Last updated: 7/20/2020
Motion For Proceedings Supplemental
Start Your Free Trial $ 13.99What you get:
- Instant access to fillable Microsoft Word or PDF forms.
- Minimize the risk of using outdated forms and eliminate rejected fillings.
- Largest forms database in the USA with more than 80,000 federal, state and agency forms.
- Download, edit, auto-fill multiple forms at once in MS Word using our Forms Workflow Ribbon
- Trusted by 1,000s of Attorneys and Legal Professionals
Description
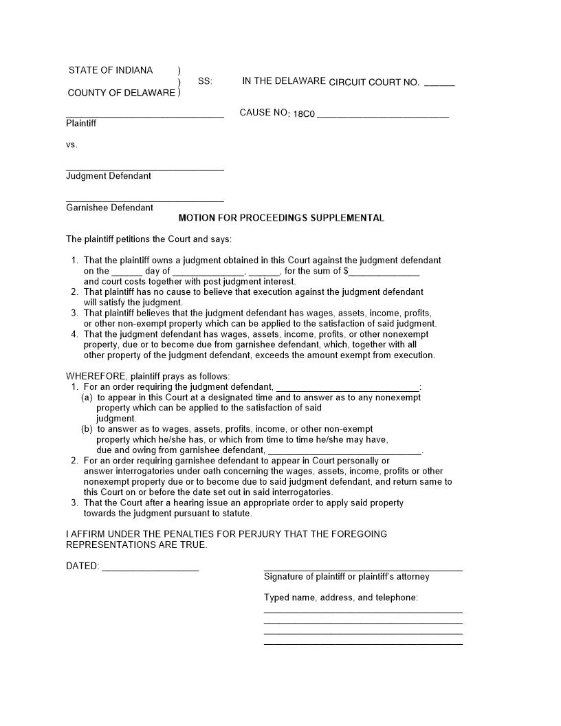
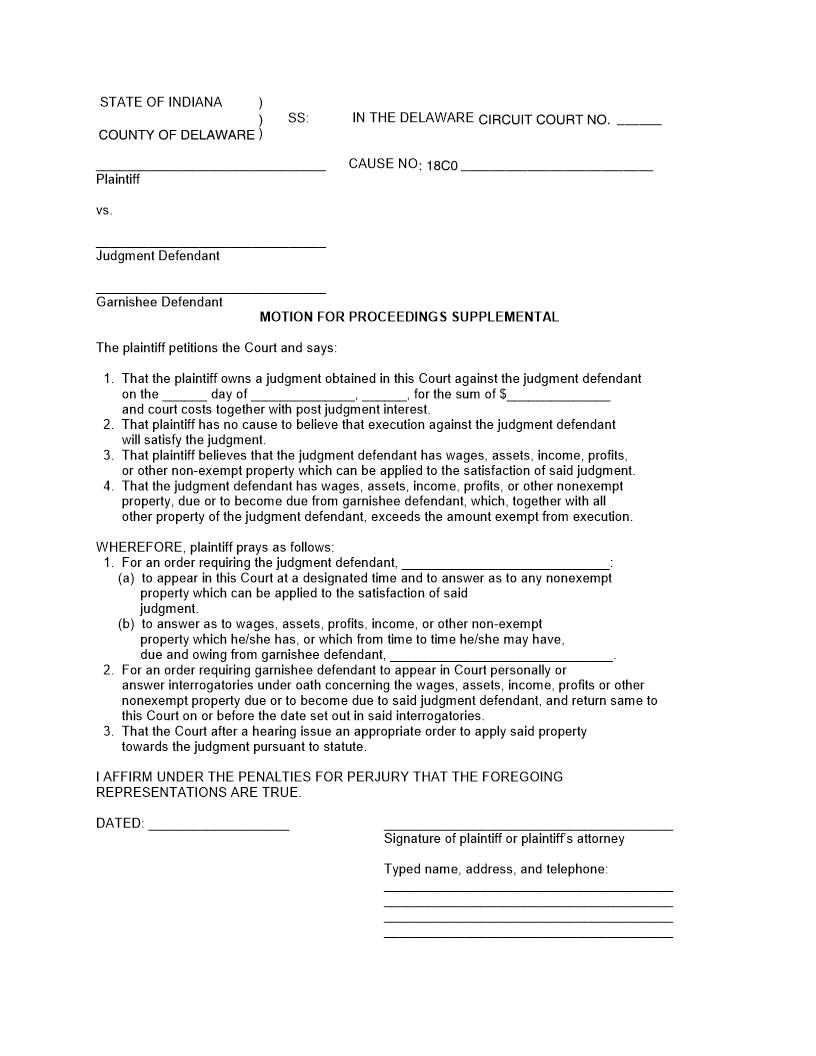
<document>COURT COUNTY OF. . . . . . . . . . . . . . . . . . . . . . . . . . . . . . . . . . . . . . . . . . . . . . . . . . . . . .:::::::Index No.Calendar No.STATE OF INDIANA)) SS:JUDICIAL SUBPOENAPlaintiff(s) -against-Defendant(s)IN THE DELAWARE COUNTY COURT SYSTEMCOUNTY OF DELAWARE ) TERMCAUSE NO. 18Plaintiff. . . . . . . . . . . . . . . . . . . . . . . . . . . . . . . . . . . . . . . . . . . . . . . . . . . . . .vs.THE PEOPLE OF THE STATE OF NEW YORK TOJudgment DefendantGarnishee DefendantMOTION FOR PROCEEDINGS SUPPLEMENTALGREETINGS:The plaintiff petitions the Court and says:WE COMMAND YOU, that all business and excuses being laid aside, you and each of you attend before Court at the the Honorable,1That the plaintiff owns a judgment obtained in this Court against the judgmentlocated at County ofdefendant on the day of , , for the sum of $ and court costs.o'clock in the day of, on the, 20, at or adjourned date, to testify and give evidence as a witness in this action on the part of thenoon, and at any recessed in room2.That plaintiff has no cause to believe that execution against the judgmentdefendant will satisfy the judgment.Your failure to comply with this subpoena is punishable as a contempt of court and will make you liable to the party on whose behalf this subpoena was issued for a maximum penalty of $50 and all damages sustained as a result of your failure to comply.3.That plaintiff believes that the judgment defendant has wages, assets, income,profits, or other non-exempt property which can be applied to the satisfaction of said judgment., one of the Justices of theCourt in Witness, Honorableday of, 20 County,4.That the judgment defendant has wages, assets, income, profits, or other non-exempt property, due or to become due from garnishee defendant, which, together with all(Attorney must sign above and type name below)other property of the judgment defendant, exceeds the amount exempt from execution.WHEREFORE, plaintiff prays as follows:Attorney(s) for1.For an order requiring the judgment defendant, : (a)Office and P.O. Addressto appear in this Court at a designated time and to answer as to any non-exempt property which can be applied to the satisfaction of said judgment. (b)to answer as to wages, assets, profits, income, or other non-exempt property which he/she has, or which from time to time he/she may have, due and owing from garnishee defendant, .Telephone No.: Facsimile No.: E-Mail Address:Mobile Tel. No.:American LegalNet, Inc. www.USCourtForms.comCOURT COUNTY OF. . . . . . . . . . . . . . . . . . . . . . . . . . . . . . . . . . . . . . . . . . . . . . . . . . . . . .:::::::Index No.Calendar No.2.For an order requiring garnishee defendant to appear in Court personally orJUDICIAL SUBPOENAPlaintiff(s) -against-Defendant(s)answer interrogatories under oath concerning the wages, assets, income, profits or other non-exempt property due or to become due to said judgment defendant, and return same to this Court on or before the date set out in said interrogatories.3.That the Court after a hearing issue an appropriate order to apply said propertytowards the judgment pursuant to statute.. . . . . . . . . . . . . . . . . . . . . . . . . . . . . . . . . . . . . . . . . . . . . . . . . . . . . .I AFFIRM UNDER THE PENALTIES FOR PERJURY THAT THE FOREGOING REPRESENTATIONS ARE TRUE.THE PEOPLE OF THE STATE OF NEW YORK TODATED: Signature of plaintiff or plaintiff's attorneyGREETINGS:WE COMMAND YOU, that all business and excuses being laid aside, you and each of you attend before Court at the the HonorableTyped name, address, and telephone:,located at County ofo'clock in the day of, on the, 20, at or adjourned date, to testify and give evidence as a witness in this action on the part of thenoon, and at any recessed in roomYour failure to comply with this subpoena is punishable as a contempt of court and will make you liable to the party on whose behalf this subpoena was issued for a maximum penalty of $50 and all damages sustained as a result of your failure to comply., one of the Justices of theCourt in Witness, Honorableday of, 20 County,(Attorney must sign above and type name below)Attorney(s) forOffice and P.O. AddressTelephone No.: Facsimile No.: E-Mail Address:Mobile Tel. No.:American LegalNet, Inc. www.USCourtForms.com</document>





