Last updated: 10/8/2025
Petition To Vacate Acknowledgment Of Parentage {5-15}
Start Your Free Trial $ 15.99What you get:
- Instant access to fillable Microsoft Word or PDF forms.
- Minimize the risk of using outdated forms and eliminate rejected fillings.
- Largest forms database in the USA with more than 80,000 federal, state and agency forms.
- Download, edit, auto-fill multiple forms at once in MS Word using our Forms Workflow Ribbon
- Trusted by 1,000s of Attorneys and Legal Professionals
Description
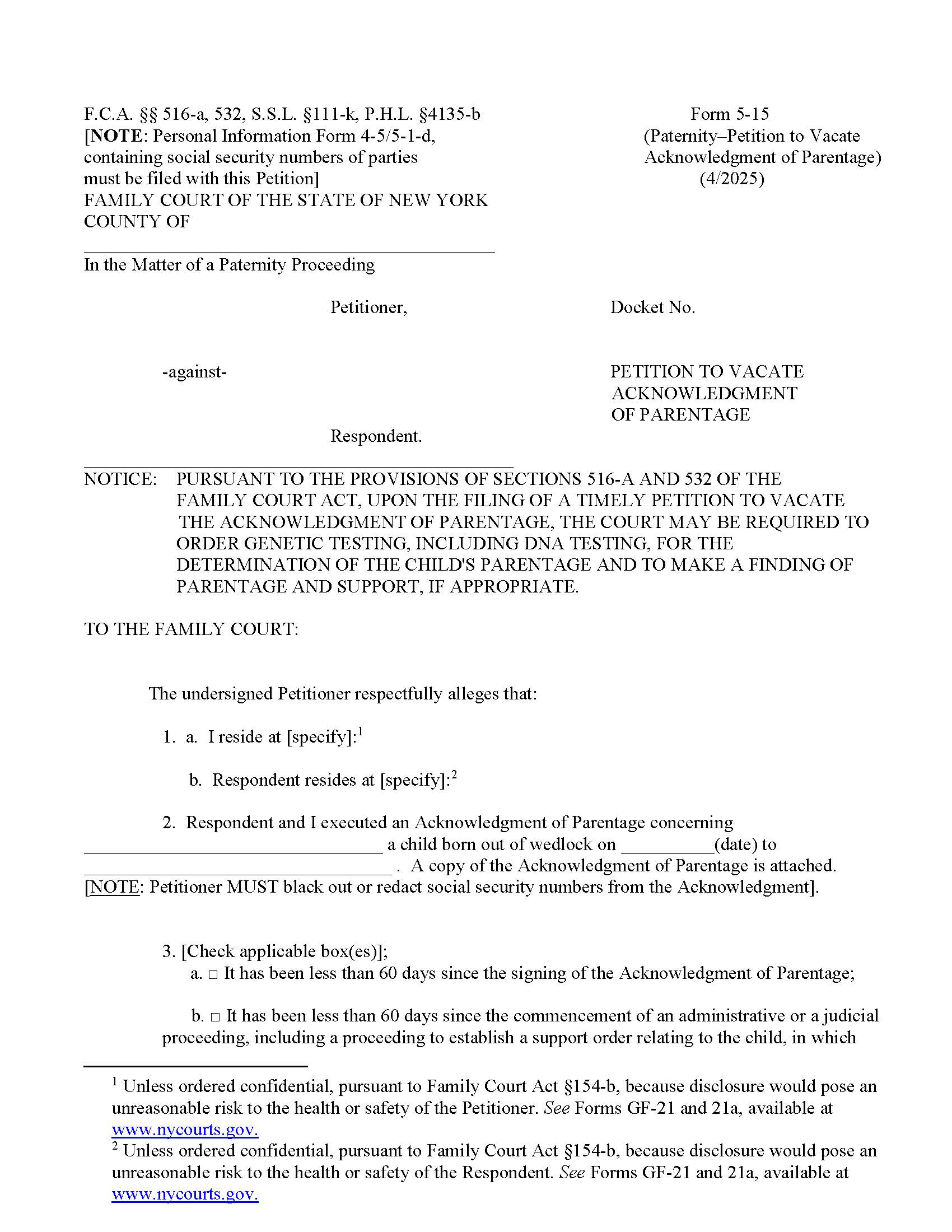
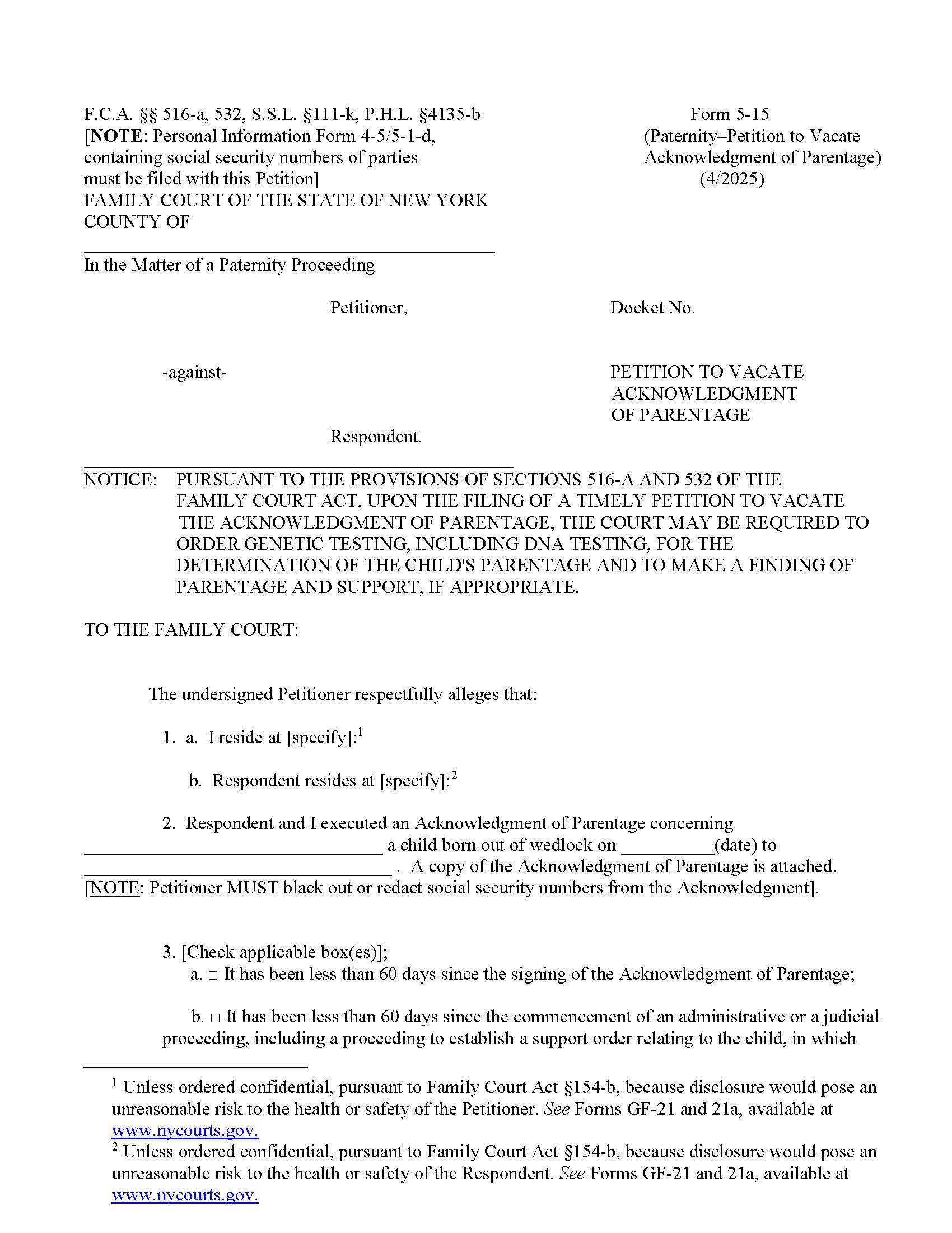
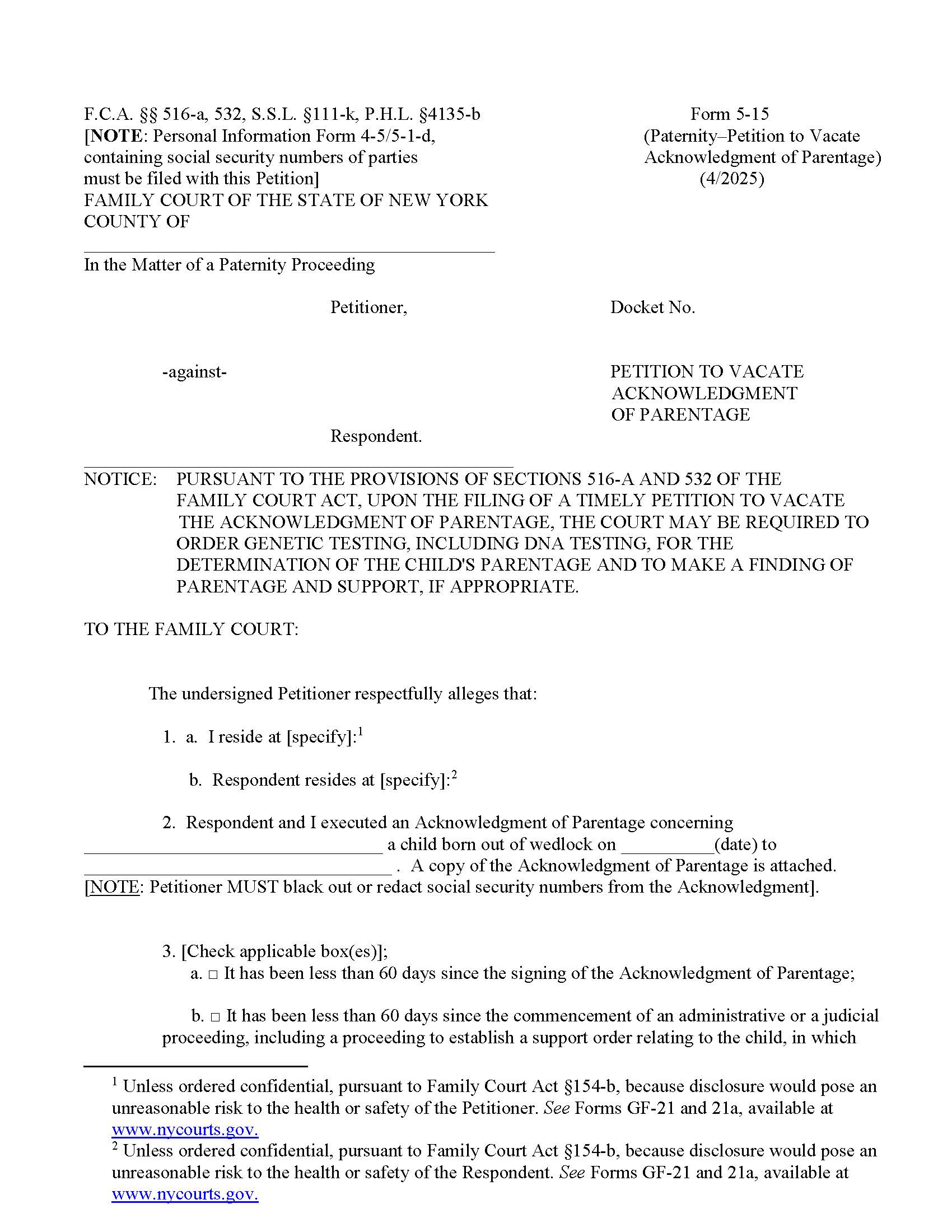
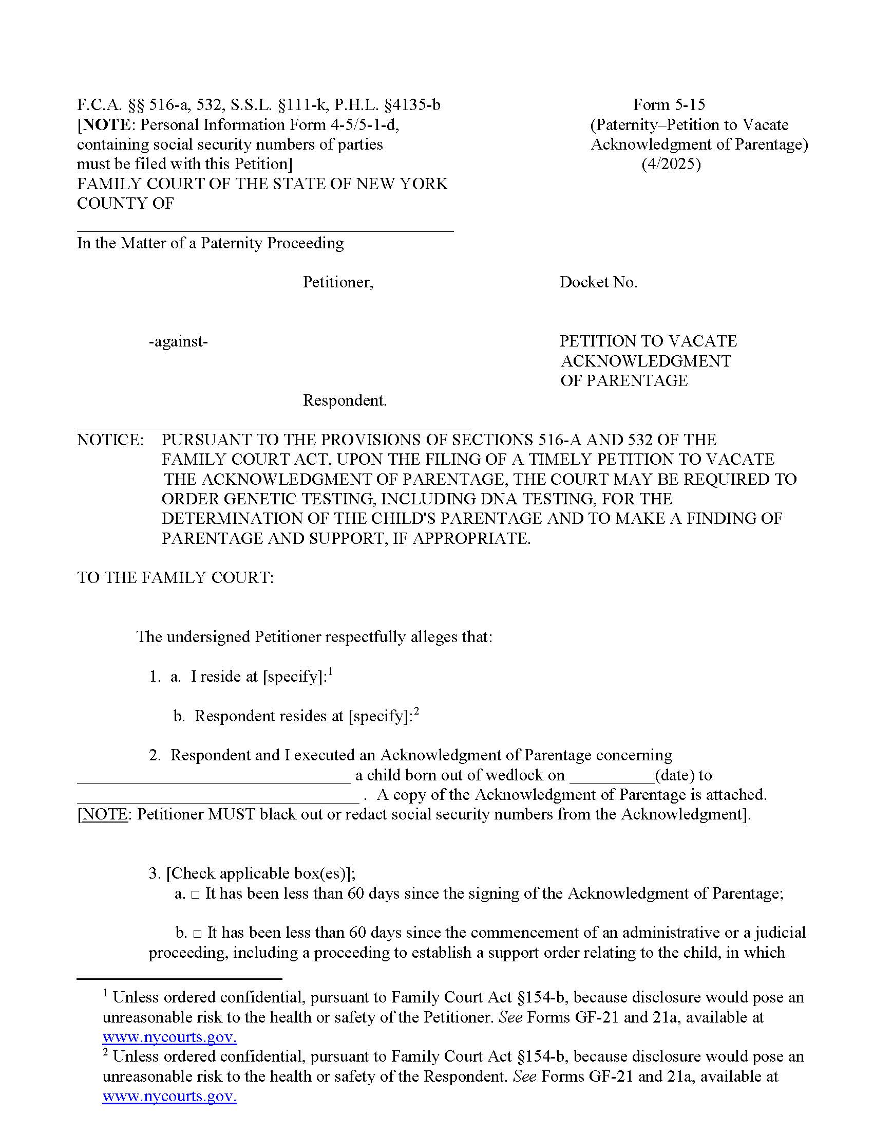
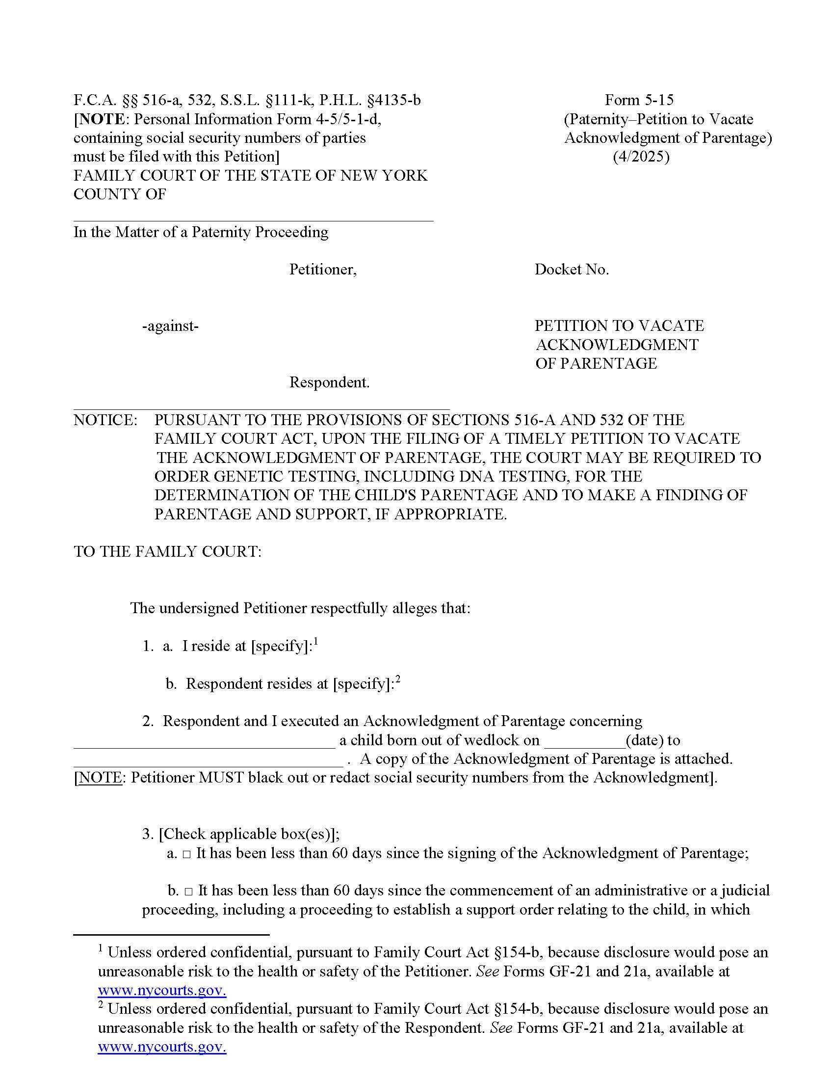
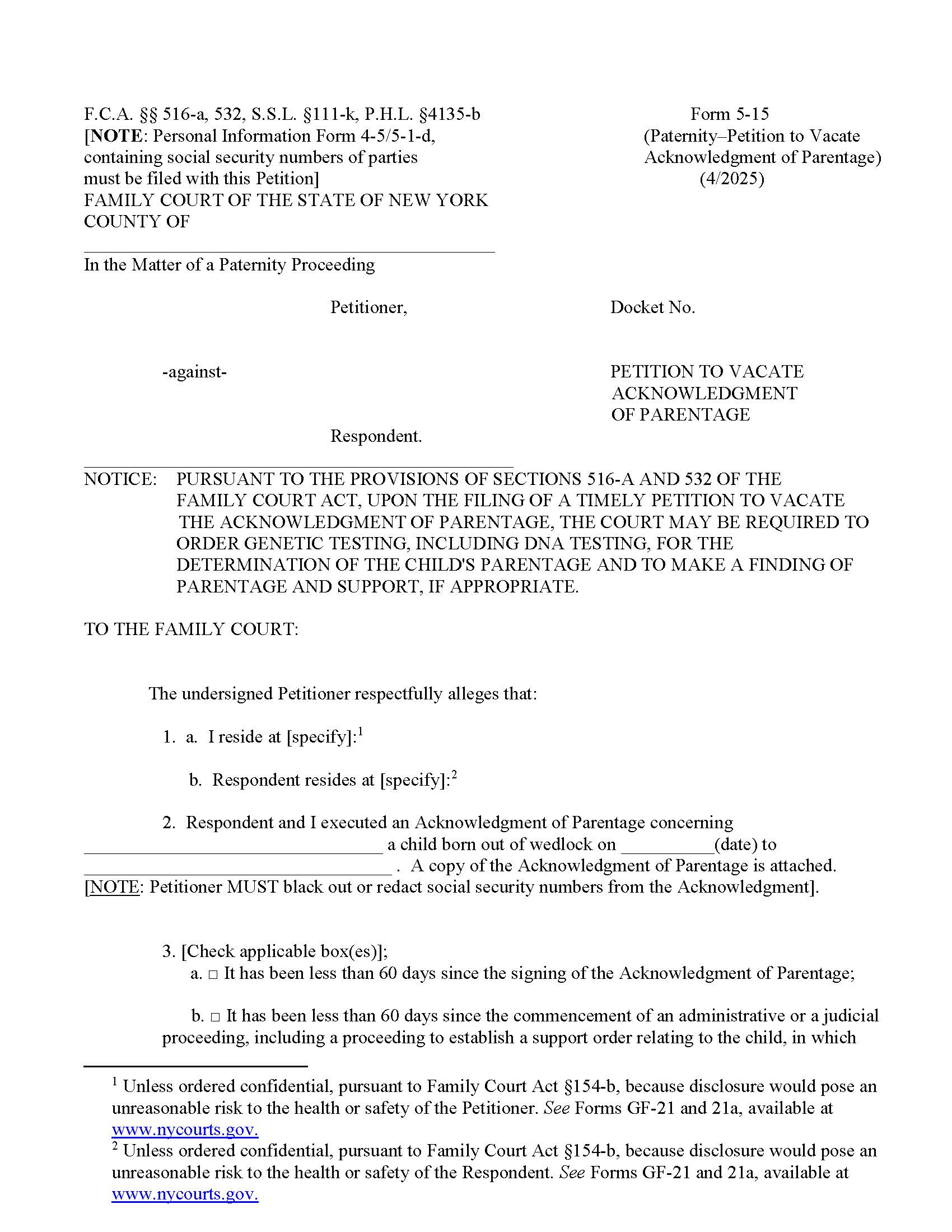
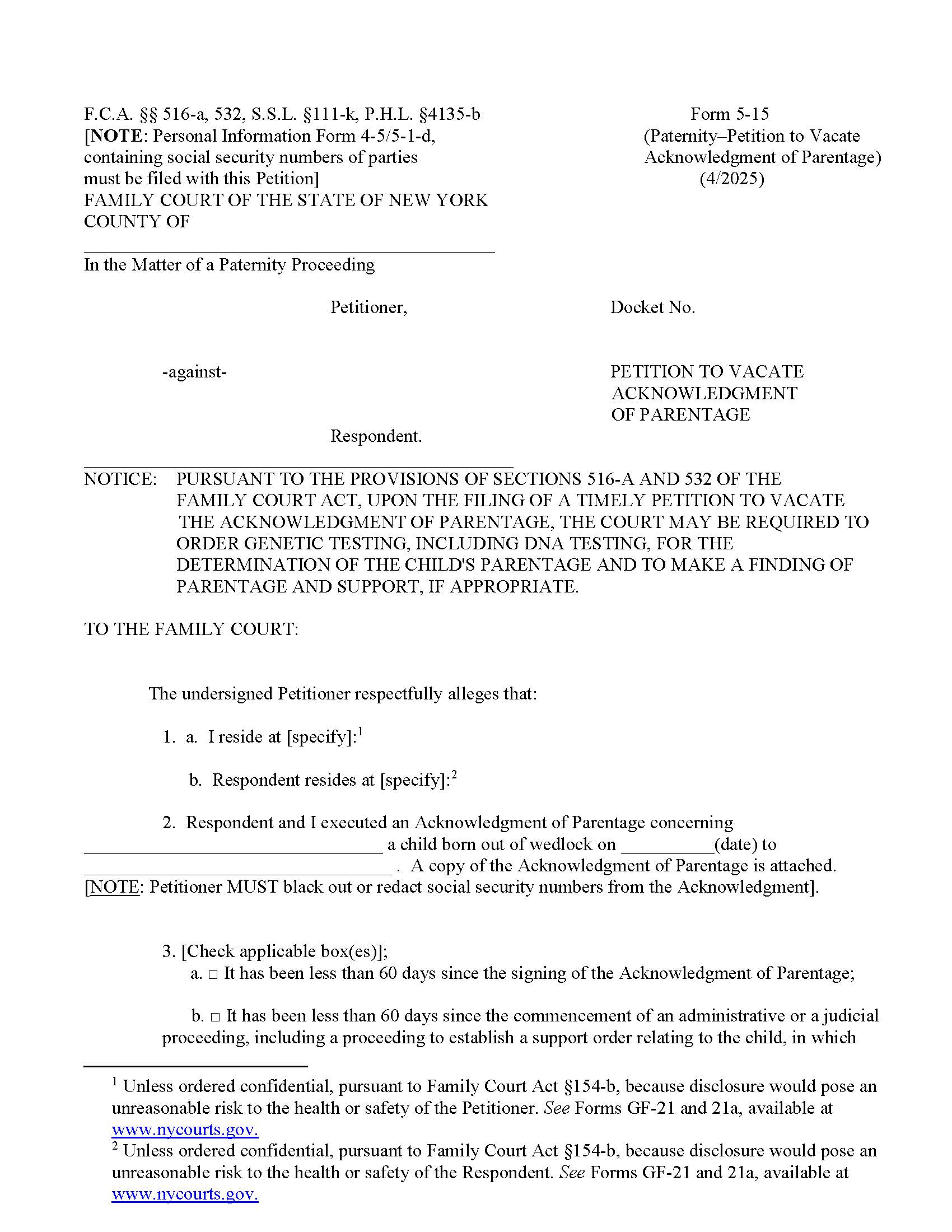
Form 5-15 - PETITION TO VACATE ACKNOWLEDGMENT OF PARENTAGE. This is a New York Family Court form used to challenge or rescind a previously signed Acknowledgment of Parentage under Family Court Act §§ 516-a, 532, Social Services Law § 111-k, and Public Health Law § 4135-b. The petitioner must provide reasons such as fraud, duress, or material mistake of fact for requesting that the acknowledgment be vacated. The form also addresses child support obligations, potential suspension during the challenge, and genetic testing that may be ordered by the court. A Personal Information Form (4-5/5-1-d) must accompany the petition to ensure compliance with confidentiality and procedural requirements. www.FormsWorkflow.com





