Last updated: 7/29/2022
Affidavit (Employee Representing Business In Small Claims Action)
Start Your Free Trial $ 5.99What you get:
- Instant access to fillable Microsoft Word or PDF forms.
- Minimize the risk of using outdated forms and eliminate rejected fillings.
- Largest forms database in the USA with more than 80,000 federal, state and agency forms.
- Download, edit, auto-fill multiple forms at once in MS Word using our Forms Workflow Ribbon
- Trusted by 1,000s of Attorneys and Legal Professionals
Description
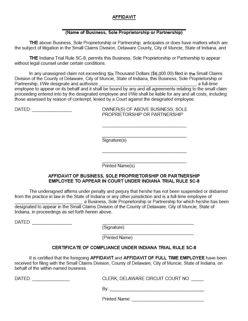
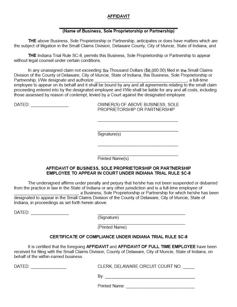
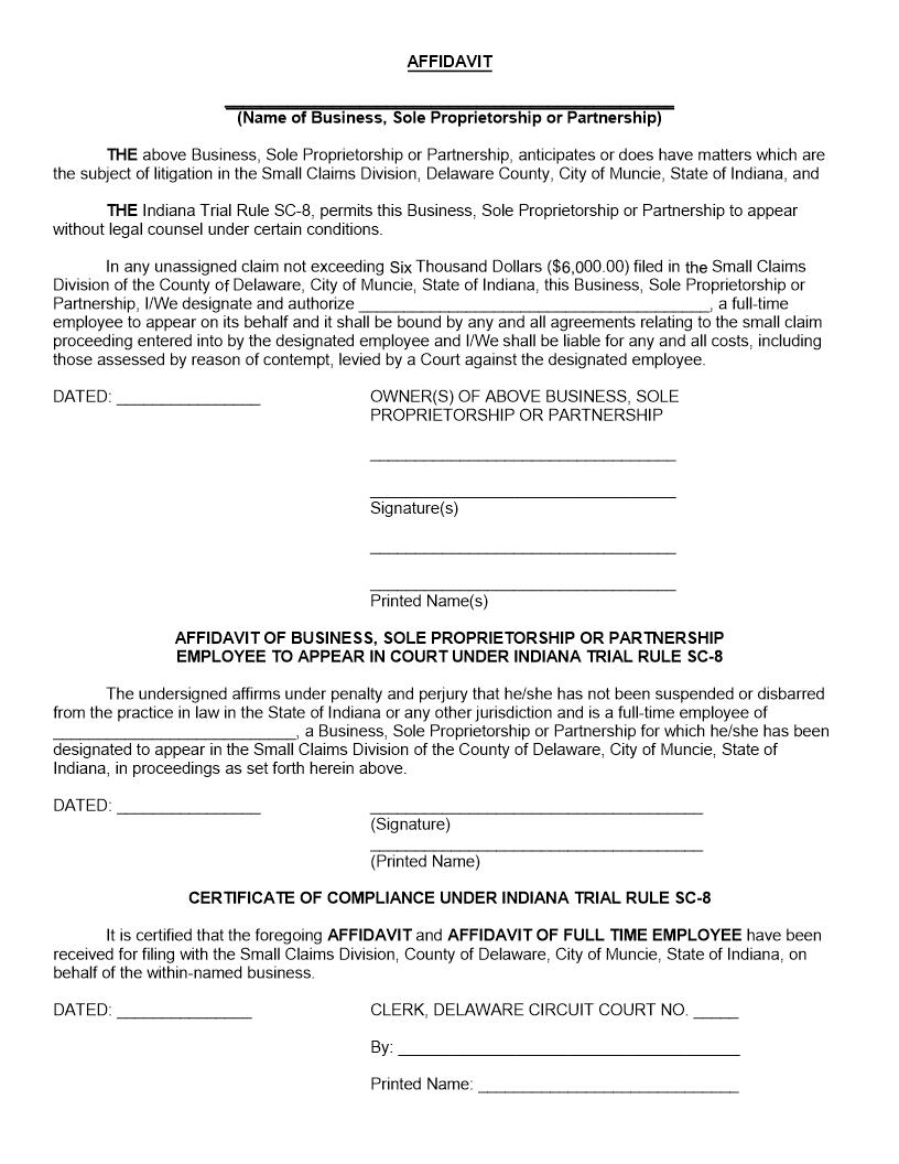
AFFIDAVIT ______________________________________________ (Name of Business, Sole Proprietorship or Partnership) THE above Business, Sole Proprietorship or Partnership, anticipates or does have matters which are the subject of litigation in the Small Claims Division, Delaware County, City of Muncie, State of Indiana, and THE Indiana Trial Rule SC-8, permits this Business, Sole Proprietorship or Partnership to appear without legal counsel under certain conditions. In any unassigned claim not exceeding One Thousand Five Hundred Dollars ($1, 500.00) filed in the Small Claims Division of the County of Delaware, City of Muncie, State of Indiana, this Business, Sole Proprietorship or Partnership, I/We designate and authorize _____________________________, a full-time employee to appear on its behalf and it shall be bound by any and all agreements relating to the small claim proceeding entered into by the designated employee and I/We shall be liable for any and all costs, including those assessed by reason of contempt, levied by a Court against the designated employee. DATED: ______________ OWNER(S) OF ABOVE BUSINESS, SOLE PROPRIETORSHIP OR PARTNERSHIP ___________________________________ ___________________________________ (Signature) Printed Name: _______________________ ___________________________________ AFFIDAVIT OF BUSINESS, SOLE PROPRIETORSHIP OR PARTNERSHIP EMPLOYEE TO APPEAR IN COURT UNDER INDIANA TRIAL RULE SC-8 The undersigned affirms under penalty of perjury that he/she has not been suspended or disbarred from practice in law in the State of Indiana or any other jurisdiction and is a full-time employee of _________________________________, a Business, Sole Proprietorship or Partnership for which he/she has been designated to appear in the Small Claims Division of the County of Delaware, City of Muncie, State of Indiana, in the proceedings as set forth herein above. DATED: ______________ Signature: ___________________________ Printed Name: ________________________ CERTIFICATE OF COMPLIANCE UNDER INDIANA TRIAL RULE SC-8 It is certified that the foregoing AFFIDAVIT and AFFIDAVIT OF FULL TIME EMPLOYEE have been received for filing with the Small Claims Division, County of Delaware, City of Muncie, State of Indiana, on behalf of the within-named corporation. DATED: _____________ CLERK, DELAWARE CIRCUIT COURTS By: ______________________________ Printed Name: _____________________ American LegalNet, Inc. www.FormsWorkFlow.com Corporations-Representation in Small Claims Court As a general rule, a corporation must appear by counsel. Small Claims Rule 8 provides a limited exception for certain claims. A corporation, whether as a Plaintiff or a Defendant, may be represented by an employee who is not an attorney if the following conditions exist: 1) The Claim (for or against the corporation) is not more than the prescribed limit set by Small Claims Rule 8(c) ($1,500.00); and The claim is not an assignment (such as a claim that has been assigned to a collection agency); and There is a corporate resolution and employee affidavit on file with the clerk authorizing a full-time employee to represent the corporation. (Most small claims courts provide forms for this purpose.) 2) 3) Sole Proprietors and Partnerships (Unincorporated Businesses) As a general rule, an unincorporated business must be represented by the owner of the business or an attorney. Small Claims Rule 8 provides a limited exception for certain claims. A business, operated as a sole proprietorship or partnership, may (whether as a Plaintiff or Defendant) be represented by an employee who is not an attorney if the following conditions exist: 1) The claim (for or against the business) is not more than the prescribed limit set by Small Claims Rule 8 (c) ($1,500.00); and The claim is not an assignment (such as a claim that has been assigned to a collection agency); and The business has on file with the clerk an employee affidavit and certificate of compliance designating a full-time employee to represent the business. (The Small Claims Court may have forms available for this purpose.) 2) 3) The following situations are NOT permissible: 1) If the claim involves a corporation and it is less than the prescribed limit, an employee NOT authorized by resolution attempts to represent the corporation. If the claim involves a business operated as a sole proprietorship or partnership and it is less than the prescribed limit, an employee NOT authorized by the certificate of compliance attempts to represent the business entity. If the claim involves a corporation and it is greater than the prescribed limit, a non-attorney attempts to represent the corporation. If the claim involves a business operated as sole proprietorship or partnership and it is greater than the prescribed limit, an employee who is NOT an owner attempts to represent the business. (In such cases, the owner or an attorney must represent the business.) A person with only a power of attorney to act on behalf of any individual, business, or corporation, attempts to represent the individual, business, or corporation in court. 2) 3) 4) 5) NOTE: Assigned claims (collection agencies) must have an attorney regardless of the amount of the claim. American LegalNet, Inc. www.FormsWorkFlow.com American LegalNet, Inc. www.FormsWorkFlow.com





