Last updated: 9/10/2025
Certificate Of Revocation Of Dissolution For Use By Domestic Corps {533}
Start Your Free Trial $ 15.99What you get:
- Instant access to fillable Microsoft Word or PDF forms.
- Minimize the risk of using outdated forms and eliminate rejected fillings.
- Largest forms database in the USA with more than 80,000 federal, state and agency forms.
- Download, edit, auto-fill multiple forms at once in MS Word using our Forms Workflow Ribbon
- Trusted by 1,000s of Attorneys and Legal Professionals
Description
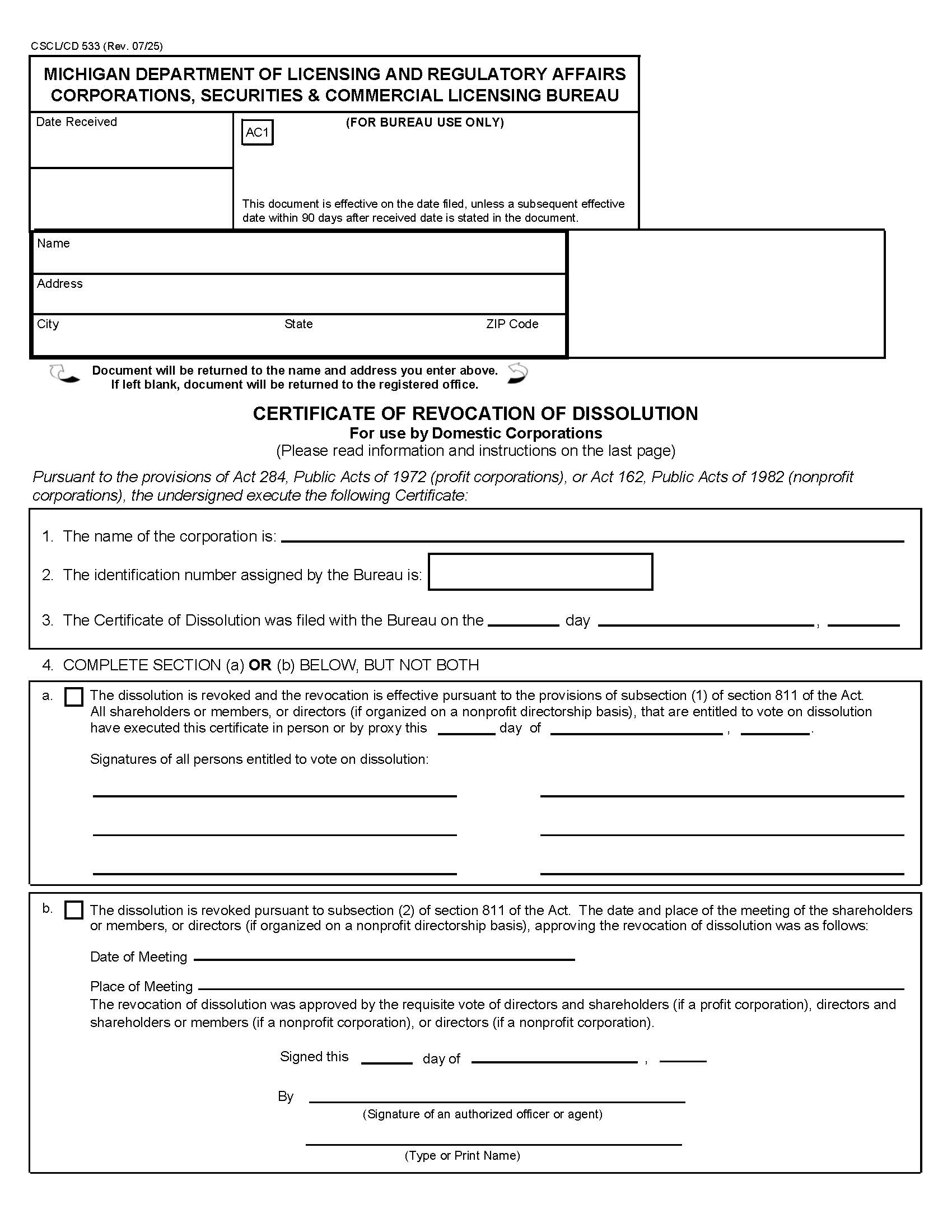
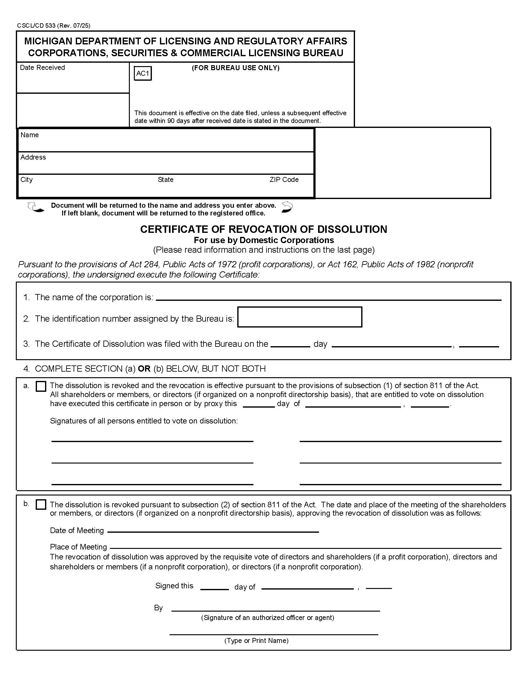
533 - CERTIFICATE OF REVOCATION OF DISSOLUTION. This form is used by domestic corporations in Michigan to officially revoke a previously filed Certificate of Dissolution. This means the corporation has decided to cancel the process of dissolving and intends to continue its legal existence. The form is applicable to both profit corporations under Act 284 of 1972 and nonprofit corporations under Act 162 of 1982. The revocation must be made before the company has fully distributed its assets and when no court proceedings related to dissolution are pending. The form allows corporations to revoke dissolution either by unanimous written agreement of all shareholders, members, or directors entitled to vote, or by vote at a properly held meeting. It includes sections for the corporation’s name, identification number, original dissolution date, the method of revocation, and signatures from authorized parties. Once filed with the Michigan Department of Licensing and Regulatory Affairs (LARA), the revocation becomes effective on the date of filing or on a later date specified within 90 days. www.FormsWorkflow.com
Related forms
-
Professional Service Corporation List Of Shareholders
Michigan/Secretary Of State/Corporation Division/Corporations/ -
Waiver Statement
Michigan/Secretary Of State/Corporation Division/Corporations/ -
Amended Application For Certificate Of Authority (Foeign Profit )
Michigan/4 Secretary Of State/Corporation Division/Corporations/ -
Amended Application For Certificate Of Authority
Michigan/Secretary Of State/Corporation Division/Corporations/ -
Application For Certificate Of Authority To Transact Business Or Conduct Affairs In MI For Use By Foreign Corps
Michigan/Secretary Of State/Corporation Division/Corporations/ -
Application For Certificate Of Withdrawal For Use By Foreign Corps
Michigan/Secretary Of State/Corporation Division/Corporations/ -
Application For Registration Of Corporate Name For Use By Foreign Profit Corps
Michigan/Secretary Of State/Corporation Division/Corporations/ -
Articles Of Incorporation For Use By Domestic Nonprofit Corps
Michigan/Secretary Of State/Corporation Division/Corporations/ -
Articles Of Incorporation For Use By Domestic Profit Corps
Michigan/Secretary Of State/Corporation Division/Corporations/ -
Articles Of Incorporation For Use By Domestic Profit Professional Service Corps
Michigan/Secretary Of State/Corporation Division/Corporations/ -
Articles Of Incorporation For Use By Ecclesiastical Corps
Michigan/Secretary Of State/Corporation Division/Corporations/ -
Certificate Of Abandonment Of Amendment For Use By Domestic Corps
Michigan/Secretary Of State/Corporation Division/Corporations/ -
Certificate Of Abandonment Of Merger Or Consolidation Or Share Exchange For Use By Domestic Corps
Michigan/Secretary Of State/Corporation Division/Corporations/ -
Certificate Of Amendment To Articles Of Incorporation For Use By Ecclesiastical Corps
Michigan/Secretary Of State/Corporation Division/Corporations/ -
Certificate Of Amendment To Articles Of Incorporation For Use By Nonprofit Corps
Michigan/Secretary Of State/Corporation Division/Corporations/ -
Certificate Of Appointment Of Resident Agent For Use By Domestic Corps
Michigan/Secretary Of State/Corporation Division/Corporations/ -
Certificate Of Conversion
Michigan/Secretary Of State/Corporation Division/Corporations/ -
Certificate Of Dissolution For Use By Domestic Corps (Before Commencement)
Michigan/Secretary Of State/Corporation Division/Corporations/ -
Certificate Of Dissolution For Use By Domestic Corps
Michigan/Secretary Of State/Corporation Division/Corporations/ -
Certificate Of Merger For Use By Parent And Subsidiary Profit Corps
Michigan/Secretary Of State/Corporation Division/Corporations/ -
Certificate Of Merger Or Consolidation For Use By Domestic Nonprofit Corporations
Michigan/Secretary Of State/Corporation Division/Corporations/ -
Certificate Of Renewal Of Corporate Existence For Use By Domestic Corps
Michigan/Secretary Of State/Corporation Division/Corporations/ -
Certificate Of Revocation Of Dissolution For Use By Domestic Corps
Michigan/Secretary Of State/Corporation Division/Corporations/ -
Certificate Of Share Exchange For Domestic Or Foreign Profit Corps
Michigan/Secretary Of State/Corporation Division/Corporations/ -
Certificate Of Termination Of Registration Of Corporate Name For Use By Foreign Corps
Michigan/Secretary Of State/Corporation Division/Corporations/ -
Restated Articles Of Incorporation
Michigan/Secretary Of State/Corporation Division/Corporations/ -
Restated Articles Of Incorporation For Use By Domestic Nonprofit Corporations
Michigan/Secretary Of State/Corporation Division/Corporations/ -
Restated Articles Of Incorporation For Use By Domestic Nonprofit Corporations
Michigan/Secretary Of State/Corporation Division/Corporations/ -
Restated Articles Of Incorporation For Use By Domestic Nonprofit Corps
Michigan/Secretary Of State/Corporation Division/Corporations/ -
Restated Articles Of Incorporation For Use By Domestic Profit Corporation
Michigan/Secretary Of State/Corporation Division/Corporations/ -
Restated Articles Of Incorporation For Use By Domestic Profit Corporations
Michigan/Secretary Of State/Corporation Division/Corporations/ -
Restated Articles Of Incorporation For Use By Domestic Profit Corporations
Michigan/Secretary Of State/Corporation Division/Corporations/ -
Restated Articles Of Incorporation For Use By Ecclesiastical Corps
Michigan/Secretary Of State/Corporation Division/Corporations/
Form Preview
Contact Us
Success: Your message was sent.
Thank you!




