Last updated: 7/25/2025
Motion for Contempt {SC-507A}
Start Your Free Trial $ 13.99What you get:
- Instant access to fillable Microsoft Word or PDF forms.
- Minimize the risk of using outdated forms and eliminate rejected fillings.
- Largest forms database in the USA with more than 80,000 federal, state and agency forms.
- Download, edit, auto-fill multiple forms at once in MS Word using our Forms Workflow Ribbon
- Trusted by 1,000s of Attorneys and Legal Professionals
Description
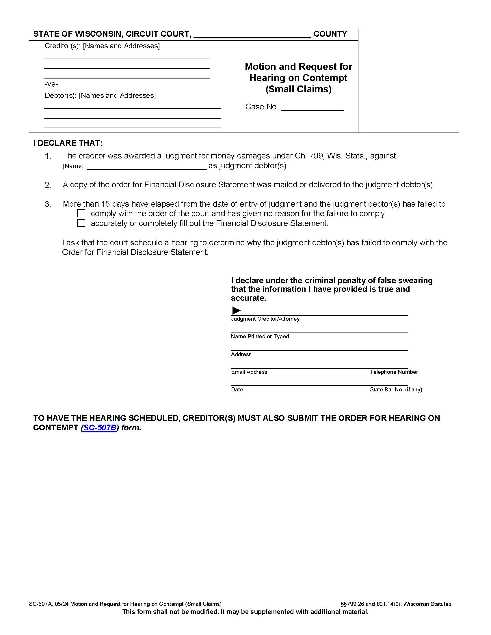
SC-507A - MOTION AND REQUEST FOR HEARING ON CONTEMPT (SMALL CLAIMS). This form is used in Wisconsin small claims court when a creditor seeks to initiate contempt proceedings against a debtor. It is filed when a judgment has been awarded to the creditor and the debtor has failed to comply with the court's order to submit a Financial Disclosure Statement within 15 days of the judgment. The form provides a declaration by the creditor that the debtor has not complied with the court’s order, or has failed to accurately or completely fill out the required financial disclosure. By submitting this form, the creditor requests the court to schedule a hearing to determine why the debtor has not fulfilled their legal obligation. It must be accompanied by the Order for Hearing on Contempt (SC-507B) to proceed. §§799.26 and 801.14(2), Wisconsin Statutes. www.FormsWorkflow.com
Related forms
-
Small Claims Publication Summons And Notice
Wisconsin/Statewide/Circuit Court/Small Claims/ -
Order For Dismissal (Non-Eviction)
Wisconsin/Statewide/Circuit Court/Small Claims/ -
Order For Dismissal (Eviction)
Wisconsin/Statewide/Circuit Court/Small Claims/ -
Order On Eligibility For Emergency Assistance
Wisconsin/Statewide/Circuit Court/Small Claims/ -
Order On Eligibility To Receive Or Receipt Of Emergency Assistance
Wisconsin/Statewide/Circuit Court/Small Claims/ -
Order For Hearing On Contempt
Wisconsin/Statewide/Circuit Court/Small Claims/ -
Order To Answer Or To Reopen Small Claims Judgment Order
Wisconsin/Statewide/Circuit Court/Small Claims/ -
Order To Reopen Small Claims Judgment
Wisconsin/Statewide/Circuit Court/Small Claims/ -
Summons For Consumer Replevin
Wisconsin/Statewide/Circuit Court/Small Claims/ -
Order For Financial Disclosure
Wisconsin/Statewide/Circuit Court/Small Claims/ -
Answer And Counterclaim
Wisconsin/Statewide/Circuit Court/Small Claims/ -
Garnishee Answer To Creditor (Earnings)
Wisconsin/Statewide/Circuit Court/Small Claims/ -
Motion To Reopen Small Claims Judgment
Wisconsin/Statewide/Circuit Court/Small Claims/ -
Non-Earnings Garnishment Debtors Answer
Wisconsin/Statewide/Circuit Court/Small Claims/ -
Non-Earnings Garnishment Objection And Answer-Demand For Hearing
Wisconsin/Statewide/Circuit Court/Small Claims/ -
Notice Of Motion And Motion For Judgment Against Garnishee
Wisconsin/Statewide/Circuit Court/Small Claims/ -
Statement On Eligibility For Emergency Assistance
Wisconsin/Statewide/Circuit Court/Small Claims/ -
Writ Of Replevin
Wisconsin/Statewide/Circuit Court/Small Claims/ -
Notice Of Counterclaim
Wisconsin/Statewide/Circuit Court/Small Claims/ -
Writ Of Restitution
Wisconsin/Statewide/Circuit Court/Small Claims/ -
Non-Earnings Garnishment-Garnishee Answer
Wisconsin/Statewide/Circuit Court/Small Claims/ -
Summons And Complaint Small Claims
Wisconsin/Statewide/Circuit Court/Small Claims/ -
Non-Earnings Garnishment Summons And Complaint
Wisconsin/Statewide/Circuit Court/Small Claims/ -
Financial Disclosure Statement
Wisconsin/Statewide/Circuit Court/Small Claims/ -
Motion for Contempt
Wisconsin/Statewide/Circuit Court/Small Claims/ -
Petition To Answer Or Reopen Small Claims Judgment
Wisconsin/Statewide/Circuit Court/Small Claims/ -
Petition For Stay Of Eviction Based On Application For Emergency Assistance
Wisconsin/1 Statewide/Circuit Court/Small Claims/ -
Summons And Complaint Small Claims
Wisconsin/1 Statewide/Circuit Court/Small Claims/ -
Stipulation For Dismissal (Non-Eviction)
Wisconsin/Statewide/Circuit Court/Small Claims/ -
Stipulation For Dismissal (Eviction)
Wisconsin/Statewide/Circuit Court/Small Claims/ -
Small Claims Demand For Trial
Wisconsin/Statewide/Circuit Court/Small Claims/ -
Order For Money Judgment
Wisconsin/1 Statewide/Circuit Court/Small Claims/ -
Order For Judgment Of Noncompliance (Eviction)
Wisconsin/Statewide/Circuit Court/Small Claims/ -
Order For Hearing (Non-Eviction)
Wisconsin/Statewide/Circuit Court/Small Claims/ -
Affidavit Of Service Of SC Summons-Complaint Corp Or LLC
Wisconsin/1 Statewide/Circuit Court/Small Claims/ -
Affidavit Of Service (Non-Eviction Individual-Sole Proprietorship-Partnership)
Wisconsin/Statewide/Circuit Court/Small Claims/ -
Affidavit Of Service (Eviction)
Wisconsin/Statewide/Circuit Court/Small Claims/ -
Affidavit Of Noncompliance For Money Judgment (Non-Eviction)
Wisconsin/Statewide/Circuit Court/Small Claims/ -
Affidavit Of Noncompliance (Non-Eviction)
Wisconsin/Statewide/Circuit Court/Small Claims/ -
Affidavit Of Noncompliance (Eviction)
Wisconsin/Statewide/Circuit Court/Small Claims/ -
Affidavit Of Mailing
Wisconsin/Statewide/Circuit Court/Small Claims/
Form Preview
Contact Us
Success: Your message was sent.
Thank you!




