Last updated: 4/7/2024
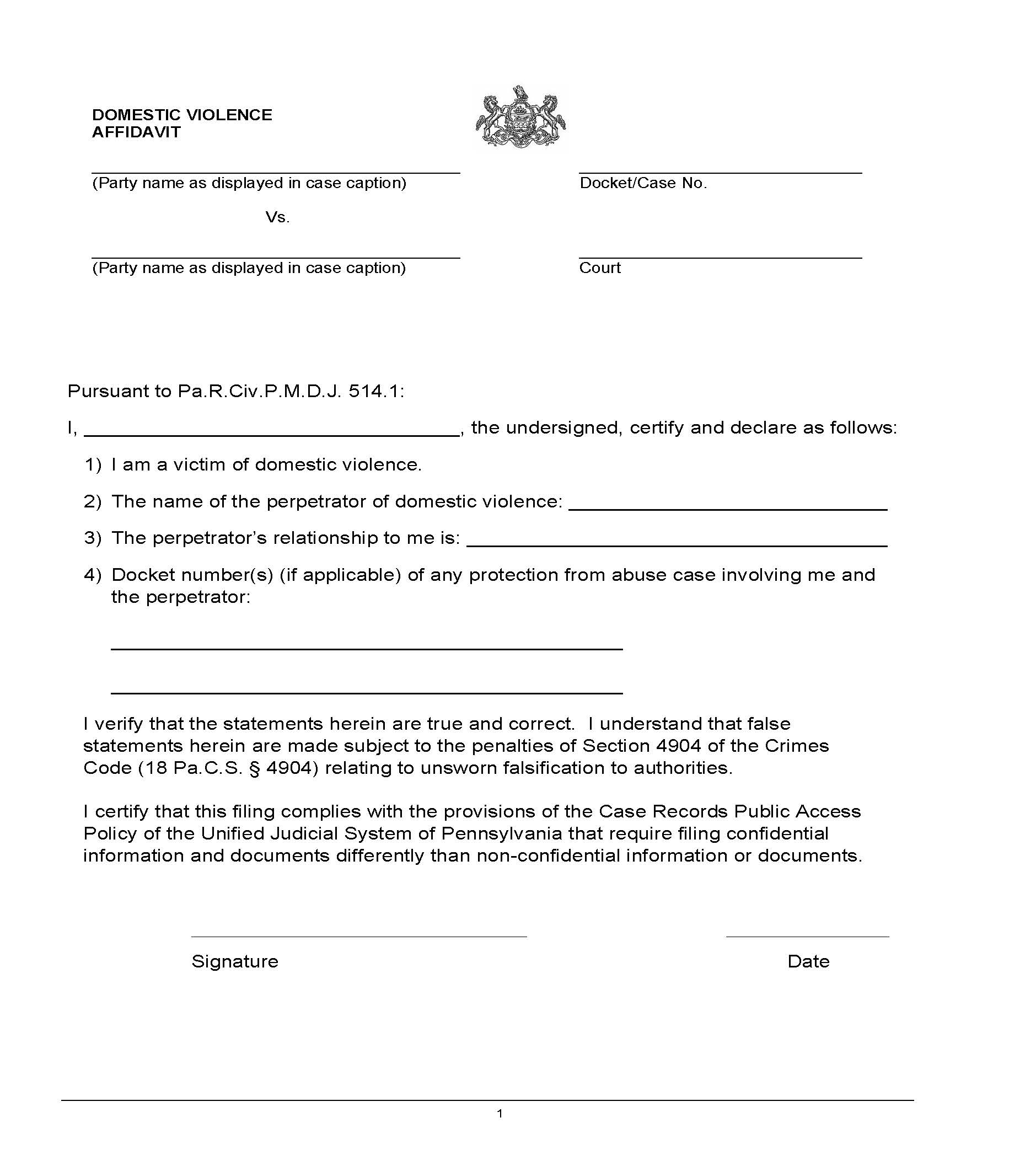
Domestic Violence Affidavit
Start Your Free Trial $ 14.00What you get:
- Instant access to fillable Microsoft Word or PDF forms.
- Minimize the risk of using outdated forms and eliminate rejected fillings.
- Largest forms database in the USA with more than 80,000 federal, state and agency forms.
- Download, edit, auto-fill multiple forms at once in MS Word using our Forms Workflow Ribbon
- Trusted by 1,000s of Attorneys and Legal Professionals
Description
DOMESTIC VIOLENCE AFFIDAVIT. A victim of domestic violence is "a person who has obtained a protection from abuse order against another individual or can provide other evidence of abuse." See Pa.R.Civ.P.M.D.J. 1001(10); 68 P.S. 250.513. A tenant who is aggrieved by a judgment for the delivery of real property arising out of a residential lease and who is a victim of domestic violence may appeal the judgment within 30 days after the date of the entry of judgment by filing a notice of appeal with the prothonotary/clerk of court of the court of common pleas, civil division, along with a copy of the Domestic Violence Affidavit. A tenant who is a victim of domestic violence may file the Affidavit with the magisterial district court to stay the execution of an order for possession pursuant to Rule 514.1 prior to filing an appeal with the court of common pleas. If the Affidavit is filed with the magisterial district court, the tenant should attach a copy of the Affidavit to the notice of appeal. If the tenant does not file the Domestic Violence Affidavit with the magisterial district court or does not appeal to the court of common pleas within 21 days following the entry of the judgment, the tenant is at risk of eviction. This Domestic Violence Affidavit is not a public record and it shall not be publicly accessible. www.FormsWorkflow.com
Related forms
-
Judges Report Under PA RJA 703
Pennsylvania/Statewide/Administrative Office/ -
Notice Of Settlement Or Withdrawal
Pennsylvania/Statewide/Administrative Office/ -
Private Criminal Complaint
Pennsylvania/Statewide/Administrative Office/ -
Petition For Expungement Pursuant To 490
Pennsylvania/Statewide/Administrative Office/ -
Petition For Expungement Pursuant To 790
Pennsylvania/Statewide/Administrative Office/ -
Statement Of Objection
Pennsylvania/Statewide/Administrative Office/ -
Blank Limited Access Order 791
Pennsylvania/Statewide/Administrative Office/ -
Request For Official Records Of The Magisterial District Courts
Pennsylvania/Statewide/Administrative Office/ -
Civil Cover Sheet (Court Of Common Pleas)
Pennsylvania/Statewide/Administrative Office/ -
Request For Order Of Execution
Pennsylvania/Statewide/Administrative Office/ -
Blank Expungement Order 490
Pennsylvania/Statewide/Administrative Office/ -
Notice Of Appeal From Summary Criminal Conviction
Pennsylvania/Statewide/Administrative Office/ -
Grievance Form (Americans With Disabilites Act)
Pennsylvania/Statewide/Administrative Office/ -
Entry Of Appearance
Pennsylvania/Statewide/Administrative Office/ -
Request For Transcript Or Copy
Pennsylvania/Statewide/Administrative Office/ -
Notification Of Mental Health Commitment
Pennsylvania/Statewide/Administrative Office/ -
Court Notification Of Prohibiting Offense Unlawful User Of Controlled Substance
Pennsylvania/Statewide/Administrative Office/ -
Motion For Resumption Of Jurisdiction
Pennsylvania/Statewide/Administrative Office/ -
Rule 509 Request Form
Pennsylvania/Statewide/Administrative Office/ -
Confidential Document Form (Court Case Records)
Pennsylvania/Statewide/Administrative Office/ -
Public Access Recurring Request Form
Pennsylvania/Statewide/Administrative Office/ -
Notice Of Assignment Of Judgment
Pennsylvania/1 Statewide/Administrative Office/ -
Confidential Information Form
Pennsylvania/1 Statewide/Administrative Office/ -
Guardians Notice Of Intent To Represent Minor Party
Pennsylvania/1 Statewide/Administrative Office/ -
Request For Entry Of Satisfaction
Pennsylvania/Statewide/Administrative Office/ -
Petition For Expungement Pursuant To 24 PS 13-1333.3 (Court Of Common Pleas)
Pennsylvania/1 Statewide/Administrative Office/ -
Petition For Expungement Pursuant To 24 PS 13-1333.3 (Magesterial District Court)
Pennsylvania/1 Statewide/Administrative Office/ -
Order Granting Petition For Truancy Expungement (Court Of Common Pleas)
Pennsylvania/1 Statewide/Administrative Office/ -
Order Granting Petition For Truancy Expungement (Magisterial District Court)
Pennsylvania/1 Statewide/Administrative Office/ -
Motion To Proceed In Forma Pauperis (Court Of Common Pleas)
Pennsylvania/1 Statewide/Administrative Office/ -
In Forma Pauperis Affidavit Petition (Magisterial District Court)
Pennsylvania/1 Statewide/Administrative Office/ -
Petition For Emergency Relief From Abuse
Pennsylvania/Statewide/Administrative Office/ -
Petition For Emergency Relief From Sexual Violence Or Intimidation
Pennsylvania/Statewide/Administrative Office/ -
Servicemembers Civil Relief Act Affidavit
Pennsylvania/1 Statewide/Administrative Office/ -
Petition For Protection From Abuse
Pennsylvania/1 Statewide/Administrative Office/ -
Temporary Protection From Abuse Order
Pennsylvania/1 Statewide/Administrative Office/ -
Final Protection From Abuse Order
Pennsylvania/1 Statewide/Administrative Office/ -
Request For Access
Pennsylvania/1 Statewide/Administrative Office/ -
Request For Correction Of Clerical Errors
Pennsylvania/1 Statewide/Administrative Office/ -
Allegation Of Non Compliant Magisterial District Court Filing
Pennsylvania/1 Statewide/Administrative Office/ -
Request For Order For Possession
Pennsylvania/Statewide/Administrative Office/ -
Petition For Order For Limited Acess Pursuant To 791
Pennsylvania/Statewide/Administrative Office/ -
Tenants Supersedeas Affidavit (Non Section 8) Pursuant To 1008C(2)
Pennsylvania/Statewide/Administrative Office/ -
Authorization Of Representative
Pennsylvania/Statewide/Administrative Office/ -
Blank Expungement Order 790
Pennsylvania/Statewide/Administrative Office/ -
Section 8 Tenants Supersedeas Affidavit Pursuant To 1013C(2)
Pennsylvania/1 Statewide/Administrative Office/ -
Tenants Supersedeas Affidavit (Non Section 8) Pursuant To 1013C(2)
Pennsylvania/1 Statewide/Administrative Office/ -
Section 8 Tenants Supersedeas Affidavit Pursuant To 1008C(2)
Pennsylvania/Statewide/Administrative Office/ -
Government Access Request Form
Pennsylvania/Statewide/Administrative Office/ -
Public Access Nonrecurring Request Form
Pennsylvania/Statewide/Administrative Office/ -
Request For Reasonable Accommodation (ADA)
Pennsylvania/Statewide/Administrative Office/ -
Non Discrimination And Equal Employment Opportunity Complaint
Pennsylvania/Statewide/Administrative Office/ -
Request For Determination Of Abandonment
Pennsylvania/1 Statewide/Administrative Office/ -
Notice Of Orphans Court Appeal Decision
Pennsylvania/Statewide/Administrative Office/ -
Notice Of Orphans Court Appeal Filing
Pennsylvania/Statewide/Administrative Office/ -
Notice Of Orphans Court Order
Pennsylvania/Statewide/Administrative Office/ -
Notice Of Orphans Court Petition Filing
Pennsylvania/Statewide/Administrative Office/ -
Writ Of Certiorari To District Judge (Court Of Common Pleas)
Pennsylvania/Statewide/Administrative Office/ -
Unified Judicial System Disposal Log Non Permanent Records
Pennsylvania/Statewide/Administrative Office/ -
Petition For Emergency Relief In Connection With Claims Of Sexual Violence Or Intimidation
Pennsylvania/1 Statewide/Administrative Office/ -
Termination Of Inactive Cases Reporting Form
Pennsylvania/Statewide/Administrative Office/ -
Domestic Violence Affidavit
Pennsylvania/Statewide/Administrative Office/ -
Request For Correction Of An Electronic Case Record
Pennsylvania/Statewide/Administrative Office/ -
CDC Eviction Protection Declaration
Pennsylvania/1 Statewide/Administrative Office/ -
Notice Of Intent To Defend
Pennsylvania/Statewide/Administrative Office/ -
Landlord And Tenant Complaint
Pennsylvania/Statewide/Administrative Office/ -
Intervention Request
Pennsylvania/Statewide/Administrative Office/ -
Entry Of Satisfaction
Pennsylvania/Statewide/Administrative Office/ -
Shelter Care Application
Pennsylvania/Statewide/Administrative Office/ -
Notice Of Appeal From Magisterial District Judge Judgment
Pennsylvania/Statewide/Administrative Office/ -
Application For Emergency Protective Custody
Pennsylvania/Statewide/Administrative Office/ -
Civil Complaint
Pennsylvania/Statewide/Administrative Office/ -
Unified Judicial System Schedules Court Records Disposal Certification Request
Pennsylvania/Statewide/Administrative Office/ -
Dependency Petition
Pennsylvania/Statewide/Administrative Office/ -
Petition Cover Page Dependency Sheleter Care Emergency Custody
Pennsylvania/Statewide/Administrative Office/
Form Preview
Contact Us
Success: Your message was sent.
Thank you!




