Last updated: 12/3/2024
Declaration Pusuant To Penal Code 13300 {RI-CR093}
Start Your Free Trial $ 14.00What you get:
- Instant access to fillable Microsoft Word or PDF forms.
- Minimize the risk of using outdated forms and eliminate rejected fillings.
- Largest forms database in the USA with more than 80,000 federal, state and agency forms.
- Download, edit, auto-fill multiple forms at once in MS Word using our Forms Workflow Ribbon
- Trusted by 1,000s of Attorneys and Legal Professionals
Description
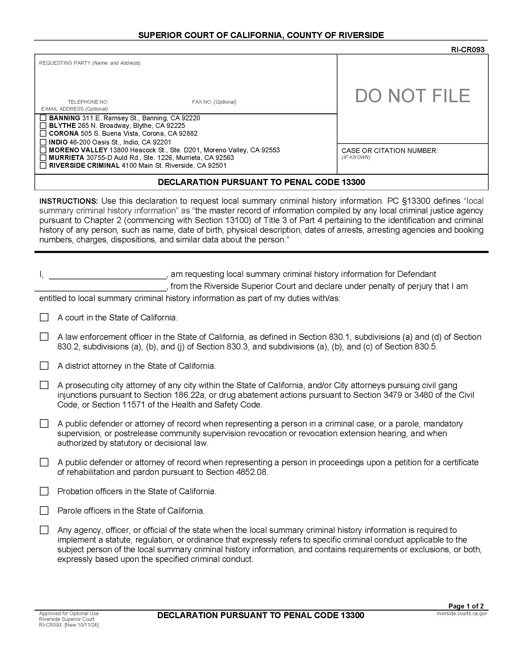
RI-CR093 - DECLARATION PURSUANT TO PENAL CODE 13300. Use this declaration to request local summary criminal history information. PC §13300 defines “local summary criminal history information” as “the master record of information compiled by any local criminal justice agency pursuant to Chapter 2 (commencing with Section 13100) of Title 3 of Part 4 pertaining to the identification and criminal history of any person, such as name, date of birth, physical description, dates of arrests, arresting agencies and booking numbers, charges, dispositions, and similar data about the person.” www.FormsWorkflow.com
Related forms
-
Eligibility For Appointment Of Counsel Reimbursement For Cost Of Court Appointed Counsel
California/Local County/Riverside/Criminal/ -
Order Pursuant To Penal Code 4011.6 - 1367.1 Discharge Summary Ordered
California/Local County/Riverside/Criminal/ -
Defendent Custody Information Sheet
California/Local County/Riverside/Criminal/ -
Request To Add Onto Calendar
California/Local County/Riverside/Criminal/ -
Declaration By Law Enforcement For Walk-Through Arrest Warrant And Order
California/Local County/Riverside/Criminal/ -
Order To Seal And Destroy Arrest Records
California/Local County/Riverside/Criminal/ -
Petition To Seal And Destroy Arrest Record
California/Local County/Riverside/Criminal/ -
Preliminary Assessment-Mental Health Court
California/Local County/Riverside/Criminal/ -
Fax Arraignment
California/Local County/Riverside/Criminal/ -
Order For Dismissal (Infractions)
California/Local County/Riverside/Criminal/ -
Photocopy Request
California/Local County/Riverside/Criminal/ -
Declaration In Support Of Increased Bail
California/Local County/Riverside/Criminal/ -
Declaration Re Felonious Source Of Bail
California/Local County/Riverside/Criminal/ -
Request For Continuance (Petition For Revocation Of Community Supervision)
California/Local County/Riverside/Criminal/ -
Request For Continuance Pursuant To PC 1050
California/Local County/Riverside/Criminal/ -
Certificate Of Service (Probable Cause-Ramey Warrant)
California/Local County/Riverside/Criminal/ -
Petition For Revocation-Supplemental Request And Orders
California/Local County/Riverside/Criminal/ -
Order Withdrawing Lien On Real Property Posted As Bail
California/Local County/Riverside/Criminal/ -
Order-Justification
California/Local County/Riverside/Criminal/ -
Promissory Note (Real Property Equity In Lieu Of Cash Bail)
California/Local County/Riverside/Criminal/ -
Application For The Deposit Of Real Property Equity In Lieu Of Cash Bail
California/Local County/Riverside/Criminal/ -
Petition For Resentencing-Application For Reduction To Misdemeanor
California/Local County/Riverside/Criminal/ -
Declaration In Support Of Arrest Warrant
California/Local County/Riverside/Criminal/ -
Entry Of Plea Of Guilty Through Counsel (PC 1429) And Waiver
California/Local County/Riverside/Criminal/ -
Summons-Corporate Defendant
California/Local County/Riverside/Criminal/ -
Petition-Application (Health And Safety Code 11361.8)
California/Local County/Riverside/Criminal/ -
Order After Petition-Application (Health And Safety Code 11361.8)
California/Local County/Riverside/Criminal/ -
Order To Seal Arrest Records
California/Local County/Riverside/Criminal/ -
Petition For Dismissal (Infractions)
California/Local County/Riverside/Criminal/ -
Proof Of Completion Of Community Service
California/2 Local County/Riverside/Criminal/ -
Temporary Emergency Waiver Of Defendents Personal Presense
California/2 Local County/Riverside/Criminal/ -
Agreement For Own Recognizance Release
California/Local County/Riverside/Criminal/ -
977 Non-Appearance Entry Of Misdemeanor Plea
California/2 Local County/Riverside/Criminal/ -
Entry Of Admission To Violation Of Probation PC 1000 Diversion
California/2 Local County/Riverside/Criminal/ -
Stipulated Agreement-Summary Probation Reinstatement-Program Reinstatement-Diversion Reinstatement
California/2 Local County/Riverside/Criminal/ -
Waiver Of Personal Presence By Defendant
California/2 Local County/Riverside/Criminal/ -
Request For Probation Program Reinstatement-Self-Represented Defendant
California/2 Local County/Riverside/Criminal/ -
Request For Modification Of Fines And Fees
California/2 Local County/Riverside/Criminal/ -
Request For Extension Of Program Completion Date
California/2 Local County/Riverside/Criminal/ -
Motion For Probation Modification
California/2 Local County/Riverside/Criminal/ -
Convictions Resentencing
California/2 Local County/Riverside/Criminal/ -
Jury Questionnaire For Criminal Cases
California/2 Local County/Riverside/Criminal/ -
Order For Dismissal
California/2 Local County/Riverside/Criminal/ -
Order For Dismissal (PC 1203.4b)
California/2 Local County/Riverside/Criminal/ -
Petition For Dismissal And Supporting Declaration (PC 1203.4b)
California/2 Local County/Riverside/Criminal/ -
Petition To Proceed In Propria Persona
California/Local County/Riverside/Criminal/ -
Request For Military Diversion-Advisal And Waiver Of Rights
California/Local County/Riverside/Criminal/ -
Veterans Court Program Referral
California/Local County/Riverside/Criminal/ -
Agreement For Supervised Own Recognizance Release Or Conditions Of Bail
California/Local County/Riverside/Criminal/ -
Waiver Of Defendents Physical Or Remote Presence
California/Local County/Riverside/Criminal/ -
Deed Of Full Reconveyance
California/Local County/Riverside/Criminal/ -
Cannabis Records Removal
California/2 Local County/Riverside/Criminal/ -
Declaration Pusuant To Penal Code 13300
California/Local County/Riverside/Criminal/ -
Agreement For Treatment Plan Per HS 11395
California/Local County/Riverside/Criminal/ -
Request To Appear Remotely (Criminal)
California/2 Local County/Riverside/Criminal/ -
Flash Incarceration Waiver
California/Local County/Riverside/Criminal/ -
Pretrial Drug Diversion Program Referral
California/2 Local County/Riverside/Criminal/
Form Preview
Contact Us
Success: Your message was sent.
Thank you!




