Last updated: 10/14/2020
3942. Punitive Damages Individual Defendant Bifurcated Trial (Second Phase)
Start Your Free Trial $ 13.99What you get:
- Instant access to fillable Microsoft Word or PDF forms.
- Minimize the risk of using outdated forms and eliminate rejected fillings.
- Largest forms database in the USA with more than 80,000 federal, state and agency forms.
- Download, edit, auto-fill multiple forms at once in MS Word using our Forms Workflow Ribbon
- Trusted by 1,000s of Attorneys and Legal Professionals
Description
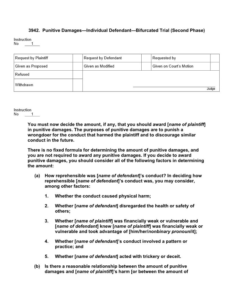
3942. Punitive Damages--Individual Defendant--Bifurcated Trial (Second Phase) Instruction No 1 Request by Plaintiff Given as Proposed Refused Withdrawn Request by Defendant Given as Modified Requested by Given on Court's Motion Judge Instruction No 1 You must now decide the amount, if any, that you should award [name of plaintiff] in punitive damages. The purposes of punitive damages are to punish a wrongdoer for the conduct that harmed the plaintiff and to discourage similar conduct in the future. There is no fixed formula for determining the amount of punitive damages, and you are not required to award any punitive damages. If you decide to award punitive damages, you should consider all of the following factors in determining the amount: (a) How reprehensible was [name of defendant]'s conduct? In deciding how reprehensible [name of defendant]'s conduct was, you may consider, among other factors: 1. 2. 3. Whether the conduct caused physical harm; Whether [name of defendant] disregarded the health or safety of others; Whether [name of plaintiff] was financially weak or vulnerable and [name of defendant] knew [name of plaintiff] was financially weak or vulnerable and took advantage of [him/her/it]; Whether [name of defendant]'s conduct involved a pattern or practice; and Whether [name of defendant] acted with trickery or deceit. 4. 5. (b) Is there a reasonable relationship between the amount of punitive damages and [name of plaintiff]'s harm [or between the amount of 3942. Punitive Damages--Individual Defendant--Bifurcated Trial (Second Phase) Instruction No 1 Request by Plaintiff Given as Proposed Refused Withdrawn Request by Defendant Given as Modified Requested by Given on Court's Motion Judge Instruction No 1 punitive damages and potential harm to [name of plaintiff] that [name of defendant] knew was likely to occur because of [his/her/its] conduct]? (c) In view of [name of defendant]'s financial condition, what amount is necessary to punish [him/her/it] and discourage future wrongful conduct? You may not increase the punitive award above an amount that is otherwise appropriate merely because [name of defendant] has substantial financial resources. [Any award you impose may not exceed [name of defendant]'s ability to pay.] [Punitive damages may not be used to punish [name of defendant] for the impact of [his/her/its] alleged misconduct on persons other than [name of plaintiff].] ________________________________________________________________________________ New September 2003; Revised April 2004, October 2004, June 2006, April 2007, August 2007, October 2008
Related forms
-
3902. Economic And Noneconomic Damages
California Jury Instructions/Damages/ -
3903. Items Of Economic Damage
California Jury Instructions/Damages/ -
3903F. Damage To Real Property (Economic Damage)
California Jury Instructions/Damages/ -
3903H. Damage To Annual Crop (Economic Damage)
California Jury Instructions/Damages/ -
3903I. Damage To Perennial Crop (Economic Damage)
California Jury Instructions/Damages/ -
3903M. Loss Of Use Of Personal Property (Economic Damage)
California Jury Instructions/Damages/ -
3905. Items Of Noneconomic Damage
California Jury Instructions/Damages/ -
3928. Unusually Susceptible Plaintiff
California Jury Instructions/Damages/ -
3901. Introduction to Tort Damages Liability Established
California Jury Instructions/Damages/ -
3964. Jurors Not to Consider Attorney Fees and Court Costs
California Jury Instructions/Damages/ -
3904B. Use of Present-Value Tables
California Jury Instructions/Damages/ -
3933. Damages From Multiple Defendants
California Jury Instructions/Damages/ -
3934. Damages on Multiple Legal Theories
California Jury Instructions/Damages/ -
3904B-add. Present-Value Tables A and B
California Jury Instructions/Damages/ -
3903L. Damage To Personal Property Having Special Value (Civ. Code § 3355) (Economic Damage)
California Jury Instructions/39 Damages/ -
3903K. Loss Or Destruction Of Personal Property (Economic Damage)
California Jury Instructions/Damages/ -
3900. Introduction To Tort Damages-Liability Contested
California Jury Instructions/Damages/ -
3903A. Medical Expenses-Past And Future (Economic Damage)
California Jury Instructions/Damages/ -
3903B. Medical Monitoring-Toxic Exposure (Economic Damage)
California Jury Instructions/Damages/ -
3903E. Loss Of Ability To Provide Household Services (Economic Damage)
California Jury Instructions/Damages/ -
3903G. Loss Of Use Of Real Property (Economic Damage)
California Jury Instructions/Damages/ -
3903N. Lost Profits (Economic Damage)
California Jury Instructions/Damages/ -
3903O. Injury to Pet Costs of Treatment (Economic Damage)
California Jury Instructions/Damages/ -
3903P. Damages From Employer For Wrongful Discharge (Economic Damage)
California Jury Instructions/Damages/ -
3920. Loss Of Consortium (Noneconomic Damage)
California Jury Instructions/Damages/ -
3921. Wrongful Death (Death Of An Adult)
California Jury Instructions/Damages/ -
3922. Wrongful Death (Parents' Recovery For Death Of A Minor Child)
California Jury Instructions/Damages/ -
3923. Public Entities-Collateral Source Payments (Gov. Code § 985)
California Jury Instructions/39 Damages/ -
3924. No Punitive Damages
California Jury Instructions/Damages/ -
3925. Arguments Of Counsel Not Evidence Of Damages
California Jury Instructions/Damages/ -
3926. Settlement Deduction
California Jury Instructions/Damages/ -
3927. Aggravation Of Preexisting Condition Or Disability
California Jury Instructions/Damages/ -
3929. Subsequent Medical Treatment or Aid
California Jury Instructions/Damages/ -
3930. Mitigation Of Damages (Personal Injury)
California Jury Instructions/Damages/ -
3931. Mitigation Of Damages (Property Damage)
California Jury Instructions/Damages/ -
3932. Life Expectancy
California Jury Instructions/Damages/ -
3935. Prejudgment Interest (Civ. Code, § 3288)
California Jury Instructions/39 Damages/ -
3940. Punitive Damages-Individual Defendant-Trial Not Bifurcated
California Jury Instructions/Damages/ -
3941. Punitive Damages-Individual Defendant-Bifurcated Trial (First Phase)
California Jury Instructions/Damages/ -
3942. Punitive Damages-Individual Defendant-Bifurcated Trial (Second Phase)
California Jury Instructions/Damages/ -
3943. Punitive Damages Against Employer Or Princ. Agt Or Employee Cond. Not Bifurcated
California Jury Instructions/Damages/ -
3944. Punitive Damages Employer Principal Conduct Of Agent Employee Bifurcated (1st Phase)
California Jury Instructions/Damages/ -
3945. Punitive Damages-Entity Defendant-Trial Not Bifurcated
California Jury Instructions/Damages/ -
3946. Punitive Damages-Entity Defendant-Bifurcated Trial (First Phase)
California Jury Instructions/Damages/ -
3947. Punitive Damages-Individual And Entity Defendants-Trial Not Bifurcated
California Jury Instructions/Damages/ -
3948. Pun. Damages Ind. And Corp. Defts. (Corp. Liability Acts Of Ind.) Bifurcated (1st)
California Jury Instructions/Damages/ -
3949. Pun. Damages Ind. And Corp. Defts. (Corp. Liability Acts Of Ind.) Bifurcated (2nd)
California Jury Instructions/Damages/ -
3960. Comparative Fault of Plaintiff General Verdict
California Jury Instructions/Damages/ -
3961. Duty To Mitigate Damages For Past Lost Earnings
California Jury Instructions/Damages/ -
3962. Duty To Mitigate Damages For Future Lost Earnings
California Jury Instructions/Damages/ -
3965. No Deduction for Workers Compensation Benefits Paid
California Jury Instructions/Damages/ -
3903C. Past And Future Lost Earnings (Economic Damage)
California Jury Instructions/Damages/ -
3903D. Lost Earning Capacity (Economic Damage)
California Jury Instructions/Damages/ -
3906. Lost Earnings Capacity Not To Reduce Based On Race Ethnicity Gender
California Jury Instructions/39 Damages/ -
3904A. Present Cash Value
California Jury Instructions/Damages/ -
3903J. Damage To Personal Property (Economic Damage)
California Jury Instructions/Damages/ -
3919. Survival Damages (Code Civ. Proc., 377.34)
California Jury Instructions/39 Damages/ -
3963. Affirmative Defense Employees Duty to Mitigate Damages
California Jury Instructions/Damages/ -
3905A. Physical Pain Mental Suffering And Emotional Distress (Noneconomic Damage)
California Jury Instructions/Damages/ -
VF 3900. Punitive Damages
California Jury Instructions/Damages/ -
VF 3901. Punitive Damages Against Employer Or Principal for Conduct of a Specific Agent or Employee
California Jury Instructions/Damages/ -
VF 3902. Punitive Damages Entity Defendant
California Jury Instructions/Damages/ -
VF 3903. Punitive Damages Entity Defendant Ratification
California Jury Instructions/Damages/ -
VF 3904. Punitive Damages Entity Defendant Authorization
California Jury Instructions/Damages/ -
VF 3905. Damages for Wrongful Death (Death of an Adult)
California Jury Instructions/Damages/ -
VF 3906. Damages for Wrongful Death (Parents Recovery for Death of a Minor Child)
California Jury Instructions/Damages/ -
VF 3907. Damages for Loss of Consortium (Noneconomic Damage)
California Jury Instructions/Damages/ -
VF 3920. Damages on Multiple Legal Theories
California Jury Instructions/Damages/
Form Preview
Contact Us
Success: Your message was sent.
Thank you!




