a part of the annual report of such issuer. Reports on this Form shall be 336led within 90 days after the end of the 336scal year of the plan, provided that plans subject to the Employee Retirement Income Security Act of 1974 (223ERISA224) shall 336le the plan 336nancial statements within 180 days after the plan222s 336scal year end. B.Application of General Rules and Regulations.(a)The General Rules and Regulations under the Exchange Act contain requirements applicable to reports on any form. Thesegeneral requirements should be carefully read and observed in the preparation and 336ling of reports on this Form.(b)Particular attention is directed to Regulation 12B, which contains general requirements regarding matters such as the kindand size of paper to be used, the legibility of the report, and the 336ling of the report. The de336nitions contained in Rule 12b-2(247240.12b-2) should be especially noted. See also Regulation 15D.(c) Four complete copies of each report on this Form, including exhibits and all papers and documents 336led as a part thereof, shall be 336led with the Commission. At least one of the copies 336led shall be manually signed. Copies not manually signed shall beartyped or printed signatures.C.Preparation of Report.This Form is not to be used as a blank form to be 336lled in, but only as a guide in the preparation of the report on paper meeting therequirements of Rule 12b-12 (247240.12b-12). The report may omit the text of Form 11-K specifying the information required provided the answers thereto are prepared in the manner speci336ed in Rule 12b-13 (247240.12b-13). D.Incorporation of Information in Report to Employees.Any 336nancial statements contained in any plan annual report to employees covering the latest 336scal year of the plan may beincorporated by reference from such document in response to part or all of the requirements of this Form, provided such 336 nancial statements substantially meet the requirements of this Form and provided that such document is 336led as an exhibit to this report on Form 11-K. E.Electronic Filers.Reports on this Form may be 336led either in paper or in electronic format, at the 336 ler222s option. See Rule 101(b)(3) of RegulationS-T (247232.101(b)(3) of this chapter).Persons who are to respond to the collection of information contained in this form are not required to respond unless the form displays a currently valid OMB control number. SEC 617 () American LegalNet, Inc. www.FormsWorkFlow.com FORM 11-K (Mark One) ANNUALREPORT PURSUANT TO SECTION 15(d) OF THE SECURITIES EXCHANGE ACT OF 1934 For the 336scal year ended OR TRANSITION REPORT PURSUANT TO SECTION 15(d) OF THE SECURITIES EXCHANGE ACT OF 1934 For the transition period from to Commission 336 le number A. Full title of the plan and the address of the plan, if different from that of the issuer named below: B. Name of issuer of the securities held pursuant to the plan and the address of its principal executive of336ce: REQUIRED INFORMATION The following 336nancial statements shall be furnished for the plan: 1. An audited statement of 336nancial condition as of the end of the latest two 336scal years of the plan (or such lesser period as the plan has been in existence). 2. An audited statement of comprehensive income (either in a single continuous 336nancial statement or in two separate but consecutive 336nancial statements; or a statement of net income if there was no other comprehensive income) and changes in plan equity for each of the latest three 336scal years of the plan (or such lesser period as the plan has been in existence). 3. The statements required by Items 1 and 2 shall be prepared in accordance with the applicable provisions of Article 6A of Regulation S-X (17 CFR 210.6A-01227.6A-05). 4. In lieu of the requirements of Items 1-3 above, plans subject to ERISA may 336 le plan 336nancial statements and schedules prepared in accordance with the 336nancial reporting requirements of ERISA. To the extent required by ERISA, the plan 336 nancial statements shall be examined by an independent accountant, except that the 223limited scope exemption224 contained in Section 103(a)(3)(C) of ERISA shall not be available. Note: A written consent of the accountant is required with respect to the plan annual 336nancial statements which have been incorporated by reference in a registration statement on Form S-8 under the Securities Act of 1933. The consent should be 336led as an exhibit to this annual report. Such consent shall be currently dated and manually signed. SIGNATURES The Plan. Pursuant to the requirements of the Securities Exchange Act of 1934, the trustees (or other persons who administer the employee bene336t plan) have duly caused this annual report to be signed on its behalf by the undersigned hereunto duly authorized. (Name of Plan) Date (Signature) * *Print name and title of the signing of336cial under the signature. American LegalNet, Inc. www.FormsWorkFlow.com
Related forms
-
Form 3 Initial Statement Of Beneficial Ownership Of Securities (SEC1472)
Official Federal Forms/Securities And Exchange Commission/ -
Form N-17F-1 Certificate Of Accounting Of Securities And Similar Investments (SEC2205)
Official Federal Forms/Securities And Exchange Commission/ -
Form N-27D-1 Accounting Of Segregated Trust Account (SEC1840)
Official Federal Forms/Securities And Exchange Commission/ -
Form N-Q Quarterly Schedule Of Portfolio Holdings Of Registered Management Investment Company (SEC2455)
Official Federal Forms/Securities And Exchange Commission/ -
Form SIP Application Or Amendment To Application For Registration As Securities Information Processor (SEC1939)
Official Federal Forms/Securities And Exchange Commission/ -
Form N-54C Notification Of Withdrawal Of Election To Be Subject To Sections 55 Through 65 (SEC1938)
Official Federal Forms/Securities And Exchange Commission/ -
Form X-17A-5 Focus Report Part IIB OTC Derivates Dealer (SEC2430)
Official Federal Forms/Securities And Exchange Commission/ -
Form TA-2 Annual Report Of Transfer Agent Activities (SEC2113)
Official Federal Forms/Securities And Exchange Commission/ -
Form D Item 3 Continuation Page Related Persons (Continued)
Official Federal Forms/Securities And Exchange Commission/ -
Form D Items 1 And 2 Continuation Page Issuers Identity And Contact Information
Official Federal Forms/Securities And Exchange Commission/ -
Form X-17F-1A Missing-Lost-Stolen-Counterfeit Securities Report (SEC1666)
Official Federal Forms/Securities And Exchange Commission/ -
Form 7-M Irrevocable Appointment Of Agent For Service Of Process (Individual) (SEC876)
Official Federal Forms/Securities And Exchange Commission/ -
Form 8-M Irrevocable Appointment Of Agent For Service Of Process (Corporate) (SEC877)
Official Federal Forms/Securities And Exchange Commission/ -
Form 9-M Irrevocable Appointment Of Agent For Service Of Process (Partnership) (SEC878)
Official Federal Forms/Securities And Exchange Commission/ -
Form 10-M Irrevocable Appointment Of Agent For Service Of Process (General Partner) (SEC879)
Official Federal Forms/Securities And Exchange Commission/ -
Form D Item 12 Sales Compensation (Continued)
Official Federal Forms/Securities And Exchange Commission/ -
Form N-6E1-1 Notification Of Claim Of Exemption Pursuant To Rule 6e-2 Or 6e-3(T) (SEC1130)
Official Federal Forms/Securities And Exchange Commission/ -
Form SDR Application Or Amendment To Application For Registration Or Withdrawal (SEC2911)
Official Federal Forms/Securities And Exchange Commission/ -
Form SCI Systems Compliance And Integrity (SEC2919)
Official Federal Forms/Securities And Exchange Commission/ -
Form CFPORTAL Application Or Amendment To Application For Registration Or Withdrawal
Official Federal Forms/Securities And Exchange Commission/ -
Form SBSE-C Certifications For Registrations Of Security-Based Swap Dealers (SEC2927)
Official Federal Forms/Securities And Exchange Commission/ -
Form SBSE-W Request For Withdrawal From Registration-Swap Dealer (SEC2928)
Official Federal Forms/Securities And Exchange Commission/ -
Form SBSE Application For Registration Of Security-Based Swap Dealers (SEC2924)
Official Federal Forms/Securities And Exchange Commission/ -
Form SBSE-A Application For Registration Of Security-Based Swap Dealers (SEC2925)
Official Federal Forms/Securities And Exchange Commission/ -
Form SBSE-BD Application For Registration Of Security-Based Swap Dealers (SEC2926)
Official Federal Forms/Securities And Exchange Commission/ -
Form R31 Form For Reporting Covered Sales And Covered Round Turn Transactions Under Section 31 (SEC2502)
Official Federal Forms/Securities And Exchange Commission/ -
Form 19b-4(e) Information Required Of A Self-Regulatory Organization Listing And Trading (SEC2449)
Official Federal Forms/Securities And Exchange Commission/ -
Form PILOT Initial Operation Report Amendment To Initial Operation Report And Quarterly Report (SEC2552)
Official Federal Forms/Securities And Exchange Commission/ -
Form MSDW Notice Of Withdrawal From Registration As A Muni Securities Dealer (SEC1588)
Official Federal Forms/Securities And Exchange Commission/ -
Form 19b-4 Proposed Rule Change By Self-Regulatory Organization (SEC1832)
Official Federal Forms/Securities And Exchange Commission/ -
Form ADV (Paper Version) Uniform Application For Investment Adviser Registration (Part 1B) (SEC1707)
Official Federal Forms/Securities And Exchange Commission/ -
Form 1-N Form And Amendments For Notice Of Registration (SEC2568)
Official Federal Forms/Securities And Exchange Commission/ -
Form SD Specialized Disclosure Report (SEC0697)
Official Federal Forms/Securities And Exchange Commission/ -
Form MA-I Information Regarding Natural Persons Engage In Municipal Advisory Activities (SEC2899)
Official Federal Forms/Securities And Exchange Commission/ -
Form MA-NR Designation Of US Agent For Service Of Process (SEC2900)
Official Federal Forms/Securities And Exchange Commission/ -
Form MA-W Notice Of Withdrawal From Registration As Municipal Advisor (SEC2901)
Official Federal Forms/Securities And Exchange Commission/ -
Form MA Application For Municipal Adivsor Registration (SEC2898)
Official Federal Forms/Securities And Exchange Commission/ -
Form 15F Certification Of A Foreign Private Issuers Termination Of Registration
Official Federal Forms/Securities And Exchange Commission/ -
Form BD-N Notice Of Registration As A Broker-Dealer For The Purpose Of Trading Security Futures (SEC1500)
Official Federal Forms/Securities And Exchange Commission/ -
Form CUSTODY For Broker Dealers (SEC2897)
Official Federal Forms/Securities And Exchange Commission/ -
Form MSD Application For Registration As A Municipal Securities Dealer (SEC1534)
Official Federal Forms/Securities And Exchange Commission/ -
Form N-17D-1 Report Filed By Small Business Investment Company (SEC1839)
Official Federal Forms/Securities And Exchange Commission/ -
Form N-8B-4 Registration Statement Of Face-Amount Certificate Companies (SEC1285)
Official Federal Forms/Securities And Exchange Commission/ -
Form CA-1 Application For Registration Or Exemption From Registration As A Clearing Agency (SEC1853)
Official Federal Forms/Securities And Exchange Commission/ -
Form N-18F-1 Notification Of Election Pursuant To Rule 18f-1 Under The Investment Company Act Of 1940 (SEC1846)
Official Federal Forms/Securities And Exchange Commission/ -
Form ADV-H Application For A Temporary Or Continuing Hardship Exemption (SEC2566)
Official Federal Forms/Securities And Exchange Commission/ -
Form ADV-W (Paper Version) Notice Of Withdrawal From Registration (SEC777)
Official Federal Forms/Securities And Exchange Commission/ -
Form 19b-7 Proposed Rule Change By (Self-Regulatory Organization) (SEC2450)
Official Federal Forms/Securities And Exchange Commission/ -
Form N-CR Current Report Money Market Fund Material Events (SEC2918)
Official Federal Forms/Securities And Exchange Commission/ -
Form X-17A-5 Focus Report Part IIA (SEC1696)
Official Federal Forms/Securities And Exchange Commission/ -
Form X-17A-5 Focus Report Part I (SEC1705)
Official Federal Forms/Securities And Exchange Commission/ -
Form X-17A-5 Focus Report Form X-17A-5 Schedule 1 (SEC1675)
Official Federal Forms/Securities And Exchange Commission/ -
Form N-6F Notice Of Intent To Elect To Be Subject To Sections 55-65 Of The Investment Company Act Of 1940 (SEC1936)
Official Federal Forms/Securities And Exchange Commission/ -
Form 2-E Report Pursuant To Rule 609 Of Regulation E (SEC1808)
Official Federal Forms/Securities And Exchange Commission/ -
Form F-N Appointment Of Agent For Service Of Process By Foreign Banks (SEC2306)
Official Federal Forms/Securities And Exchange Commission/ -
Form N-54A Notification Of Election To Be Subject To Sections 55 Through 65 (SEC1937)
Official Federal Forms/Securities And Exchange Commission/ -
Form WB-APP Application For Award For Original Information (SEC2851)
Official Federal Forms/Securities And Exchange Commission/ -
Form D Notice Of Sale Of Securities Pursuant To Regulation D Section 4(6) (SEC1972)
Official Federal Forms/Securities And Exchange Commission/ -
Form 13H Information Required Of Large Traders Pursuant To Section 13(h) (SEC2858)
Official Federal Forms/Securities And Exchange Commission/ -
Form 25 Notification Of The Removal From Listing And Registration Of Matured Redeemed Or Retired Securities (SEC1654)
Official Federal Forms/Securities And Exchange Commission/ -
Form TCR Tip Complaint Or Referral (SEC2850)
Official Federal Forms/Securities And Exchange Commission/ -
Form 15 Certification And Notice Of Termination Of Registration Under Section 12(g) (SEC2069)
Official Federal Forms/Securities And Exchange Commission/ -
Form 3 Initial Statement Of Beneficial Ownership Of Securities (SEC1473)
Official Federal Forms/Securities And Exchange Commission/ -
Form N-17F-2 Certificate Of Accounting Of Securities And Similar Investments (SEC2198)
Official Federal Forms/Securities And Exchange Commission/ -
Form ABS DD-15E Certification Of Provider Of Third-Party Due Diligence Services (SEC2917)
Official Federal Forms/Securities And Exchange Commission/ -
Form 10-D Asset-Backed Issuer Distribution Report (SEC2503)
Official Federal Forms/Securities And Exchange Commission/ -
Form ATS Initial Operation Report Amendment To Initial Operating Report (SEC2550)
Official Federal Forms/Securities And Exchange Commission/ -
Form ATS-R Quarterly Report Of Alternative Trading System Activities (SEC2551)
Official Federal Forms/Securities And Exchange Commission/ -
Form X-17A-5 Focus Report Part IIC
Official Federal Forms/Securities And Exchange Commission/ -
Form X-17A-19 Report Of Change In Memberhip Status (SEC1414)
Official Federal Forms/Securities And Exchange Commission/ -
Form N-23C-3 Notification Of Repurchase Offer (SEC2380)
Official Federal Forms/Securities And Exchange Commission/ -
Form N-4 Registration Statement Under The Securites Act Of 1933 (Trusts) (SEC2125)
Official Federal Forms/Securities And Exchange Commission/ -
Form N-6 Registration Statement (Separate Accounts Organized As Unit Investment Trusts) (SEC2567)
Official Federal Forms/Securities And Exchange Commission/ -
Form 24F-2 Annual Notice Of Securities Sold Pursuant To Rule 24F-2 (SEC2393)
Official Federal Forms/Securities And Exchange Commission/ -
Form S-8 Registration Statement Under The Securities Act Of 1933 (SEC1398)
Official Federal Forms/Securities And Exchange Commission/ -
Form SF-3 Registration Statement Under The Securities Act Of 1933 (SEC2909)
Official Federal Forms/Securities And Exchange Commission/ -
Form X-17A Annual Audited Report Part III (SEC1410)
Official Federal Forms/Securities And Exchange Commission/ -
Form ADV-E Certificate Of Accounting Of Client Securities And Funds (SEC2223)
Official Federal Forms/Securities And Exchange Commission/ -
Form ATS-N NMS Stock Alternative Trading Systems
Official Federal Forms/Securities And Exchange Commission/ -
Form F-3 Registration Statement For Securities Act Of 1933 (SEC1983)
Official Federal Forms/Securities And Exchange Commission/ -
Form SF-1 Registration Statement Under The Securities Act Of 1933 (SEC2908)
Official Federal Forms/Securities And Exchange Commission/ -
Form 1-E Notification Under Regulation E (SEC1807)
Official Federal Forms/Securities And Exchange Commission/ -
Form F-6 Registration Statement For Depositary Shares Evidenced By American Depository Receipts (SEC2001)
Official Federal Forms/Securities And Exchange Commission/ -
Form ABS-EE Form For Submission Of Electronic Exhibits For Asset Backed Securities (SEC2910)
Official Federal Forms/Securities And Exchange Commission/ -
Form N-PX Annual Report Of Prox Voting Record Of Registered Management Investment Company (SEC2451)
Official Federal Forms/Securities And Exchange Commission/ -
Form N-MFP Monthly Schedule Of Portfolio Holdings Of Money Market Funds (SEC2847)
Official Federal Forms/Securities And Exchange Commission/ -
Form N-5 Registration Statement Of Small Business Investment Company (SEC0993)
Official Federal Forms/Securities And Exchange Commission/ -
Form N-3 Registration Statement (Accounts Organized As Management Investment Co.) (SEC2124)
Official Federal Forms/Securities And Exchange Commission/ -
Form 12b-25 Notification Of Late Filing (SEC1344)
Official Federal Forms/Securities And Exchange Commission/ -
Form SE For Submission Of Paper Format Exhibits By Electronic Filers (SEC2082)
Official Federal Forms/Securities And Exchange Commission/ -
Form TH Notification Of Reliance On Temporary Hardship Exemption (SEC2348)
Official Federal Forms/Securities And Exchange Commission/ -
Form 1-U Current Report Pursuant To Regulation A (SEC2915)
Official Federal Forms/Securities And Exchange Commission/ -
Form 1-Z Exit Report Under Regulation A (SEC2916)
Official Federal Forms/Securities And Exchange Commission/ -
Form ABS-15G Asset-Backed Securitizer Report (SEC2860)
Official Federal Forms/Securities And Exchange Commission/ -
Form 1 Application And Amendments To Application For Registration As A National Securities Exchange (SEC1935)
Official Federal Forms/Securities And Exchange Commission/ -
Form 8-A For Registration Of Certain Classes Of Securities Pursuant To Section 12(b) Or (g) (SEC1922)
Official Federal Forms/Securities And Exchange Commission/ -
Form N-CEN Annual Report For Registered Investment Companies (SEC2846)
Official Federal Forms/Securities And Exchange Commission/ -
Form T-6 Application-For Determination Of Elegibility Of A Foreign Person To Act As Institutional Trustee (SEC2275)
Official Federal Forms/Securities And Exchange Commission/ -
Form N-LIQUID Current Report Open-End Management Investment Company (SEC2941)
Official Federal Forms/Securities And Exchange Commission/ -
Form T-1 (Statement Of Eligibility And Qualification Under The Trust Indenture Act) (SEC1836)
Official Federal Forms/Securities And Exchange Commission/ -
Form T-2 Statement Of Eligibility Under The Trust Indenture Act-An Individual Designated To Act As Trustee (SEC1849)
Official Federal Forms/Securities And Exchange Commission/ -
Form T-3 For Applications For Qualification Of Indentures Under The Trust Indenture Act (SEC1919)
Official Federal Forms/Securities And Exchange Commission/ -
Form ADV (Paper Version) Uniform Application For Investment Adviser Registration (Execution Pages) (SEC1707)
Official Federal Forms/Securities And Exchange Commission/ -
Form ADV (Paper Version) Uniform Application For Investment Adviser Registration (Part 1A) (SEC1707)
Official Federal Forms/Securities And Exchange Commission/ -
Form ADV (Paper Version) Uniform Application For Investment Adviser Registration (Part 2) (SEC1707)
Official Federal Forms/Securities And Exchange Commission/ -
Form ADV (Paper Version) Uniform Application For Investment Adviser Registration (SEC1707)
Official Federal Forms/Securities And Exchange Commission/ -
Form ADV-NR Appointment Of Agent For Service Of Process By Non-Resident (SEC2565)
Official Federal Forms/Securities And Exchange Commission/ -
Form N-8F Application For Deregistration Of Certain Registered Investment Companies (SEC1691)
Official Federal Forms/Securities And Exchange Commission/ -
Form N-14 Registration Statement Under The Securities Act Of 1933 (SEC2106)
Official Federal Forms/Securities And Exchange Commission/ -
Form N-8A Notification Of Registration Filed Pursuant To Sect 8(a) (SEC1102)
Official Federal Forms/Securities And Exchange Commission/ -
Form 1-SA Semiannual Report Or Special Financial Report Pursuant To Regulation A (SEC2914)
Official Federal Forms/Securities And Exchange Commission/ -
Form F-8 Registration Statement Under The Securities Act Of 1933 (Canadian Issuers) (SEC2290)
Official Federal Forms/Securities And Exchange Commission/ -
Form S-11 For Registration Under The Securities Act Of 1933-Real Estate Companies (SEC907)
Official Federal Forms/Securities And Exchange Commission/ -
Form T-4 Application For Exemption Filed Pursuant To Section 304(c) Of The Trust Indenture Act Of 1939 (SEC1920)
Official Federal Forms/Securities And Exchange Commission/ -
Form 10 General Form For Registration Of Securities (SEC1396)
Official Federal Forms/Securities And Exchange Commission/ -
Form 11-K Annual Reports Of Employee Stock Purchase Savings And Similar Plans (SEC617)
Official Federal Forms/Securities And Exchange Commission/ -
Form 144 Notice Of Proposed Sale Of Securities Pursuant To Rule 144 (SEC1147)
Official Federal Forms/Securities And Exchange Commission/ -
Form 17-H Risk Assessment Report For Brokers And Dealers (SEC2332)
Official Federal Forms/Securities And Exchange Commission/ -
Form 18-K Annual Report For Foreign Governments And Political Subdivisions Thereof (SEC1797)
Official Federal Forms/Securities And Exchange Commission/ -
Form BDW Uniform Request For Broker Dealer Registration (SEC122)
Official Federal Forms/Securities And Exchange Commission/ -
Form CB Tender Offer-Rights Offering Notification Form (SEC2560)
Official Federal Forms/Securities And Exchange Commission/ -
Form F-10 Registration Statement Under The Securities Act Of 1933 (Canadian Issuers) (SEC2292)
Official Federal Forms/Securities And Exchange Commission/ -
Form F-7 Registration Statement Under The Securities Act Of 1933 (SEC2289)
Official Federal Forms/Securities And Exchange Commission/ -
Form F-X Appointment Of Agent For Service Of Process And Undertaking (SEC2288)
Official Federal Forms/Securities And Exchange Commission/ -
Form S-4 Registration Statement Under The Securities Act Of 1933 (SEC2077)
Official Federal Forms/Securities And Exchange Commission/ -
Form TA-1 Uniform Form For Registration As Transfer Agent And For Amendment (SEC1528)
Official Federal Forms/Securities And Exchange Commission/ -
Form TA-W Notive Of Withdrawal From Registration As Transfer Agent (SEC1669)
Official Federal Forms/Securities And Exchange Commission/ -
Form 13F Information Required Of Institutional Investment Managers (SEC1685)
Official Federal Forms/Securities And Exchange Commission/ -
Form 10-Q (SEC1296)
Official Federal Forms/Securities And Exchange Commission/ -
Form 4 Statement Of Changes In Beneficial Ownership Of Securities (SEC1474)
Official Federal Forms/Securities And Exchange Commission/ -
Form C (SEC2930}
Official Federal Forms/Securities And Exchange Commission/ -
Form N-1A Registration Statement (Open-End Management Investment Companies) (SEC2052)
Official Federal Forms/Securities And Exchange Commission/ -
Form 5 Annual Statement Of Beneficial Ownership Of Securities (General Instructions) (SEC2270)
Official Federal Forms/Securities And Exchange Commission/ -
Form 5 Annual Statement Of Changes In Benificial Ownership Of Securities (SEC2270)
Official Federal Forms/Securities And Exchange Commission/ -
Form BD Uniform Application For Broker Dealer Registration (SEC1490)
Official Federal Forms/Securities And Exchange Commission/ -
Form S-20 Registration Statement Under The Securities Act Of 1933 (SEC2013)
Official Federal Forms/Securities And Exchange Commission/ -
Form 4 Statement Of Changes Of Beneficial Ownership Of Securities Instructions (SEC1475)
Official Federal Forms/Securities And Exchange Commission/ -
Form 6-K Report Of Foreign Private Issuer Pursuant To Rule 13a-16 Or 15d-16 Under The S.E.A. of 1934 (SEC1815)
Official Federal Forms/Securities And Exchange Commission/ -
Form 20-F Registration Statement Or Annual Report Or Transition Report (SEC1852)
Official Federal Forms/Securities And Exchange Commission/ -
Form N-PORT Monthly Portfolio Investments Report (SEC2940)
Official Federal Forms/Securities And Exchange Commission/ -
Form S-6 (Facing Sheet) For Registration Under The Securities Act Of 1933 (SEC649)
Official Federal Forms/Securities And Exchange Commission/ -
Form N-2 Registration Statement Under The SEA of 1933 And Or Investment Co Act Of 1940 (SEC1716)
Official Federal Forms/Securities And Exchange Commission/ -
Form N-8B-2 Registration Statement Of Unit Investment Trusts Which Are Currently Issuing Securities (SEC0977)
Official Federal Forms/Securities And Exchange Commission/ -
Form NRSRO Application For Registration As A Nationally Recognized Statistical Rating Organization (SEC1541)
Official Federal Forms/Securities And Exchange Commission/ -
Form X-17A-5 Focus Report Part II (SEC1695)
Official Federal Forms/Securities And Exchange Commission/ -
Form SBSEF Security-Based Swap Execution Facility Appilcation For Registration
Official Federal Forms/Securities And Exchange Commission/ -
Form 1-A Regulation Offering Statement Under The Securities Act Of 1933 (SEC486)
Official Federal Forms/Securities And Exchange Commission/ -
Form 10-K Annual Report Pursuant To Sec 13 Or 15(d) Of The SEA Of 1934 (SEC1673)
Official Federal Forms/Securities And Exchange Commission/ -
Form 8-K Current Report Pursuant To Section 13 Or 15(d) Of The Securities Exchange Act (SEC873)
Official Federal Forms/Securities And Exchange Commission/ -
Form F-1 Registration Statement Under The Securities Act Of 1933 (SEC1981)
Official Federal Forms/Securities And Exchange Commission/ -
Form F-4 Registration Statement Under The Securities Act Of 1933 (SEC2078)
Official Federal Forms/Securities And Exchange Commission/ -
Form S-1 Registration Statement Under The Securities Act Of 1933 (SEC870)
Official Federal Forms/Securities And Exchange Commission/ -
Form N-CSR Certified Shareholder Report Of Registered Management Investment Companies (SEC2569)
Official Federal Forms/Securities And Exchange Commission/
Form Preview
Contact Us
Success: Your message was sent.
Thank you!




