Last updated: 5/9/2025
Order Of Referral To Private Mediation {CCDR 0046}
Start Your Free Trial $ 15.99What you get:
- Instant access to fillable Microsoft Word or PDF forms.
- Minimize the risk of using outdated forms and eliminate rejected fillings.
- Largest forms database in the USA with more than 80,000 federal, state and agency forms.
- Download, edit, auto-fill multiple forms at once in MS Word using our Forms Workflow Ribbon
- Trusted by 1,000s of Attorneys and Legal Professionals
Description
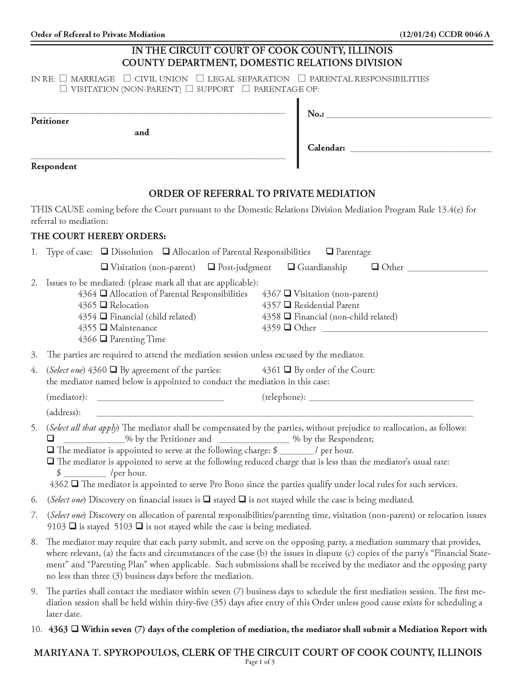
CCDR 0046 - ORDER OF REFERRAL TO PRIVATE MEDIATION. This is a form for a court order of referral to private mediation in a domestic relations case in Cook County, Illinois. The purpose of mediation is to help parties resolve their disputes and reach an agreement outside of court. The form outlines the type of case, issues to be mediated, appointment of the mediator, compensation of the mediator, scheduling of the mediation session, submission of mediation summary, discovery during mediation, and reporting requirements. The parties are required to attend the mediation session unless excused by the mediator. The form also includes a section for the identification of the parties, attorneys, and children involved in the case. www.FormsWorkflow.com
Related forms
-
Family Support Affidavit
Illinois/Local County/Cook/Domestic Relations/ -
Qualifications For Same Day Divorce Information Sheet
Illinois/Local County/Cook/Domestic Relations/ -
Summons Civil No Contact Order
Illinois/Local County/Cook/Domestic Relations/ -
Order Of Protection (Information Sheet)
Illinois/Local County/Cook/Domestic Relations/ -
Order Of Transfer To-From Complex Litigation Calendar
Illinois/Local County/Cook/Domestic Relations/ -
Summons Alias Summons
Illinois/Local County/Cook/Domestic Relations/ -
Praecipe For Summons
Illinois/Local County/Cook/Domestic Relations/ -
Appearance - Jury Demand
Illinois/Local County/Cook/Domestic Relations/ -
Motion And Order To Vacate Order Of Default
Illinois/Local County/Cook/Domestic Relations/ -
Motion And Order To Vacate Dismissal Within Thirty Days
Illinois/Local County/Cook/Domestic Relations/ -
Order Appointing Childs Representative GAL Or Attorney For Minor Child(ren)
Illinois/Local County/Cook/Domestic Relations/ -
Circuit Court Rule 13.4(F) Consolidated Referral Order
Illinois/Local County/Cook/Domestic Relations/ -
Orders Of Transfer Assignment And Reassignment
Illinois/Local County/Cook/Domestic Relations/ -
Orders Of Continuance
Illinois/Local County/Cook/Domestic Relations/ -
Joint Petition For Simplified Dissolution
Illinois/Local County/Cook/Domestic Relations/ -
Transfer Order To Domestic Relations Division
Illinois/Local County/Cook/Domestic Relations/ -
Transfer Order Within Domestic Violence Division
Illinois/Local County/Cook/Domestic Relations/ -
Court Appointed Attorney Order Appointing Counsel
Illinois/Local County/Cook/Domestic Relations/ -
Court Appointed Attorney Order For Attorneys Fees
Illinois/Local County/Cook/Domestic Relations/ -
Order For Publication
Illinois/Local County/Cook/Domestic Relations/ -
Transportation Order
Illinois/Local County/Cook/Domestic Relations/ -
Order For LEADS Entry
Illinois/2 Local County/Cook/Domestic Relations/ -
Order To Suspend Driving Privileges
Illinois/Local County/Cook/Domestic Relations/ -
Order Of Commitment
Illinois/Local County/Cook/Domestic Relations/ -
Supervised Parenting Time-Visitation (Non-Parent) Order - Agency Only
Illinois/Local County/Cook/Domestic Relations/ -
Order Forwarding Emergency Matter
Illinois/Local County/Cook/Domestic Relations/ -
Denial-Dismissal Continuance Of Order Of Protection
Illinois/Local County/Cook/Domestic Relations/ -
Order Administration Of Child Support Records
Illinois/Local County/Cook/Domestic Relations/ -
Order Setting Matter For Mediation Of Attorneys Fees
Illinois/Local County/Cook/Domestic Relations/ -
Judges Deed
Illinois/Local County/Cook/Domestic Relations/ -
Order To Reschedule Mediation Of Attorneys Fees
Illinois/2 Local County/Cook/Domestic Relations/ -
Order Of Referral To Private Mediation
Illinois/Local County/Cook/Domestic Relations/ -
Uniform Settlement Pretrial Conference Memorandum
Illinois/Local County/Cook/Domestic Relations/ -
Mediator Report
Illinois/Local County/Cook/Domestic Relations/ -
Order For Enrollment In Drug And-Or Alcohol Testing Program
Illinois/Local County/Cook/Domestic Relations/ -
Order For Genetic Testing
Illinois/Local County/Cook/Domestic Relations/ -
Order On Prove Up
Illinois/Local County/Cook/Domestic Relations/ -
Voluntary Order For Enrollment In Alcohol Monitoring Program
Illinois/Local County/Cook/Domestic Relations/ -
Order (To Issue Corrected Birth Certificate)
Illinois/Local County/Cook/Domestic Relations/ -
Order For Free Transcript
Illinois/2 Local County/Cook/Domestic Relations/ -
Order For Trial Date
Illinois/2 Local County/Cook/Domestic Relations/ -
Joint Notice Of Collaborative Process Participation Agreement
Illinois/Local County/Cook/Domestic Relations/ -
Certificate And Motion For Default
Illinois/Local County/Cook/Domestic Relations/ -
Notice Of Termination Of Collaborative Process
Illinois/Local County/Cook/Domestic Relations/ -
Transfer To Incarcerated Litigants Call
Illinois/2 Local County/Cook/Domestic Relations/ -
Certification And Agreement By Counsel
Illinois/Local County/Cook/Domestic Relations/ -
Joint Notice Of Conclusion Of Collaborative Process
Illinois/Local County/Cook/Domestic Relations/ -
Order Of Dismissal
Illinois/Local County/Cook/Domestic Relations/ -
Order Of Consolidation Within Division
Illinois/Local County/Cook/Domestic Relations/ -
Trial Order
Illinois/Local County/Cook/Domestic Relations/ -
Status Call Order
Illinois/Local County/Cook/Domestic Relations/ -
Order For Recusal
Illinois/Local County/Cook/Domestic Relations/ -
Order For Substitution Of Judge
Illinois/Local County/Cook/Domestic Relations/ -
Declaration Under Uniform Child Custody Jurisdiction And Enforcement Act (UCCJEA)
Illinois/Local County/Cook/Domestic Relations/ -
Domestic Relations Cover Sheet
Illinois/Local County/Cook/Domestic Relations/ -
Order Of Compliance
Illinois/Local County/Cook/Domestic Relations/ -
Order Regarding Bankruptcy Matter
Illinois/Local County/Cook/Domestic Relations/ -
Disposition Order - Stalking No Contact Order
Illinois/Local County/Cook/Domestic Relations/ -
Denial-Dismissal Continuance Order (OoP Staliking-Civil No Contact Orders)
Illinois/Local County/Cook/Domestic Relations/ -
Transfer Order
Illinois/Local County/Cook/Domestic Relations/ -
Notice Of Motion
Illinois/Local County/Cook/Domestic Relations/ -
Findings Stalking No Contact Order Emergency Or Plenary
Illinois/Local County/Cook/Domestic Relations/ -
Domestic Violence Cover Sheet
Illinois/Local County/Cook/Domestic Relations/ -
District Transfer Form
Illinois/Local County/Cook/Domestic Relations/ -
Transfer Order Substitution Of Judge-Recusal
Illinois/Local County/Cook/Domestic Relations/ -
Attachment Order
Illinois/Local County/Cook/Domestic Relations/ -
Order On Rule To Show Cause
Illinois/Local County/Cook/Domestic Relations/ -
Order Of Adjudication Of Indirect Civil Contempt Order Of Commitment
Illinois/Local County/Cook/Domestic Relations/ -
Article X Complaint
Illinois/Local County/Cook/Domestic Relations/ -
Order For Civil Electronic Monitoring
Illinois/Local County/Cook/Domestic Relations/ -
Order Terminating Civil Electronic Monitoring
Illinois/Local County/Cook/Domestic Relations/ -
Return Remand Quash Order
Illinois/2 Local County/Cook/Domestic Relations/
Form Preview
Contact Us
Success: Your message was sent.
Thank you!




