Last updated: 10/23/2025
Petition (Child Neglect) {10-6}
Start Your Free Trial $ 17.99What you get:
- Instant access to fillable Microsoft Word or PDF forms.
- Minimize the risk of using outdated forms and eliminate rejected fillings.
- Largest forms database in the USA with more than 80,000 federal, state and agency forms.
- Download, edit, auto-fill multiple forms at once in MS Word using our Forms Workflow Ribbon
- Trusted by 1,000s of Attorneys and Legal Professionals
Description
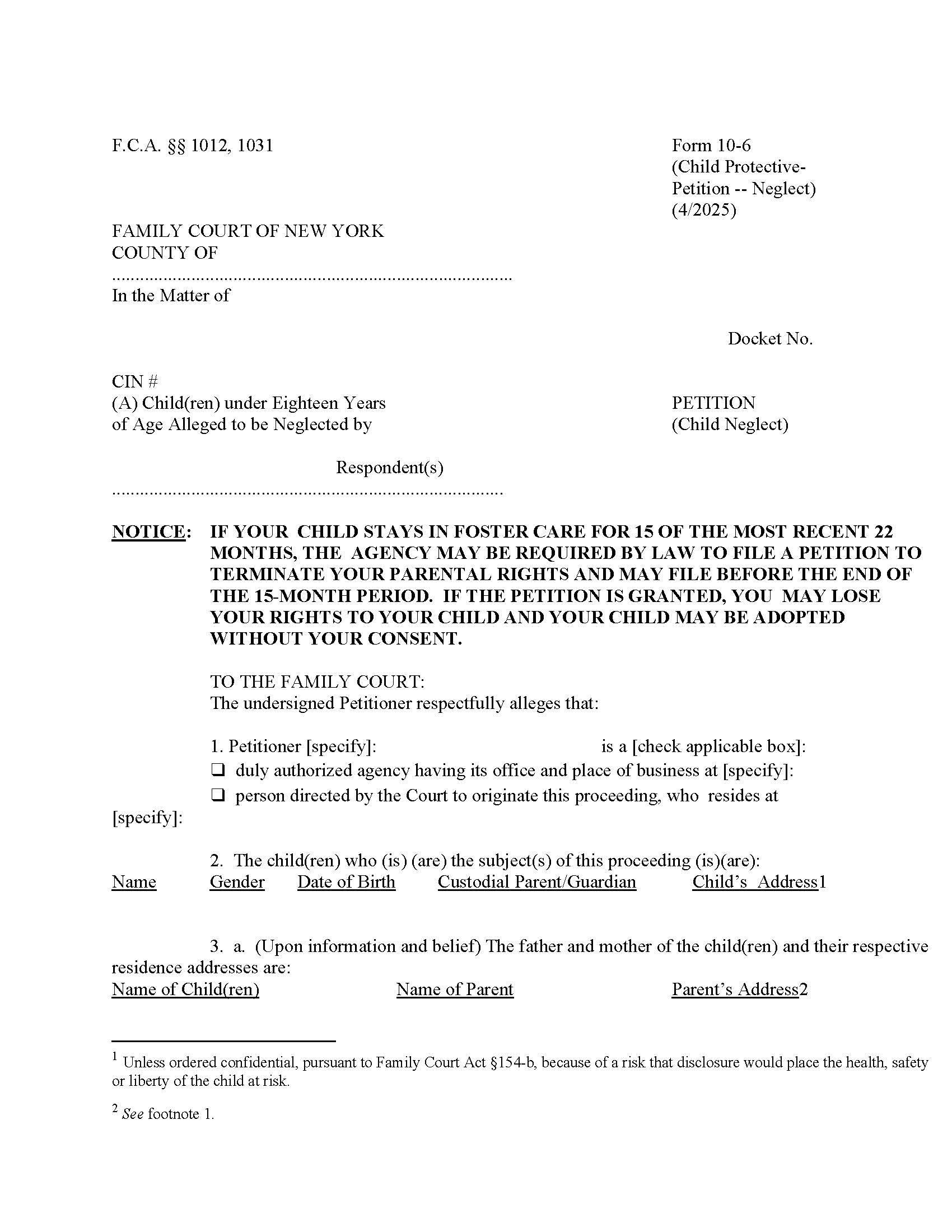
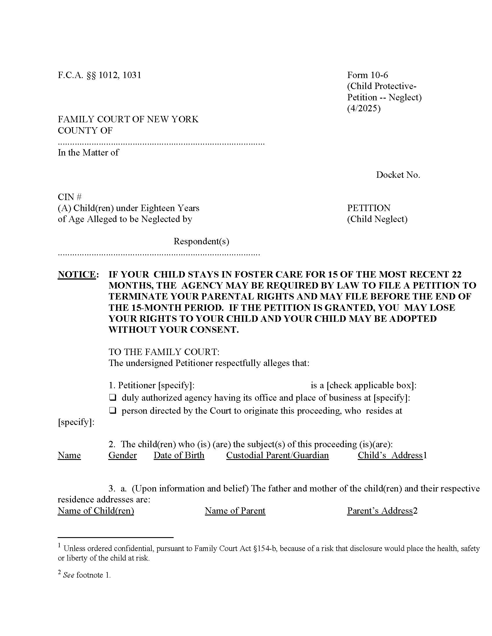
Form 10-6 - PETITION (CHILD NEGLECT). This is a New York Family Court form used to begin a child protective proceeding alleging that one or more children under 18 have been neglected. The petition is typically filed by an authorized child protective agency (such as ACS or DSS) or a person directed by the court. It identifies the child or children, their parents or legal guardians, and any other persons legally responsible for their care. The petitioner must describe the specific acts or conditions constituting neglect under FCA §1012, including details such as dates, places, and supporting evidence. If removal of the children from the home has occurred or is sought, the petition must include the basis for removal, any prior court orders or consents, and statements regarding reasonable efforts to prevent removal, as required by law. The form also includes a section for identifying potential non-respondent parents or suitable relatives, and for compliance with the Indian Child Welfare Act (ICWA) if applicable. The petitioner requests that the court determine the children to be neglected and make appropriate dispositional orders under Article 10. F.C.A. §§ 1012, 1031. www.FormsWorkflow.com
Related forms
-
Notice Temporary Removal Of Child And Right To Hearing
New York/Statewide/Family Court/Child Protective/ -
Order Adjournment In Contemplation Of Dismissal
New York/Statewide/Family Court/Child Protective/ -
Order For Services
New York/Statewide/Family Court/Child Protective/ -
Order Of Transfer To Criminal Court Or Referral To District Attorney
New York/Statewide/Family Court/Child Protective/ -
Order Terminating Remand
New York/Statewide/Family Court/Child Protective/ -
Order Determining Petition For Extension Of Supervision
New York/Statewide/Family Court/Child Protective/ -
Order Directing Medical Examination
New York/Statewide/Family Court/Child Protective/ -
Summons Child Abuse Case
New York/Statewide/Family Court/Child Protective/ -
Warrant Of Arrest (Child Abuse Or Neglect)
New York/Statewide/Family Court/Child Protective/ -
Order On Application For Access To Child(ren) And-Or Home (Before Petition Filed)
New York/Statewide/Family Court/Child Protective/ -
Report After Order For Pre-Petition Access To Child(ren) And-Or Home
New York/Statewide/Family Court/Child Protective/ -
Order On Application For Access To Child(ren) And-Or Home (Before Petition Filed-Off Hours)
New York/Statewide/Family Court/Child Protective/ -
Determination Upon Fact Finding (Abuse Neglect Severe Abuse Repeated Abuse)
New York/Statewide/Family Court/Child Protective/ -
Notice To Non-Respondent Parent(s) Of Pending Child Protective Proceeding
New York/Statewide/Family Court/Child Protective/ -
Summons (Child Neglect Case)
New York/Statewide/Family Court/Child Protective/ -
Notice Of Pending Child Protective Proceeding (Relatives And Suitable Persons)
New York/Statewide/Family Court/Child Protective/ -
Order For Diligent Search And Investigation
New York/Statewide/Family Court/Child Protective/ -
Order On Application For Return Of Child Temporarily Removed From Home
New York/Statewide/Family Court/Child Protective/ -
Order On Application For Temporary Removal Of Child After Petition Filed
New York/Statewide/Family Court/Child Protective/ -
Order Of Fact Finding And Disposition And Permanency Hearing
New York/Statewide/Family Court/Child Protective/ -
Order Directing Temporary Removal Of Child Before Filing Of Petition
New York/Statewide/Family Court/Child Protective/ -
Order Violation Of Order Of Disposition
New York/Statewide/Family Court/Child Protective/ -
Motion To Terminate Placement
New York/Statewide/Family Court/Child Protective/ -
Affidavit In Support Of Motion To Terminate Placement
New York/Statewide/Family Court/Child Protective/ -
Order On Motion To Terminate Placement
New York/Statewide/Family Court/Child Protective/ -
Notice Of Motion (Violation Of Order Of Disposition)
New York/Statewide/Family Court/Child Protective/ -
Affirmation In Support Of Motion For Order Of Violation Of Order Of Disposition
New York/Statewide/Family Court/Child Protective/ -
Petition For Release Of Responsibility Under Order Of Placement
New York/Statewide/Family Court/Child Protective/ -
Application For Pre-Petition Temporary Removal of Child(ren) From Home
New York/Statewide/Family Court/Child Protective/ -
Petition For Extension Of Supervision
New York/Statewide/Family Court/Child Protective/ -
Application For Order For Access To Child(ren) And-Or Home - Before Petition Filed
New York/Statewide/Family Court/Child Protective/ -
Application For Return Of Child Temporarily Removed From Home
New York/Statewide/Family Court/Child Protective/ -
Petition (Child Neglect)
New York/Statewide/Family Court/Child Protective/ -
Petition Child Abuse Severe Abuse Repeated Abuse
New York/Statewide/Family Court/Child Protective/ -
Application To Restore Case Adjourned In Contemplation Of Dismissal To Calendar
New York/Statewide/Family Court/Child Protective/
Form Preview
Contact Us
Success: Your message was sent.
Thank you!




