Last updated: 4/6/2021
Order To Appear In Court
Start Your Free Trial $ 13.99What you get:
- Instant access to fillable Microsoft Word or PDF forms.
- Minimize the risk of using outdated forms and eliminate rejected fillings.
- Largest forms database in the USA with more than 80,000 federal, state and agency forms.
- Download, edit, auto-fill multiple forms at once in MS Word using our Forms Workflow Ribbon
- Trusted by 1,000s of Attorneys and Legal Professionals
Description
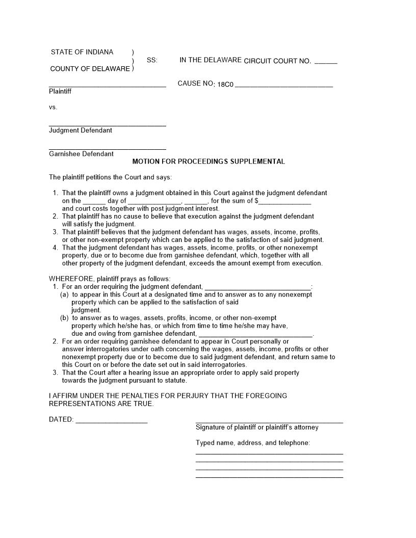
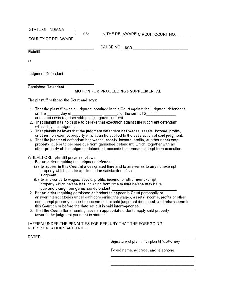
<document>COURT COUNTY OF. . . . . . . . . . . . . . . . . . . . . . . . . . . . . . . . . . . . . . . . . . . . . . . . . . . . . .:::::::Index No.STATE OF INDIANA)IN THE DELAWARE COUNTY COURT SYSTEM )TERM COUNTY OF DELAWARE )Calendar No.JUDICIAL SUBPOENAPlaintiff(s) -against-Defendant(s) PlaintiffCASE NO.VS. . . . . . . . . . . . . . . . . . . . . . . . . . . . . . . . . . . . . . . . . . . . . . . . . . . . . . Judgment DefendantORDER TO APPEAR IN COURTTHE PEOPLE OF THE STATE OF NEW YORK TOThe plaintiff having shown to the Court by verified motion that the plaintiff is owner of a judgment obtained in this Court against the judgment defendant on the day of , 20, in the amount of $ and costs. And the plaintiff having moved the Court for an order requiring the judgment defendant to appear in the Court and answer as to his wages, assets, profits and other non-exempt property subject to satisfaction of this judgment. THE COURT NOW ORDERS the judgment defendant, , to appear personally, before the Judge of said Court, at the Justice Center in the City of Muncie on the day of , 20, at o'clock M., to answer as to his wages, assets, property and income. Dated this day of , 20.GREETINGS:WE COMMAND YOU, that all business and excuses being laid aside, you and each of you attend before Court at the the Honorable,located at County ofo'clock in the day of, on the, 20, at or adjourned date, to testify and give evidence as a witness in this action on the part of thenoon, and at any recessed in roomYour failure to comply with this subpoena is punishable as a contempt of court and will make you liable to the party on whose behalf this subpoena was issued for a maximum penalty of $50 and all damages sustained as a result of your failure to comply.Judge (The following manner of service of this Order is hereby designated.), one of the Justices of theCourt in Witness, Honorableday of, 20 County,Registered or certified mailService on individual (Personal or copy) at residence at(Attorney must sign above and type name below)Attorney(s) forPersonal service at place of employment, to-wit:Office and P.O. AddressAttorney for Plaintiff AddressPhoneTelephone No.: Facsimile No.: E-Mail Address:Mobile Tel. No.:American LegalNet, Inc. www.USCourtForms.com</document>





