Last updated: 12/20/2006
Order Regarding Telephonic Appearance Or Testimony
Start Your Free Trial $ 13.99What you get:
- Instant access to fillable Microsoft Word or PDF forms.
- Minimize the risk of using outdated forms and eliminate rejected fillings.
- Largest forms database in the USA with more than 80,000 federal, state and agency forms.
- Download, edit, auto-fill multiple forms at once in MS Word using our Forms Workflow Ribbon
- Trusted by 1,000s of Attorneys and Legal Professionals
Description
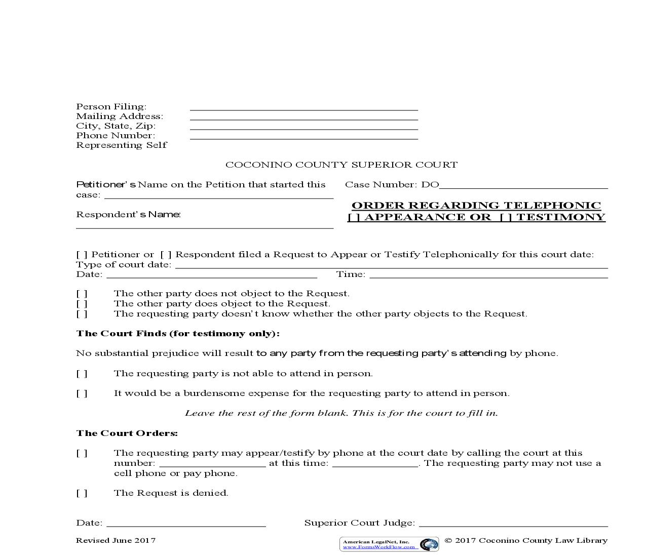
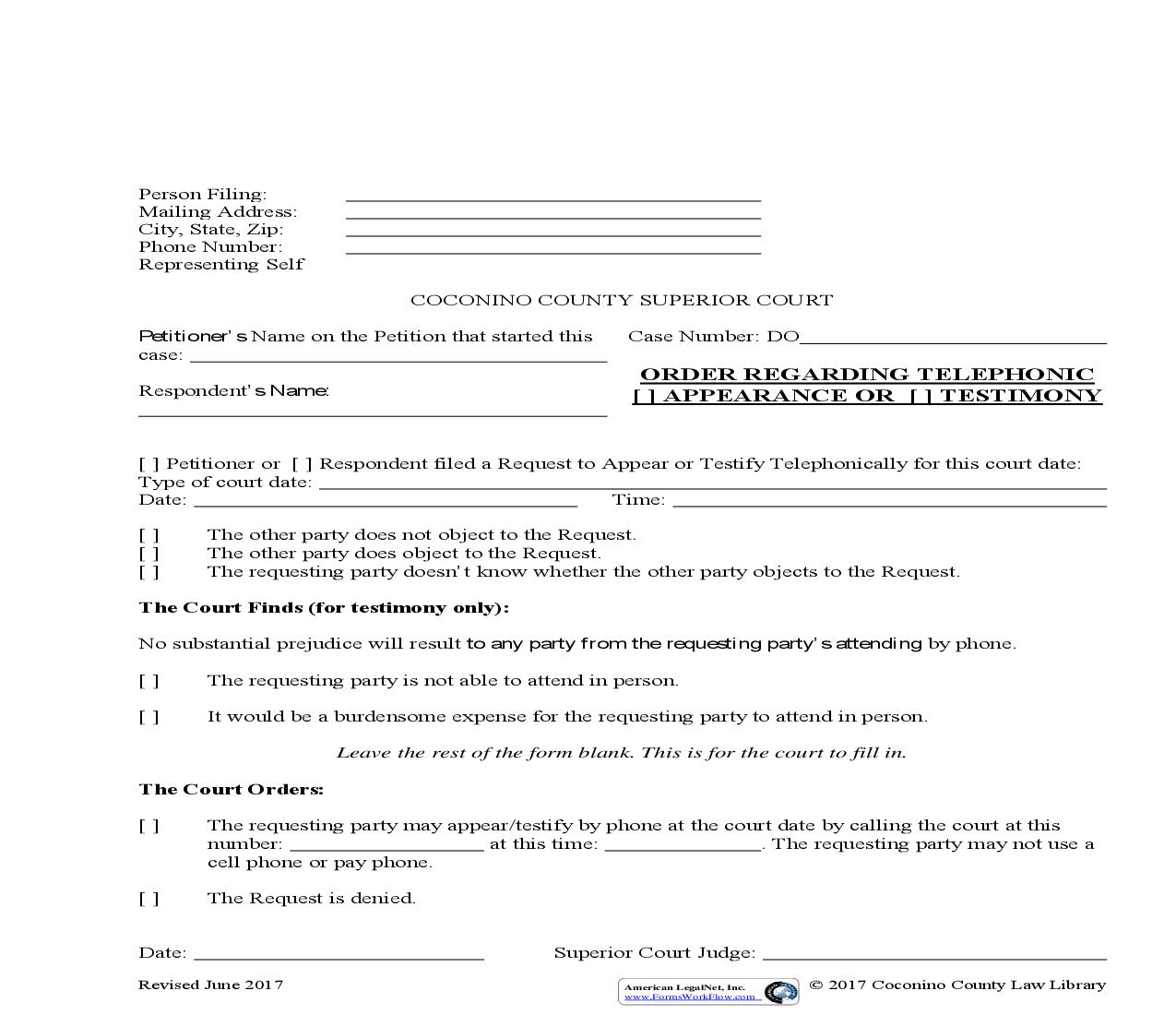
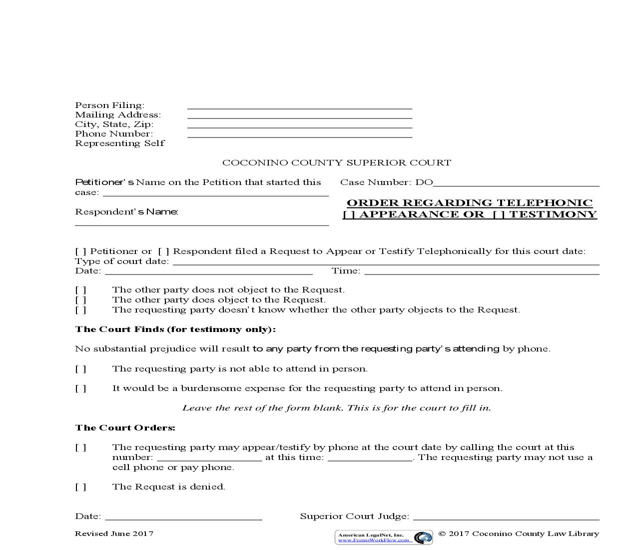
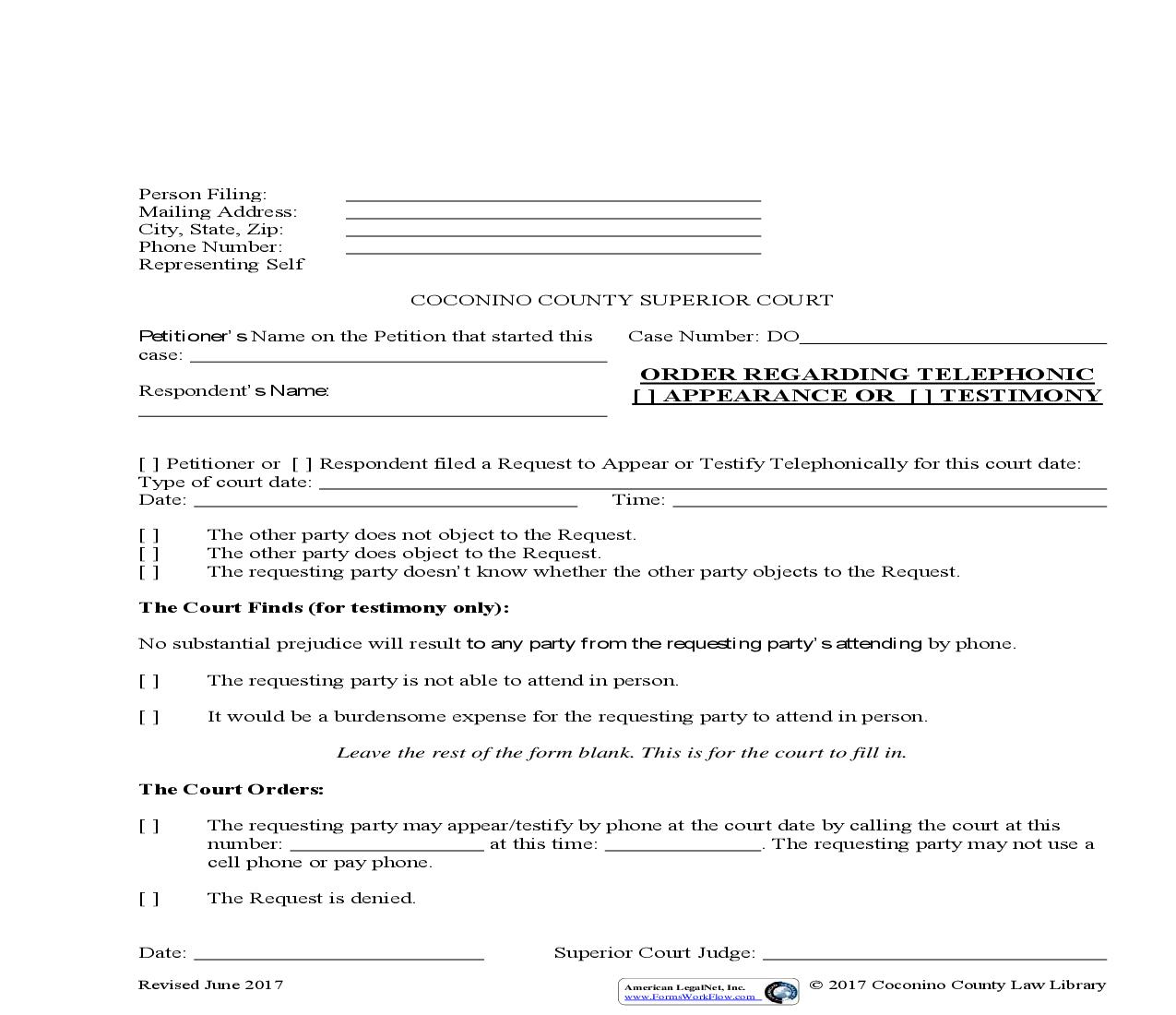
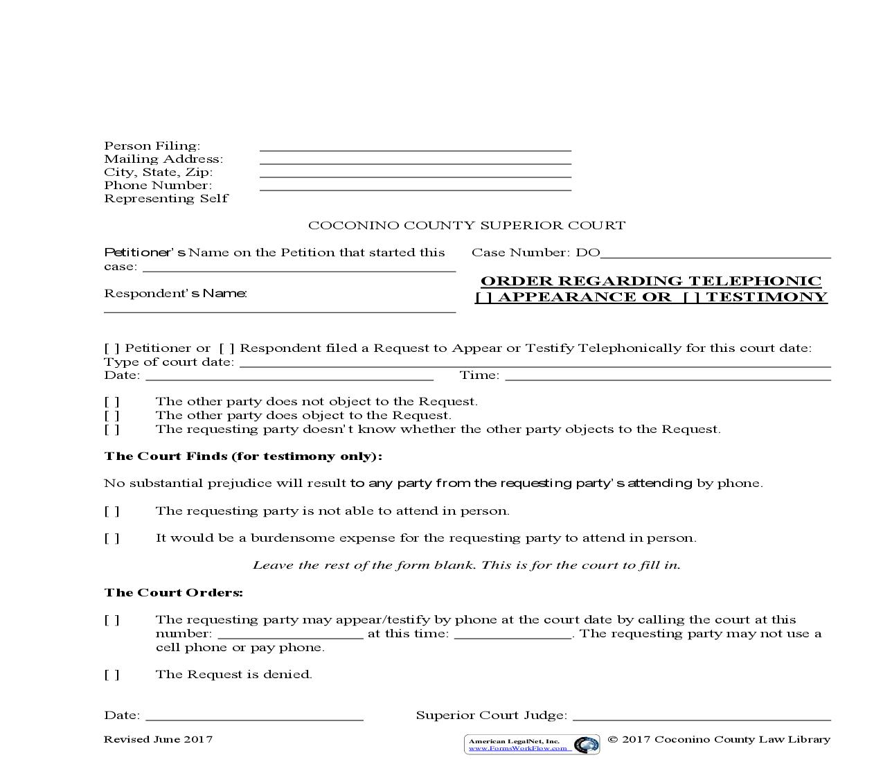
(1) Name: Street Address: City, State, Zip: Phone Number: Representing Self SUPERIOR COURT OF ARIZONA, COUNTY OF COCONINO (2) Petitioner: (3) Respondent: (4) Case Number: DO (5) ORDER REGARDING TELEPHONIC [ ] APPEARANCE OR [ ] TESTIMONY (6) A Request to Appear or Testify Telephonically was filed as follows: Name of Requesting Party: Name of Proceeding: Date: Time: (7) [ ] [] [] The other party/The other party's attorney does not object to the Request. The other party/The other party's attorney objects to the Request. The requesting party doesn't know whether the other party/the other party's attorney objects to the Request. (8) The Court Finds (for testimony only): [] [] [] No substantial prejudice will result to any party from the requesting party's attending telephonically. The requesting party is reasonably prevented from attending in person. It would be a burdensome expense for the requesting party to attend in person. The Court Orders: [] The requesting party may appear/testify telephonically at the court proceeding on the date listed above by calling the court at this number: at this time: . The requesting party may not use a cell phone or pay phone to attend telephonically. The Request is denied. Superior Court Judge: [] Date: Revised May 2006A Coconino County Law Library and Self-Help Center Forms American LegalNet, Inc. www.FormsWorkflow.com
Related forms
-
Consent Of Parent To Guardianship Conservatorship Of Minor Child And Waiver Of Notice
Arizona/Local County/Coconino/Superior Court/Children And Family Law/ -
Domestic Relations Cover Sheet
Arizona/Local County/Coconino/Superior Court/Children And Family Law/ -
Letter - Service By Publication
Arizona/Local County/Coconino/Superior Court/Children And Family Law/ -
Revocation Of Power Of Attorney (Over Minor Child)
Arizona/Local County/Coconino/Superior Court/Children And Family Law/ -
Exhibit A-Receipts And Disbursements
Arizona/Local County/Coconino/Superior Court/Children And Family Law/ -
Exhibit B-Gains And Losses
Arizona/Local County/Coconino/Superior Court/Children And Family Law/ -
Exhibit C-Inventory Of Estate
Arizona/Local County/Coconino/Superior Court/Children And Family Law/ -
Report Of The Court Appointed Investigator (with instructions)
Arizona/Local County/Coconino/Superior Court/Children And Family Law/ -
Order Regarding Telephonic Appearance Or Testimony
Arizona/Local County/Coconino/Superior Court/Children And Family Law/ -
Guardian-Conservator Cover Sheet
Arizona/Local County/Coconino/Superior Court/Children And Family Law/ -
Order To Appear On A Motion For A Temporary Order
Arizona/Local County/Coconino/Superior Court/Children And Family Law/ -
Notice Of Right To Convert Health Insurance
Arizona/Local County/Coconino/Superior Court/Children And Family Law/ -
Notice Regrading Community Debts
Arizona/Local County/Coconino/Superior Court/Children And Family Law/ -
Petition For Modification Of Parenting Time, Legal Decision-Making And Child Support
Arizona/Local County/Coconino/Superior Court/Children And Family Law/ -
Disclosure Statement For Cases Without Children
Arizona/Local County/Coconino/Superior Court/Children And Family Law/ -
Affidavit Of Service By Publication (Guardianship) (For A Minor)
Arizona/Local County/Coconino/Superior Court/Children And Family Law/ -
Letter - Moving With Your Children
Arizona/Local County/Coconino/Superior Court/Children And Family Law/ -
Order Terminating An Income Withholding Order (The Other Party Wont Sign)
Arizona/Local County/Coconino/Superior Court/Children And Family Law/ -
Order To Guardian And-Or Conservator And Acknowledgment (For A Minor)
Arizona/Local County/Coconino/Superior Court/Children And Family Law/ -
Petitioners Information Sheet To Court Investigator
Arizona/Local County/Coconino/Superior Court/Children And Family Law/ -
Request To Terminate An Income Withholding Order
Arizona/Local County/Coconino/Superior Court/Children And Family Law/ -
Settlement Conference Memorandum (For Divorce Or Legal Separation Without Children)
Arizona/Local County/Coconino/Superior Court/Children And Family Law/ -
Settlement Conference Memorandum (For Parenting Time-Legal Decision-Making And Child Support)
Arizona/Local County/Coconino/Superior Court/Children And Family Law/ -
Disclosure Statement For Divorce Or Legal Separation With Children
Arizona/Local County/Coconino/Superior Court/Children And Family Law/ -
Order Modifying Parenting Time, Legal Decision-Making And Child Support
Arizona/Local County/Coconino/Superior Court/Children And Family Law/ -
Power Of Attorney Over Minor Child
Arizona/Local County/Coconino/Superior Court/Children And Family Law/ -
Request To Appear Or Testify Telephonically
Arizona/Local County/Coconino/Superior Court/Children And Family Law/ -
Affidavit Of Service By Publication
Arizona/Local County/Coconino/Superior Court/Children And Family Law/ -
Child Support Order
Arizona/Local County/Coconino/Superior Court/Children And Family Law/ -
Disclosure Statement For Changing Court Orders About Children
Arizona/Local County/Coconino/Superior Court/Children And Family Law/ -
Hearing Order Regarding Order Of Protection Injunction Against Harassment
Arizona/Local County/Coconino/Superior Court/Children And Family Law/ -
Order Changing Name Of Adult And Or Minor
Arizona/Local County/Coconino/Superior Court/Children And Family Law/ -
Inventory Of Estate For An Adult
Arizona/Local County/Coconino/Superior Court/Children And Family Law/ -
Default Information For Spousal Support
Arizona/2 Local County/Coconino/Superior Court/Children And Family Law/ -
Decree Of Legal Separation Divorce Without Minor Children
Arizona/Local County/Coconino/Superior Court/Children And Family Law/ -
Letter Attorney Generals Signature On A Stipulation To Terminate An Income Withholding Order
Arizona/Local County/Coconino/Superior Court/Children And Family Law/ -
Consent Decree Of Legal Separation Divorce Without Minor Children
Arizona/Local County/Coconino/Superior Court/Children And Family Law/ -
Request For Hearing About A Request To Change Child Support Simplified Procedure
Arizona/Local County/Coconino/Superior Court/Children And Family Law/ -
Petition For Order To Appear On Enforcement Of Child
Arizona/Local County/Coconino/Superior Court/Children And Family Law/ -
Petition For Familiy Court Services
Arizona/Local County/Coconino/Superior Court/Children And Family Law/ -
Probate Information Form
Arizona/Local County/Coconino/Superior Court/Children And Family Law/ -
Order To Conservator Of A Minor
Arizona/Local County/Coconino/Superior Court/Children And Family Law/ -
Request To Modify Child Support Simplified Procedure
Arizona/Local County/Coconino/Superior Court/Children And Family Law/ -
Petition For Modification Of Parenting Time And Child Support
Arizona/Local County/Coconino/Superior Court/Children And Family Law/ -
Temporary Order For Parenting Time Legal Decision
Arizona/Local County/Coconino/Superior Court/Children And Family Law/ -
Motion For Temporary Parenting Time Legal Decision Making
Arizona/Local County/Coconino/Superior Court/Children And Family Law/ -
Disclosure Statement For Temporary Orders
Arizona/Local County/Coconino/Superior Court/Children And Family Law/ -
Notice Of Hearing About A Request
Arizona/Local County/Coconino/Superior Court/Children And Family Law/ -
Inventory Of Property And Debt
Arizona/Local County/Coconino/Superior Court/Children And Family Law/ -
Request To Adjust An Income Withholding Order
Arizona/Local County/Coconino/Superior Court/Children And Family Law/ -
Request For A Hearing On A Request To Adjust
Arizona/Local County/Coconino/Superior Court/Children And Family Law/ -
Petition For Order Of Protection Injunction Against Harassment
Arizona/Local County/Coconino/Superior Court/Children And Family Law/ -
Request Hearing Dismiss Order Cancel Hearing And Order
Arizona/Local County/Coconino/Superior Court/Children And Family Law/ -
Notice Of Hearing Order Of Protection Injunction Against Harassment
Arizona/Local County/Coconino/Superior Court/Children And Family Law/ -
Order To Guardian And Or Conservator And Acknowledgment Adult
Arizona/Local County/Coconino/Superior Court/Children And Family Law/ -
Pre Trial Statement Changing Court Orders Legal Decision Making
Arizona/Local County/Coconino/Superior Court/Children And Family Law/ -
Conservators Accounting
Arizona/Local County/Coconino/Superior Court/Children And Family Law/ -
Response To Petition For Legal Separation Without Children
Arizona/Local County/Coconino/Superior Court/Children And Family Law/ -
Inventory Of Estate For A Minor
Arizona/Local County/Coconino/Superior Court/Children And Family Law/ -
Preliminary Injunction Divorce Or Legal Separation
Arizona/Local County/Coconino/Superior Court/Children And Family Law/ -
Petition For Divorce Without Children
Arizona/Local County/Coconino/Superior Court/Children And Family Law/ -
Notice Of Issues
Arizona/Local County/Coconino/Superior Court/Children And Family Law/ -
Petition For Legal Separation Without Children
Arizona/Local County/Coconino/Superior Court/Children And Family Law/ -
Child Support Information Form
Arizona/Local County/Coconino/Superior Court/Children And Family Law/ -
Guardians Report
Arizona/Local County/Coconino/Superior Court/Children And Family Law/ -
Voluntary Request For Order Of Paternity
Arizona/Local County/Coconino/Superior Court/Children And Family Law/ -
Order Of Paternity
Arizona/Local County/Coconino/Superior Court/Children And Family Law/ -
Final Accounting For Conservatorship Of A Minor
Arizona/Local County/Coconino/Superior Court/Children And Family Law/ -
Notice Of Hearing For A Minor
Arizona/Local County/Coconino/Superior Court/Children And Family Law/ -
Final Accounting For Conservatorship Of An Adult
Arizona/Local County/Coconino/Superior Court/Children And Family Law/ -
Petition For Guardianship Only Conservatorship Only And Guardianship Conservatorship (For An Adult)
Arizona/Local County/Coconino/Superior Court/Children And Family Law/ -
Notice Of Filing Exhibits
Arizona/Local County/Coconino/Superior Court/Children And Family Law/ -
Notice Of Hearing For An Adult
Arizona/Local County/Coconino/Superior Court/Children And Family Law/ -
Response To Petition For Legal Separation With Children
Arizona/Local County/Coconino/Superior Court/Children And Family Law/ -
Education Order
Arizona/Local County/Coconino/Superior Court/Children And Family Law/ -
Motion To Continue And Order
Arizona/Local County/Coconino/Superior Court/Children And Family Law/ -
Response To Petition For Modification Of Parenting Time Legal Decision Making Or The Childrens Residence
Arizona/2 Local County/Coconino/Superior Court/Children And Family Law/ -
Pre Trial Statement With Minor Children
Arizona/Local County/Coconino/Superior Court/Children And Family Law/ -
Stipulation To Proceed By Consent Decree Of
Arizona/Local County/Coconino/Superior Court/Children And Family Law/ -
Consent Decree Of Parenting Time Legal Decision
Arizona/Local County/Coconino/Superior Court/Children And Family Law/ -
Order Changing Parenting Time Legal Decision Making And Child Support
Arizona/2 Local County/Coconino/Superior Court/Children And Family Law/ -
Order Modifying Parenting Time And Child Support
Arizona/2 Local County/Coconino/Superior Court/Children And Family Law/ -
Order For Family Court Services
Arizona/Local County/Coconino/Superior Court/Children And Family Law/ -
Order Setting A Hearing On A Request To Adjust Or Terminate An Income Withholding Order
Arizona/Local County/Coconino/Superior Court/Children And Family Law/ -
Petition For Parenting Time Legal Decision Making And Child Support
Arizona/2 Local County/Coconino/Superior Court/Children And Family Law/ -
Application For Default
Arizona/2 Local County/Coconino/Superior Court/Children And Family Law/ -
Motion And Affidavit For Judgment By Default Without A Hearing
Arizona/Local County/Coconino/Superior Court/Children And Family Law/ -
Disclosure Statement For Enforcing Court Orders About Children
Arizona/Local County/Coconino/Superior Court/Children And Family Law/ -
Proposed Resolution Statement
Arizona/Local County/Coconino/Superior Court/Children And Family Law/ -
Affidavit Of Financial Information
Arizona/Local County/Coconino/Superior Court/Children And Family Law/ -
Request To Register Another States Custody Order With Arizona
Arizona/Local County/Coconino/Superior Court/Children And Family Law/ -
Confidential Sensitive Data Form
Arizona/Local County/Coconino/Superior Court/Children And Family Law/ -
Petition To Discharge
Arizona/Local County/Coconino/Superior Court/Children And Family Law/ -
Order Regarding Discharge Of Guardian Conservator Both (For An Adult)
Arizona/Local County/Coconino/Superior Court/Children And Family Law/ -
Order Appointing A Court Investigator
Arizona/Local County/Coconino/Superior Court/Children And Family Law/ -
Withdrawal Of Consent Of Parent To Guardianship And Conservatorship
Arizona/Local County/Coconino/Superior Court/Children And Family Law/ -
Order To Appear-Post-Judgment-Decree
Arizona/Local County/Coconino/Superior Court/Children And Family Law/ -
Motion To Set
Arizona/Local County/Coconino/Superior Court/Children And Family Law/ -
Order Setting Trial
Arizona/Local County/Coconino/Superior Court/Children And Family Law/ -
Affidavit Of Delivery
Arizona/Local County/Coconino/Superior Court/Children And Family Law/ -
Notice Of Completing Training For Guardians And Or Conservators
Arizona/Local County/Coconino/Superior Court/Children And Family Law/ -
Affidavit Of Person To Be Appointed Guardian And Or Conservator
Arizona/Local County/Coconino/Superior Court/Children And Family Law/ -
Order Appointing Guardian And-Or Conservator (Minor)
Arizona/Local County/Coconino/Superior Court/Children And Family Law/ -
Order Appointing A Temporary Guardian And Conservator (For A Minor)
Arizona/Local County/Coconino/Superior Court/Children And Family Law/ -
Letters And Acceptance Of Letters For Temporary Guardianship
Arizona/Local County/Coconino/Superior Court/Children And Family Law/ -
Acceptance Of Service (Guardianship) (For A Minor)
Arizona/Local County/Coconino/Superior Court/Children And Family Law/ -
Proof Of Notice (Guardianship)
Arizona/Local County/Coconino/Superior Court/Children And Family Law/ -
Proof Of Bond (For A Minor)
Arizona/Local County/Coconino/Superior Court/Children And Family Law/ -
Proof Of Restricted Account
Arizona/Local County/Coconino/Superior Court/Children And Family Law/ -
Order Appointing Attorney Health Professional And Court Investigator
Arizona/Local County/Coconino/Superior Court/Children And Family Law/ -
Order Appointing Guardian And Or Conservator Adult
Arizona/Local County/Coconino/Superior Court/Children And Family Law/ -
Acceptance Of Service (Guardianship) (For An Adult)
Arizona/Local County/Coconino/Superior Court/Children And Family Law/ -
Affidavit Of Service By Publication (Guardianship) (For An Adult)
Arizona/Local County/Coconino/Superior Court/Children And Family Law/ -
Proof Of Bond (For An Adult)
Arizona/Local County/Coconino/Superior Court/Children And Family Law/ -
Joint Legal Decision Making Agreement
Arizona/Local County/Coconino/Superior Court/Children And Family Law/ -
Summons
Arizona/Local County/Coconino/Superior Court/Children And Family Law/ -
Notice Of Dismissal (A Response Was Not Filed)
Arizona/Local County/Coconino/Superior Court/Children And Family Law/ -
Order For Minor Name Change
Arizona/Local County/Coconino/Superior Court/Children And Family Law/ -
Pre Trial Statement Without Children
Arizona/Local County/Coconino/Superior Court/Children And Family Law/ -
Petition For Guardianship Conservatorship Only For A Minor
Arizona/Local County/Coconino/Superior Court/Children And Family Law/ -
Decree Of Parenting Time Legal Decision Making And Child Support
Arizona/Local County/Coconino/Superior Court/Children And Family Law/ -
Motion And Order To Renew Inpatient Mental Health Care Authority
Arizona/Local County/Coconino/Superior Court/Children And Family Law/ -
Settlement Conference Memorandum (For Divorce Or Legal Separation With Children)
Arizona/Local County/Coconino/Superior Court/Children And Family Law/ -
Disclosure Statement For Parenting Time Legal Decision Making And Child Support
Arizona/Local County/Coconino/Superior Court/Children And Family Law/ -
Order Of Dismissal
Arizona/Local County/Coconino/Superior Court/Children And Family Law/ -
Order Regarding Discharge Of Guardian Conservator Both (Minor)
Arizona/Local County/Coconino/Superior Court/Children And Family Law/ -
Stipulation Of Dismissal
Arizona/Local County/Coconino/Superior Court/Children And Family Law/ -
Subpoena And Affidavit Of Service Of Subpoena
Arizona/Local County/Coconino/Superior Court/Children And Family Law/ -
Stipulation To Terminate An Income Withholding Order
Arizona/Local County/Coconino/Superior Court/Children And Family Law/ -
Order Terminating An Income Withholding Order Pursuant To A Stipulation
Arizona/Local County/Coconino/Superior Court/Children And Family Law/ -
Letters And Their Acceptance For Guardianship For An Adult
Arizona/Local County/Coconino/Superior Court/Children And Family Law/ -
Letters And Acceptance Of Letters For Guardianship For A Minor
Arizona/Local County/Coconino/Superior Court/Children And Family Law/ -
Acceptance Of Service
Arizona/Local County/Coconino/Superior Court/Children And Family Law/ -
Affidavit Of Service By Certified Mail
Arizona/Local County/Coconino/Superior Court/Children And Family Law/ -
Consent Decree Of Legal Separation Divorce With Minor Children
Arizona/Local County/Coconino/Superior Court/Children And Family Law/ -
Petition For Minor Name Change The Other Parent Wont Sign
Arizona/Local County/Coconino/Superior Court/Children And Family Law/ -
Petition For Legal Separation With Children
Arizona/Local County/Coconino/Superior Court/Children And Family Law/ -
Response To Petition For Divorce With Children
Arizona/Local County/Coconino/Superior Court/Children And Family Law/ -
Decree Of Legal Separation Divorce With Minor Children
Arizona/Local County/Coconino/Superior Court/Children And Family Law/ -
Response To Petition For Divorce Without Children
Arizona/Local County/Coconino/Superior Court/Children And Family Law/ -
Petition For Divorce With Children
Arizona/Local County/Coconino/Superior Court/Children And Family Law/ -
Health Professionals Report
Arizona/Local County/Coconino/Superior Court/Children And Family Law/
Form Preview
Contact Us
Success: Your message was sent.
Thank you!




