Last updated: 9/30/2025
Order Approving Resignation {UJS-154}
Start Your Free Trial $ 5.99What you get:
- Instant access to fillable Microsoft Word or PDF forms.
- Minimize the risk of using outdated forms and eliminate rejected fillings.
- Largest forms database in the USA with more than 80,000 federal, state and agency forms.
- Download, edit, auto-fill multiple forms at once in MS Word using our Forms Workflow Ribbon
- Trusted by 1,000s of Attorneys and Legal Professionals
Description
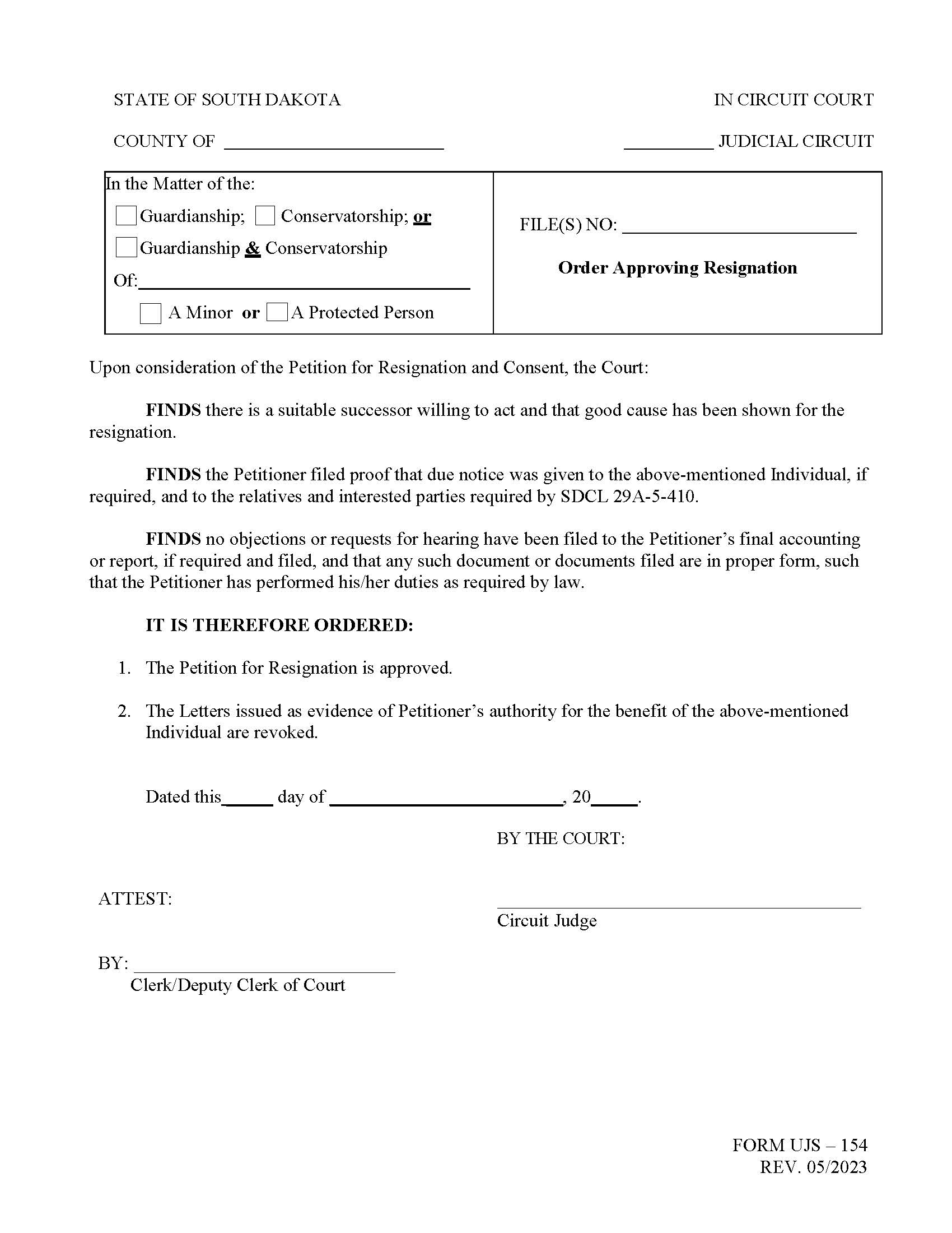
UJS-154 - ORDER APPROVING RESIGNATION. This form is issued after a Petition for Resignation and Consent in a guardianship and/or conservatorship case involving a minor or protected person. The order records the court’s findings that a suitable successor is willing to serve, required notice under SDCL 29A-5-410 was given, and no objections were filed to any required final accounting/report. It then approves the resignation and revokes the Letters previously issued to the resigning guardian or conservator. Page 2 includes a notarized Affidavit of Mailing to document service of the signed order. www.FormsWorkflow.com





