Last updated: 5/26/2020
Chapter 13 Plan
Start Your Free Trial $ 21.99What you get:
- Instant access to fillable Microsoft Word or PDF forms.
- Minimize the risk of using outdated forms and eliminate rejected fillings.
- Largest forms database in the USA with more than 80,000 federal, state and agency forms.
- Download, edit, auto-fill multiple forms at once in MS Word using our Forms Workflow Ribbon
- Trusted by 1,000s of Attorneys and Legal Professionals
Description
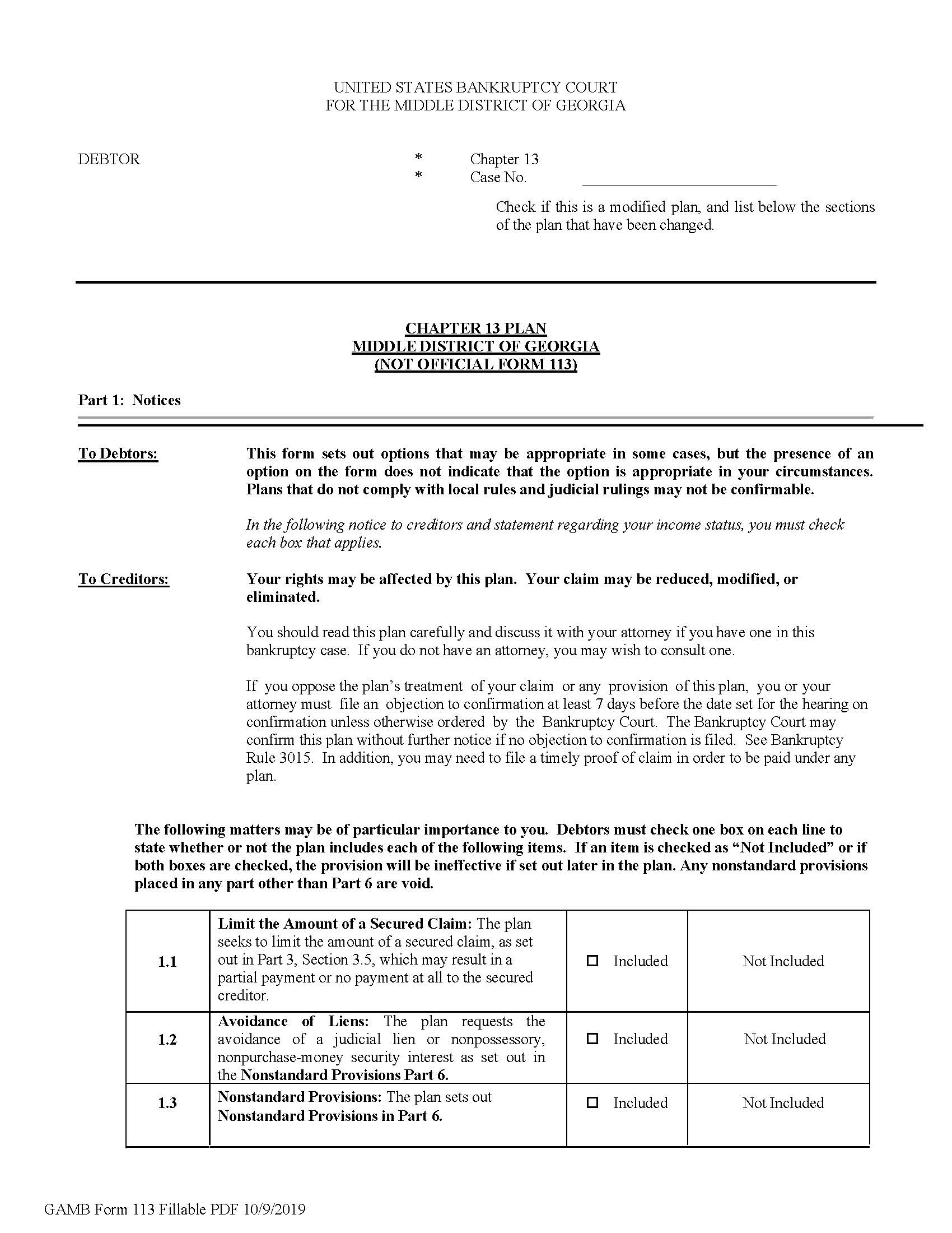
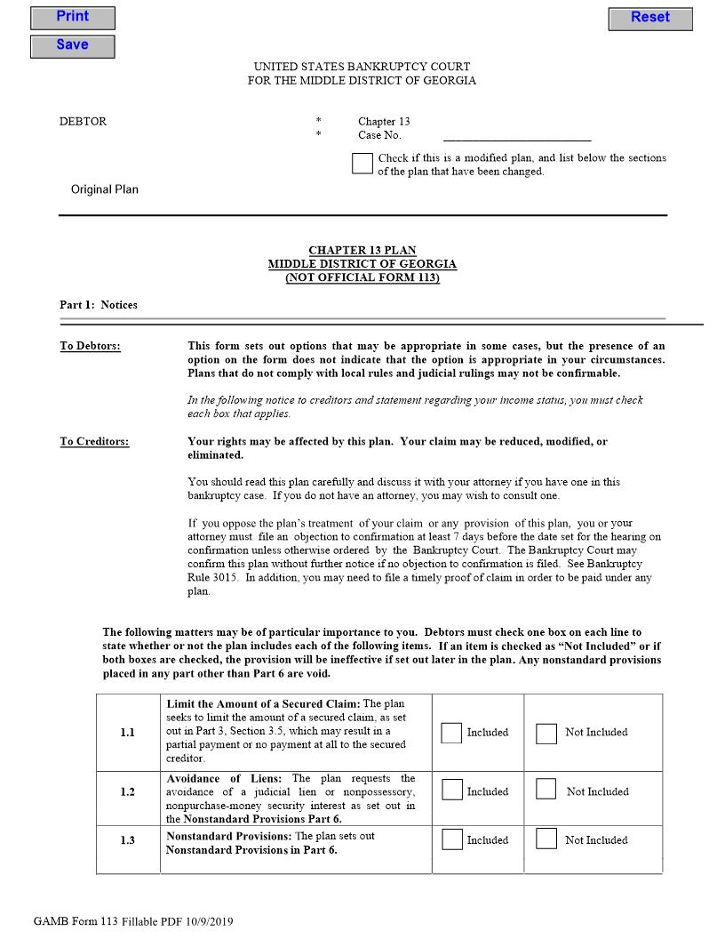
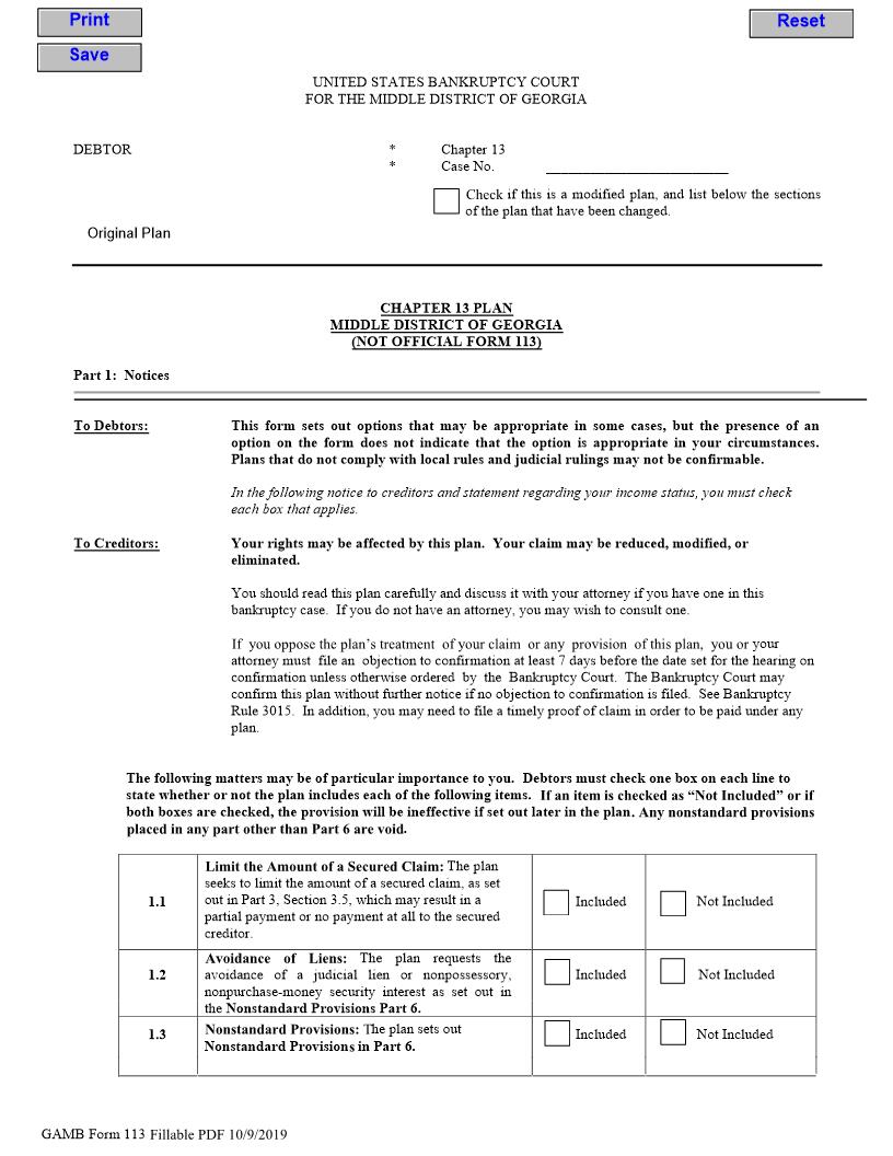
GAMB Form 113 /1UNITED STATES BANKRUPTCY COURT FOR THE MIDDLE DISTRICT OF GEORGIA * Chapter 13 * Case No. DEBTOR if this is a modified plan, and list below the sectionsof the plan that have been changed. CHAPTER 13 PLAN MIDDLE DISTRICT OF GEORGIA (NOT OFFICIAL FORM 113) Part 1: Notices To Debtors: This form sets out options that may be appropriate in some cases, but the presence of an option on the form does not indicate that the option is appropriate in your circumstances. Plans that do not comply with local rules and judicial rulings may not be confirmable. In the following notice to creditors and statement regarding your income status, you must check each box that applies. To Creditors: Your rights may be affected by this plan. Your claim may be reduced, modified, or eliminated. You should read this plan carefully and discuss it with your attorney if you have one in this bankruptcy case. If you do not have an attorney, you may wish to consult one. your attorney must file an objection to confirmation at least 7 days before the date set for the hearing on confirmation unless otherwise ordered by the Bankruptcy Court. The Bankruptcy Court may confirm this plan without further notice if no objection to confirmation is filed. See Bankruptcy Rule 3015. In addition, you may need to file a timely proof of claim in order to be paid under any plan. The following matters may be of particular importance to you. Debtors must check one box on each line to state whether or not the plan includes each of the following items. both boxes are checked, the provision will be ineffective if set out later in the plan. 1.1 The planseeks to limit the amount of a secured claim, as set out in Part 3, Section 3.5, which may result in a partial payment or no payment at all to the secured creditor. Included Not Included 1.2 The plan requests theavoidance of a judicial lien or nonpossessory, nonpurchase-money security interest as set out in the Nonstandard Provisions Part 6. Included Not Included 1.3 he plan sets outNonstandard Provision in Part 6. Included Not Included American LegalNet, Inc. www.FormsWorkFlow.com GAMB Form 113//1 Income status of debtor(s) as stated on Official form 122-C1 Check One: The current monthly income of the debtor(s) is less than the applicable median income specified in 11 U.S.C. 2471325(b)(4)(A). The current monthly income of the debtor(s) is not less than the applicable median income specified in 11 U.S.C. 2471325(b)(4)(A). Part 2: Plan Payments and Length of Plan 2.1. The future earnings of the debtor(s) are submitted to the supervision and control of the Trusteeand the debtor(s) (or the dTrustee the sum of . (If the payments change over time include the following.) These plan payments on . 2.2. Additional ayments of 2.3. The Trustee percentage fee as set by the United States Trustee will be collected from each payment made by the debtor. 2.4. If the debtor(s) current monthly income is less than the applicable median income specified in 11 U.S.C.2471325(b)(4)(A) the debtor(s) will make a minimum of 36 monthly payments. If the debtor(s) current monthly income is not less than the applicable median income specified in11U.S.C.2471325(b)(4)(A) the debtor(s) will make payments for a minimum of 57 months. Part 3: Treatment of Secured Claims From the payments so received, the Trustee shall make disbursements to allowed claims as follows: 3.1. The monthly payments will be made on the following long-term debts: (Payments which become due after the filing of the petition but before themonth of the first payment designated here will be added to the pre-petition arrearage claim.) NAME OF CREDITOR MONTHLY AMOUNT MONTH OF FIRST UNDERPLAN American LegalNet, Inc. www.FormsWorkFlow.com GAMB Form 113 //1 3.2. After confirmation, distributions will be made to cure arrearages on long term debts where the last payment is due after the last paymentunder the plan. If no monthly payment is designated, the arrearage claims will be paid after the short term secured debts listed in Section 3.3 and 3.5 ESTIMATED NAME OF AMOUNT INTEREST COLLATERAL DUE RATE MONTHLY PAYMENTIF ANY (if applicable) 3.3 The following claims are not subject to cram down because debts aresecured by a purchase money security interest in a vehicle for which the debt was incurred within 910 days of filing the bankruptcy petition, or, if the collateral for the debt is any other thing of value, the debt was incurred within 1 year of filing. See NAME OF MONTHLY RATE PAYMENT 3.4. Preconfirmation adequate protection payments will be made to thefollowing secured creditors and holders of executory contracts after the filing of a proof of claim by the creditor. These payments will be applied to reduce the principal of the claim. NAME OF CREDITOR ADEQUATE PROTECTIONAMOUNT 3.5 After confirmation of the plan, the following secured creditorswho are subject to cramdown, with allowed claims will be paid as follows: If the value is less than the amount due, the secured claim is modified to pay the value only as secured. If the value is listed as $0.00 the creditors allowed claim will be treated as unsecured. If the value is greater than or equal to the allowed secured claim, the claim will be paid in full. NAME OF AMOUNT VALUE INTEREST MONTHLY RATE PAYMENT AMOUNT COLLATERAL COLLATERAL American LegalNet, Inc. www.FormsWorkFlow.com GAMB Form 113 //1 3.6. The following collateral is surrendered to the creditor. If the debtor(s) is surrendering thecollateral for a specific payment credit or in full satisfaction of the debt, a statement explaining the treatment should be indicated in Part 6 Nonstandard Provisions. The debtor(s) agree to termination of the stay under 11 U.S.C. NAME OF CREDITOR DESCRIPTION OF COLLATERAL 3.7 The following debts will be paid directly by the debtor(s): NAME OF CREDITOR COLLATERAL 3.8 The judicial liens or non-possessory, non-purchase security interests that are being avoidedare listed in Part 6 Nonstandard Provisions. Part 4: Treatment of Fees and Priority Debt 4.1. to be paid as follows: Attorney fees ordered pursuant to 11 U.S.C. 247 507(a)(2) of(SELECT ONE) Pursuant to the current Administrative Order on Attorney Fee Awards 4.2. The following domestic support obligations will be paid over the life of the plan asfollows: These payments will be made simultaneously with payment of the secured debt to the extent funds are available and will include interest at the rate of . (If this is left blank, no interest will be paid.) NAME OF CREDITOR PAYMENT AMOUNT 4.3. All other 11 U.S.C. 247 507 priority claims, unless already listed under 4.2 will be paid infull over the life of the plan as funds become available in the order specified by law. By another method as set out in Part 6 Nonstandard Provisions. Attorney will be required to submitanitemization of their time to the Court. American LegalNet, Inc. www.FormsWorkFlow.com GAMB Form 113 //1Part 5: Treatment of Non Priority Unsecured Claims 5.1. Debtor(s) will make payments that will meet all of the following parameters(these are not cumulative debtor(s) will pay the highest of the three) (a) Debtor(s) will pay all of the disposable income as shown on Form 22C of tothe non-priority unsecured creditors in order to be eligible for a discharge, unless debtor(s) includecontrary provisions in Part 6 Nonstandard Provisions along with sufficient legal reason justifying the excusal from meeting this requirement. (b) If the debtor(s) filed a Chapter 7 case, the priority and other unsecured creditors would receive . Debtor(s) will pay this amount to the priority and other unsecured creditors in order to be eligible for discharge in this case. (c) The debtor(s) will pay to the general unsecured creditors to be distributed prorata. 5.2. General unsecured creditors whose claims are duly proven andallowed will be paid (CHOOSE ONLY ONE) (a) dividend as long as this dividend exceeds the highest amount, if any, shown in paragraph5.1(a), 5.1(b), or 5.1(c) and the debtor(s) makes payment for the applicable commitment period as indicated in Part 2 Section 2.4. (b) he debtor(s) anticipates unsecured creditors will receive a dividend of but will also pay th





