Last updated: 4/1/2019
Judgment Checklist-Default By Court (Unlawful Detainer-Money Judgment) {CIV-200}
Start Your Free Trial $ 13.99What you get:
- Instant access to fillable Microsoft Word or PDF forms.
- Minimize the risk of using outdated forms and eliminate rejected fillings.
- Largest forms database in the USA with more than 80,000 federal, state and agency forms.
- Download, edit, auto-fill multiple forms at once in MS Word using our Forms Workflow Ribbon
- Trusted by 1,000s of Attorneys and Legal Professionals
Description
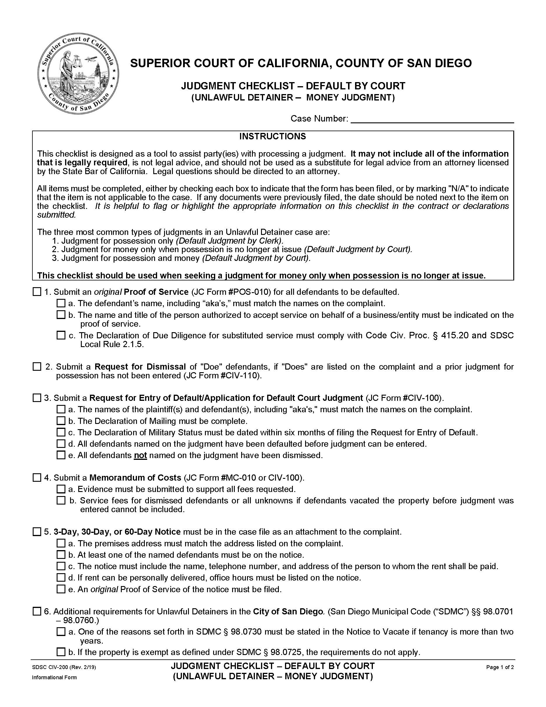
CIV-200, JUDGMENT CHECKLIST – DEFAULT BY COURT (UNLAWFUL DETAINER – MONEY JUDGMENT), INSTRUCTIONS This checklist is designed as a tool to assist party(ies) with processing a judgment. It may not include all of the information that is legally required, is not legal advice, and should not be used as a substitute for legal advice from an attorney licensed by the State Bar of California. Legal questions should be directed to an attorney. All items must be completed, either by checking each box to indicate that the form has been filed, or by marking "N/A" to indicate that the item is not applicable to the case. If any documents were previously filed, the date should be noted next to the item on the checklist. It is helpful to flag or highlight the appropriate information on this checklist in the contract or declarations submitted. The three most common types of judgments in an Unlawful Detainer case are: 1. Judgment for possession only (Default Judgment by Clerk). 2. Judgment for money only when possession is no longer at issue (Default Judgment by Court). 3. Judgment for possession and money (Default Judgment by Court). This checklist should be used when seeking a judgment for money only when possession is no longer at issue. SDSC CIV-200 (Rev. 2/19), Informational Form. www.FormsWorkflow.com
Related forms
-
Notice Of Pendency Of Action
California/Local County/San Diego/Civil/ -
Notice Of Pro Tempore Court Reporter Deposit
California/Local County/San Diego/Civil/ -
Order For Issuance Of Writ Of Execution Abstract Of Judgment Sister State Judgment
California/Local County/San Diego/Civil/ -
Order For Release Of Impounded Vehicle
California/Local County/San Diego/Civil/ -
Stipulation Order For Court Ordered Arbitration
California/Local County/San Diego/Civil/ -
Stipulation Re Jury
California/Local County/San Diego/Civil/ -
Declaration Re Default In Installment Payments And Order Thereon
California/Local County/San Diego/Civil/ -
Proof Of Service By First Class Mail-Civil (Proof Of Service)
California/Local County/San Diego/Civil/ -
Declaration Of Default Re Stipulated Agreement And Judgement Thereon
California/Local County/San Diego/Civil/ -
Attached Descriptions
California/Local County/San Diego/Civil/ -
Proof Of Personal Service-Civil (San Diego)
California/Local County/San Diego/Civil/ -
Request For Dismissal-Freedown From Parental Custody And Control
California/Local County/San Diego/Civil/ -
Sister State Judgments
California/Local County/San Diego/Civil/ -
Stipulation To Use Of Alternative Dispute Resolution Process
California/Local County/San Diego/Civil/ -
Writ Of Attachment Attachment (San Diego)
California/Local County/San Diego/Civil/ -
Request-Counter Request To Set Case For Trial-Unlawful Detainer (San Diego)
California/Local County/San Diego/Civil/ -
Judgment-Unlawful Detainer (San Diego)
California/Local County/San Diego/Civil/ -
Judgment-Unlawful Detainer Attachment (San Diego)
California/Local County/San Diego/Civil/ -
Application For Entry Of Judgment On Sister State Judgment (San Diego)
California/Local County/San Diego/Civil/ -
Notice Of Entry Of Judgment On Sister State Judgment (San Diego)
California/Local County/San Diego/Civil/ -
Juror Questionnaire Cover Sheet
California/Local County/San Diego/Civil/ -
Application And Order To Serve Summons By Posting For Unlawful Detainer
California/Local County/San Diego/Civil/ -
Judgment Checklist-Defautl By Court (Civil)
California/Local County/San Diego/Civil/ -
Judgment Checklist-Default By Court (Unlawful Detainer-Money Judgment)
California/Local County/San Diego/Civil/ -
Citation For Freedom From Parental Custody And Control
California/Local County/San Diego/Civil/ -
Guidelines For Default Judgments
California/Local County/San Diego/Civil/ -
Joint Trial Readiness Conference Report Format
California/Local County/San Diego/Civil/ -
Attachment 15 (Abstract Of Judgment-Civil And Small Claims)
California/Local County/San Diego/Civil/ -
Attachment 20 (Abstract Of Judgment-Civil And Small Claims)
California/Local County/San Diego/Civil/ -
Attachment 20 (Writ Of Execution)
California/Local County/San Diego/Civil/ -
Judgment On Sister-State Judgment
California/Local County/San Diego/Civil/ -
Declaration Concerning Waived Court Fees
California/Local County/San Diego/Civil/ -
Criteria For Obtaining An Ex Parte Order For Publication
California/Local County/San Diego/Civil/ -
Application And Declaration In Support Of Request To Dispense With Notice
California/Local County/San Diego/Civil/ -
Civil Subpoena (Duces Tecum) For Personal Appearance (San Diego Pre-Issued)
California/Local County/San Diego/Civil/ -
Civil Subpoena For Personal Appearance (San Diego Pre-Issued)
California/Local County/San Diego/Civil/ -
Deposition Subpoena For Production Of Business Records (San Diego Pre-Issued)
California/Local County/San Diego/Civil/ -
Deposition Subpoena For Personal Appearance (San Diego Pre-Issued)
California/Local County/San Diego/Civil/ -
Deposition Subpoena For Personal Appearance And Production Of Documents (San Diego Pre-Issued)
California/Local County/San Diego/Civil/ -
Order Exonerating Property Bond
California/Local County/San Diego/Civil/ -
Notice Of Payment Of Advance Jury Fee
California/Local County/San Diego/Civil/ -
Description Of Defendant-Witness
California/Local County/San Diego/Civil/ -
Application For Publication Of Summons-Citation
California/Local County/San Diego/Civil/ -
Order For Publication Of Summons-Citation
California/Local County/San Diego/Civil/ -
Declaration And Order For Transfer Of Blocked Account Funds
California/Local County/San Diego/Civil/ -
Notice Of Appeal (Limited Civil Case)
California/Local County/San Diego/Civil/ -
Mediators Selection Form
California/Local County/San Diego/Civil/ -
Attachment-Additional Protected Persons
California/Local County/San Diego/Civil/ -
Ex Parte Request And Order To Terminate Restraining Order
California/Local County/San Diego/Civil/ -
Declaration Of Physician Re Change Of Gender
California/Local County/San Diego/Civil/ -
Judgment And Notice Of Entry Of Tribal Court Money Judgment
California/Local County/San Diego/Civil/ -
Petition For Writ Of Habeas Corpus Re Quarantine Detention
California/2 Local County/San Diego/Civil/ -
Unlawful Detainer Answer Packet Information
California/Local County/San Diego/Civil/ -
Application And Order Declaring Information On Affidavit Of Voter Registration
California/Local County/San Diego/Civil/ -
Judgment Checklist-Default By Clerk (Civil)
California/Local County/San Diego/Civil/ -
Stipulated Agreement For Agreement For Judgment Or Dismissal (Unlawful Detainer)
California/Local County/San Diego/Civil/ -
Request For Clerks Certificate Re Costs And Certification
California/Local County/San Diego/Civil/ -
Amendment To Complaint
California/Local County/San Diego/Civil/ -
Application To Serve As Mediator And Or Arbitrator
California/Local County/San Diego/Civil/ -
Stipulation For Discovery Determination Following Informal Discovery Conference
California/2 Local County/San Diego/Civil/ -
Stipulation For Court Commissioner To Act As Temporary Judge For All Purposes
California/2 Local County/San Diego/Civil/ -
Request For Payment Of Trust Funds
California/Local County/San Diego/Civil/ -
Unlawful Detainer Complaint Packet Information
California/Local County/San Diego/Civil/ -
Joint Request For Assigned Judge Mediation
California/Local County/San Diego/Civil/
Form Preview
Contact Us
Success: Your message was sent.
Thank you!




