Last updated: 10/14/2020
3941. Punitive Damages Individual Defendant Bifurcated Trial (First Phase)
Start Your Free Trial $ 13.99What you get:
- Instant access to fillable Microsoft Word or PDF forms.
- Minimize the risk of using outdated forms and eliminate rejected fillings.
- Largest forms database in the USA with more than 80,000 federal, state and agency forms.
- Download, edit, auto-fill multiple forms at once in MS Word using our Forms Workflow Ribbon
- Trusted by 1,000s of Attorneys and Legal Professionals
Description
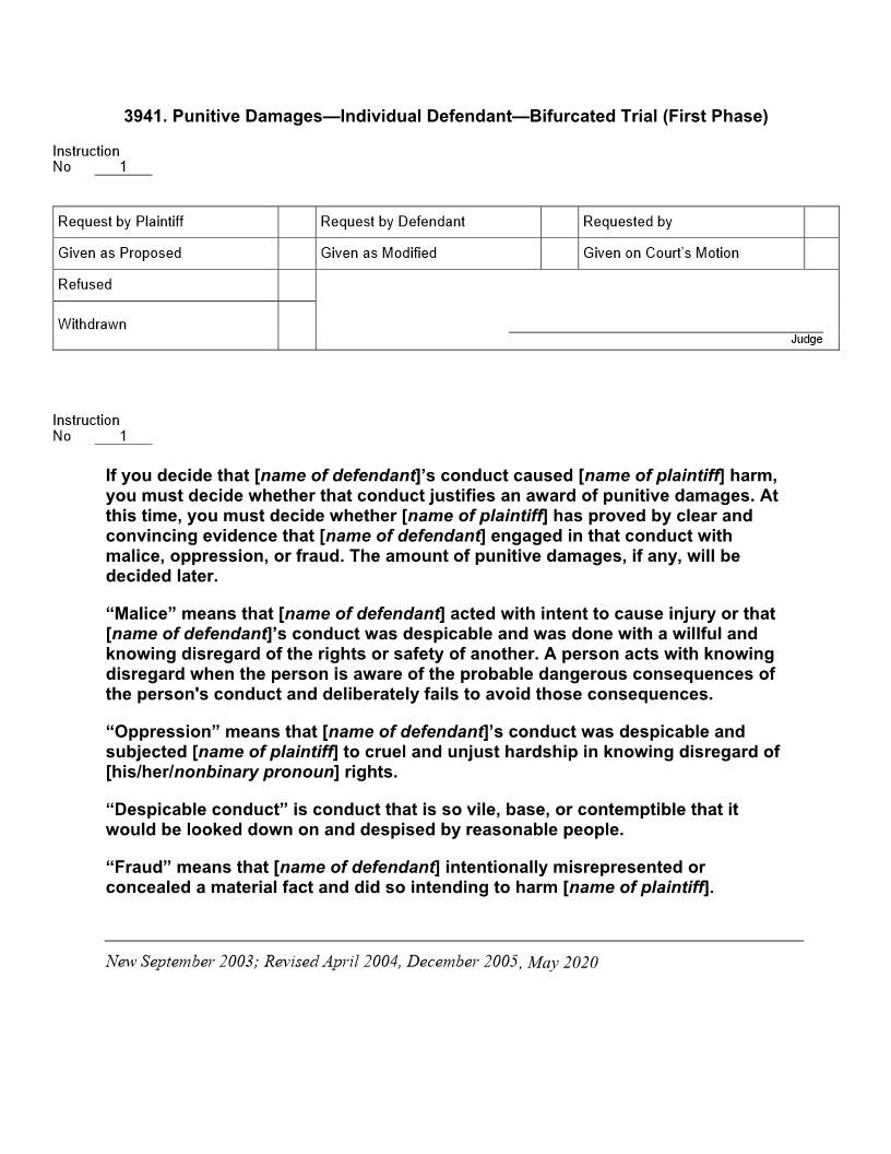
3941. Punitive Damages--Individual Defendant--Bifurcated Trial (First Phase) Instruction No 1 Request by Plaintiff Given as Proposed Refused Withdrawn Request by Defendant Given as Modified Requested by Given on Court's Motion Judge Instruction No 1 If you decide that [name of defendant]'s conduct caused [name of plaintiff] harm, you must decide whether that conduct justifies an award of punitive damages. At this time, you must decide whether [name of plaintiff] has proved by clear and convincing evidence that [name of defendant] engaged in that conduct with malice, oppression, or fraud. The amount of punitive damages, if any, will be decided later. "Malice" means that [name of defendant] acted with intent to cause injury or that [name of defendant]'s conduct was despicable and was done with a willful and knowing disregard of the rights or safety of another. A person acts with knowing disregard when he or she is aware of the probable dangerous consequences of his or her conduct and deliberately fails to avoid those consequences. "Oppression" means that [name of defendant]'s conduct was despicable and subjected [name of plaintiff] to cruel and unjust hardship in knowing disregard of [his/her] rights. "Despicable conduct" is conduct that is so vile, base, or contemptible that it would be looked down on and despised by reasonable people. "Fraud" means that [name of defendant] intentionally misrepresented or concealed a material fact and did so intending to harm [name of plaintiff]. ________________________________________________________________________________ New September 2003; Revised April 2004, December 2005
Related forms
-
3902. Economic And Noneconomic Damages
California Jury Instructions/Damages/ -
3903. Items Of Economic Damage
California Jury Instructions/Damages/ -
3903F. Damage To Real Property (Economic Damage)
California Jury Instructions/Damages/ -
3903H. Damage To Annual Crop (Economic Damage)
California Jury Instructions/Damages/ -
3903I. Damage To Perennial Crop (Economic Damage)
California Jury Instructions/Damages/ -
3903M. Loss Of Use Of Personal Property (Economic Damage)
California Jury Instructions/Damages/ -
3905. Items Of Noneconomic Damage
California Jury Instructions/Damages/ -
3928. Unusually Susceptible Plaintiff
California Jury Instructions/Damages/ -
3901. Introduction to Tort Damages Liability Established
California Jury Instructions/Damages/ -
3964. Jurors Not to Consider Attorney Fees and Court Costs
California Jury Instructions/Damages/ -
3904B. Use of Present-Value Tables
California Jury Instructions/Damages/ -
3933. Damages From Multiple Defendants
California Jury Instructions/Damages/ -
3934. Damages on Multiple Legal Theories
California Jury Instructions/Damages/ -
3904B-add. Present-Value Tables A and B
California Jury Instructions/Damages/ -
3903L. Damage To Personal Property Having Special Value (Civ. Code § 3355) (Economic Damage)
California Jury Instructions/39 Damages/ -
3903K. Loss Or Destruction Of Personal Property (Economic Damage)
California Jury Instructions/Damages/ -
3900. Introduction To Tort Damages-Liability Contested
California Jury Instructions/Damages/ -
3903A. Medical Expenses-Past And Future (Economic Damage)
California Jury Instructions/Damages/ -
3903B. Medical Monitoring-Toxic Exposure (Economic Damage)
California Jury Instructions/Damages/ -
3903E. Loss Of Ability To Provide Household Services (Economic Damage)
California Jury Instructions/Damages/ -
3903G. Loss Of Use Of Real Property (Economic Damage)
California Jury Instructions/Damages/ -
3903N. Lost Profits (Economic Damage)
California Jury Instructions/Damages/ -
3903O. Injury to Pet Costs of Treatment (Economic Damage)
California Jury Instructions/Damages/ -
3903P. Damages From Employer For Wrongful Discharge (Economic Damage)
California Jury Instructions/Damages/ -
3920. Loss Of Consortium (Noneconomic Damage)
California Jury Instructions/Damages/ -
3921. Wrongful Death (Death Of An Adult)
California Jury Instructions/Damages/ -
3922. Wrongful Death (Parents' Recovery For Death Of A Minor Child)
California Jury Instructions/Damages/ -
3923. Public Entities-Collateral Source Payments (Gov. Code § 985)
California Jury Instructions/39 Damages/ -
3924. No Punitive Damages
California Jury Instructions/Damages/ -
3925. Arguments Of Counsel Not Evidence Of Damages
California Jury Instructions/Damages/ -
3926. Settlement Deduction
California Jury Instructions/Damages/ -
3927. Aggravation Of Preexisting Condition Or Disability
California Jury Instructions/Damages/ -
3929. Subsequent Medical Treatment or Aid
California Jury Instructions/Damages/ -
3930. Mitigation Of Damages (Personal Injury)
California Jury Instructions/Damages/ -
3931. Mitigation Of Damages (Property Damage)
California Jury Instructions/Damages/ -
3932. Life Expectancy
California Jury Instructions/Damages/ -
3935. Prejudgment Interest (Civ. Code, § 3288)
California Jury Instructions/39 Damages/ -
3940. Punitive Damages-Individual Defendant-Trial Not Bifurcated
California Jury Instructions/Damages/ -
3941. Punitive Damages-Individual Defendant-Bifurcated Trial (First Phase)
California Jury Instructions/Damages/ -
3942. Punitive Damages-Individual Defendant-Bifurcated Trial (Second Phase)
California Jury Instructions/Damages/ -
3943. Punitive Damages Against Employer Or Princ. Agt Or Employee Cond. Not Bifurcated
California Jury Instructions/Damages/ -
3944. Punitive Damages Employer Principal Conduct Of Agent Employee Bifurcated (1st Phase)
California Jury Instructions/Damages/ -
3945. Punitive Damages-Entity Defendant-Trial Not Bifurcated
California Jury Instructions/Damages/ -
3946. Punitive Damages-Entity Defendant-Bifurcated Trial (First Phase)
California Jury Instructions/Damages/ -
3947. Punitive Damages-Individual And Entity Defendants-Trial Not Bifurcated
California Jury Instructions/Damages/ -
3948. Pun. Damages Ind. And Corp. Defts. (Corp. Liability Acts Of Ind.) Bifurcated (1st)
California Jury Instructions/Damages/ -
3949. Pun. Damages Ind. And Corp. Defts. (Corp. Liability Acts Of Ind.) Bifurcated (2nd)
California Jury Instructions/Damages/ -
3960. Comparative Fault of Plaintiff General Verdict
California Jury Instructions/Damages/ -
3961. Duty To Mitigate Damages For Past Lost Earnings
California Jury Instructions/Damages/ -
3962. Duty To Mitigate Damages For Future Lost Earnings
California Jury Instructions/Damages/ -
3965. No Deduction for Workers Compensation Benefits Paid
California Jury Instructions/Damages/ -
3903C. Past And Future Lost Earnings (Economic Damage)
California Jury Instructions/Damages/ -
3903D. Lost Earning Capacity (Economic Damage)
California Jury Instructions/Damages/ -
3906. Lost Earnings Capacity Not To Reduce Based On Race Ethnicity Gender
California Jury Instructions/39 Damages/ -
3904A. Present Cash Value
California Jury Instructions/Damages/ -
3903J. Damage To Personal Property (Economic Damage)
California Jury Instructions/Damages/ -
3919. Survival Damages (Code Civ. Proc., 377.34)
California Jury Instructions/39 Damages/ -
3963. Affirmative Defense Employees Duty to Mitigate Damages
California Jury Instructions/Damages/ -
3905A. Physical Pain Mental Suffering And Emotional Distress (Noneconomic Damage)
California Jury Instructions/Damages/ -
VF 3900. Punitive Damages
California Jury Instructions/Damages/ -
VF 3901. Punitive Damages Against Employer Or Principal for Conduct of a Specific Agent or Employee
California Jury Instructions/Damages/ -
VF 3902. Punitive Damages Entity Defendant
California Jury Instructions/Damages/ -
VF 3903. Punitive Damages Entity Defendant Ratification
California Jury Instructions/Damages/ -
VF 3904. Punitive Damages Entity Defendant Authorization
California Jury Instructions/Damages/ -
VF 3905. Damages for Wrongful Death (Death of an Adult)
California Jury Instructions/Damages/ -
VF 3906. Damages for Wrongful Death (Parents Recovery for Death of a Minor Child)
California Jury Instructions/Damages/ -
VF 3907. Damages for Loss of Consortium (Noneconomic Damage)
California Jury Instructions/Damages/ -
VF 3920. Damages on Multiple Legal Theories
California Jury Instructions/Damages/
Form Preview
Contact Us
Success: Your message was sent.
Thank you!




