California Jury Instructions
39 Damages
200 Ratings
Last updated: 6/14/2024
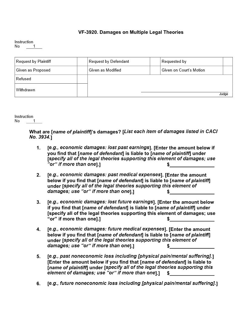
VF 3920. Damages on Multiple Legal Theories
Start Your Free Trial $ 14.00What you get:
- Instant access to fillable Microsoft Word or PDF forms.
- Minimize the risk of using outdated forms and eliminate rejected fillings.
- Largest forms database in the USA with more than 80,000 federal, state and agency forms.
- Download, edit, auto-fill multiple forms at once in MS Word using our Forms Workflow Ribbon
- Trusted by 1,000s of Attorneys and Legal Professionals
Description
Related forms
-
3902. Economic And Noneconomic Damages
California Jury Instructions/Damages/ -
3903. Items Of Economic Damage
California Jury Instructions/Damages/ -
3903F. Damage To Real Property (Economic Damage)
California Jury Instructions/Damages/ -
3903H. Damage To Annual Crop (Economic Damage)
California Jury Instructions/Damages/ -
3903I. Damage To Perennial Crop (Economic Damage)
California Jury Instructions/Damages/ -
3903M. Loss Of Use Of Personal Property (Economic Damage)
California Jury Instructions/Damages/ -
3905. Items Of Noneconomic Damage
California Jury Instructions/Damages/ -
3928. Unusually Susceptible Plaintiff
California Jury Instructions/Damages/ -
3901. Introduction to Tort Damages Liability Established
California Jury Instructions/Damages/ -
3964. Jurors Not to Consider Attorney Fees and Court Costs
California Jury Instructions/Damages/ -
3904B. Use of Present-Value Tables
California Jury Instructions/Damages/ -
3933. Damages From Multiple Defendants
California Jury Instructions/Damages/ -
3934. Damages on Multiple Legal Theories
California Jury Instructions/Damages/ -
3904B-add. Present-Value Tables A and B
California Jury Instructions/Damages/ -
3903L. Damage To Personal Property Having Special Value (Civ. Code § 3355) (Economic Damage)
California Jury Instructions/39 Damages/ -
3903K. Loss Or Destruction Of Personal Property (Economic Damage)
California Jury Instructions/Damages/ -
3900. Introduction To Tort Damages-Liability Contested
California Jury Instructions/Damages/ -
3903A. Medical Expenses-Past And Future (Economic Damage)
California Jury Instructions/Damages/ -
3903B. Medical Monitoring-Toxic Exposure (Economic Damage)
California Jury Instructions/Damages/ -
3903E. Loss Of Ability To Provide Household Services (Economic Damage)
California Jury Instructions/Damages/ -
3903G. Loss Of Use Of Real Property (Economic Damage)
California Jury Instructions/Damages/ -
3903N. Lost Profits (Economic Damage)
California Jury Instructions/Damages/ -
3903O. Injury to Pet Costs of Treatment (Economic Damage)
California Jury Instructions/Damages/ -
3903P. Damages From Employer For Wrongful Discharge (Economic Damage)
California Jury Instructions/Damages/ -
3920. Loss Of Consortium (Noneconomic Damage)
California Jury Instructions/Damages/ -
3921. Wrongful Death (Death Of An Adult)
California Jury Instructions/Damages/ -
3922. Wrongful Death (Parents' Recovery For Death Of A Minor Child)
California Jury Instructions/Damages/ -
3923. Public Entities-Collateral Source Payments (Gov. Code § 985)
California Jury Instructions/39 Damages/ -
3924. No Punitive Damages
California Jury Instructions/Damages/ -
3925. Arguments Of Counsel Not Evidence Of Damages
California Jury Instructions/Damages/ -
3926. Settlement Deduction
California Jury Instructions/Damages/ -
3927. Aggravation Of Preexisting Condition Or Disability
California Jury Instructions/Damages/ -
3929. Subsequent Medical Treatment or Aid
California Jury Instructions/Damages/ -
3930. Mitigation Of Damages (Personal Injury)
California Jury Instructions/Damages/ -
3931. Mitigation Of Damages (Property Damage)
California Jury Instructions/Damages/ -
3932. Life Expectancy
California Jury Instructions/Damages/ -
3935. Prejudgment Interest (Civ. Code, § 3288)
California Jury Instructions/39 Damages/ -
3940. Punitive Damages-Individual Defendant-Trial Not Bifurcated
California Jury Instructions/Damages/ -
3941. Punitive Damages-Individual Defendant-Bifurcated Trial (First Phase)
California Jury Instructions/Damages/ -
3942. Punitive Damages-Individual Defendant-Bifurcated Trial (Second Phase)
California Jury Instructions/Damages/ -
3943. Punitive Damages Against Employer Or Princ. Agt Or Employee Cond. Not Bifurcated
California Jury Instructions/Damages/ -
3944. Punitive Damages Employer Principal Conduct Of Agent Employee Bifurcated (1st Phase)
California Jury Instructions/Damages/ -
3945. Punitive Damages-Entity Defendant-Trial Not Bifurcated
California Jury Instructions/Damages/ -
3946. Punitive Damages-Entity Defendant-Bifurcated Trial (First Phase)
California Jury Instructions/Damages/ -
3947. Punitive Damages-Individual And Entity Defendants-Trial Not Bifurcated
California Jury Instructions/Damages/ -
3948. Pun. Damages Ind. And Corp. Defts. (Corp. Liability Acts Of Ind.) Bifurcated (1st)
California Jury Instructions/Damages/ -
3949. Pun. Damages Ind. And Corp. Defts. (Corp. Liability Acts Of Ind.) Bifurcated (2nd)
California Jury Instructions/Damages/ -
3960. Comparative Fault of Plaintiff General Verdict
California Jury Instructions/Damages/ -
3961. Duty To Mitigate Damages For Past Lost Earnings
California Jury Instructions/Damages/ -
3962. Duty To Mitigate Damages For Future Lost Earnings
California Jury Instructions/Damages/ -
3965. No Deduction for Workers Compensation Benefits Paid
California Jury Instructions/Damages/ -
3903C. Past And Future Lost Earnings (Economic Damage)
California Jury Instructions/Damages/ -
3903D. Lost Earning Capacity (Economic Damage)
California Jury Instructions/Damages/ -
3906. Lost Earnings Capacity Not To Reduce Based On Race Ethnicity Gender
California Jury Instructions/39 Damages/ -
3904A. Present Cash Value
California Jury Instructions/Damages/ -
3903J. Damage To Personal Property (Economic Damage)
California Jury Instructions/Damages/ -
3919. Survival Damages (Code Civ. Proc., 377.34)
California Jury Instructions/39 Damages/ -
3963. Affirmative Defense Employees Duty to Mitigate Damages
California Jury Instructions/Damages/ -
3905A. Physical Pain Mental Suffering And Emotional Distress (Noneconomic Damage)
California Jury Instructions/Damages/ -
VF 3900. Punitive Damages
California Jury Instructions/Damages/ -
VF 3901. Punitive Damages Against Employer Or Principal for Conduct of a Specific Agent or Employee
California Jury Instructions/Damages/ -
VF 3902. Punitive Damages Entity Defendant
California Jury Instructions/Damages/ -
VF 3903. Punitive Damages Entity Defendant Ratification
California Jury Instructions/Damages/ -
VF 3904. Punitive Damages Entity Defendant Authorization
California Jury Instructions/Damages/ -
VF 3905. Damages for Wrongful Death (Death of an Adult)
California Jury Instructions/Damages/ -
VF 3906. Damages for Wrongful Death (Parents Recovery for Death of a Minor Child)
California Jury Instructions/Damages/ -
VF 3907. Damages for Loss of Consortium (Noneconomic Damage)
California Jury Instructions/Damages/ -
VF 3920. Damages on Multiple Legal Theories
California Jury Instructions/Damages/
Form Preview
Sorry, we couldn't download the pdf file.
Our Products
Contact Us
Success: Your message was sent.
Thank you!




