Last updated: 10/25/2024
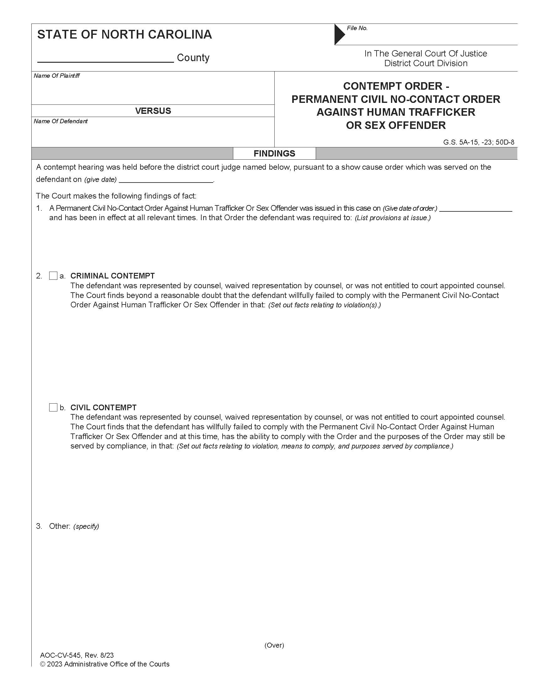
Contempt Order Permanent Civil No Contact Order Against Sex Offender {CV-545}
Start Your Free Trial $ 5.99What you get:
- Instant access to fillable Microsoft Word or PDF forms.
- Minimize the risk of using outdated forms and eliminate rejected fillings.
- Largest forms database in the USA with more than 80,000 federal, state and agency forms.
- Download, edit, auto-fill multiple forms at once in MS Word using our Forms Workflow Ribbon
- Trusted by 1,000s of Attorneys and Legal Professionals
Description
AOC-CV-545 - CONTEMPT ORDER - PERMANENT CIVIL NO-CONTACT ORDER AGAINST SEX OFFENDER. This North Carolina form is used by a court to issue a contempt order when a defendant violates a Permanent Civil No-Contact Order Against a Sex Offender or Human Trafficker. It documents the court’s findings that the defendant has failed to comply with the order. The court may find the defendant in either criminal contempt (if the failure to comply was intentional) or civil contempt (if the defendant has the means to comply but still fails). Based on the findings, the judge can impose penalties, including jail time (up to 30 days for criminal contempt or indefinite for civil contempt) or a fine (up to $500). Alternatively, the court may dismiss the contempt proceeding if evidence does not support a contempt finding. www.FormsWorkFlow.com
Related forms
-
Affidavit And Request For Hearing In Claim And Delivery
North Carolina/Statewide/Civil/ -
Affidavit In Attachment Proceeding
North Carolina/Statewide/Civil/ -
Affidavit Of Parentage
North Carolina/Statewide/Civil/ -
Application And Order Extending Time to File Complaint
North Carolina/Statewide/Civil/ -
Application And Order To Appoint Guardian Ad Litem In Action For Domestic Violence Protective Order
North Carolina/Statewide/Civil/ -
Appointment Of Mediator In Prelitigation Farm Nuisance Dispute
North Carolina/Statewide/Civil/ -
Arbitration Application And Order For Payment To Arbitrator
North Carolina/Statewide/Civil/ -
Arbitration Assessment Of Arbitration Fee
North Carolina/Statewide/Civil/ -
Arbitration Notice Of Arbitration Hearing
North Carolina/Statewide/Civil/ -
Arbitration Stipulation And Order
North Carolina/Statewide/Civil/ -
Certificate Of Paternity
North Carolina/Statewide/Civil/ -
Certificate Of Payment On Judgment
North Carolina/Statewide/Civil/ -
Child Support Payment Transmittal
North Carolina/Statewide/Civil/ -
Civil Docket
North Carolina/Statewide/Civil/ -
Civil Docket Extra Defendants
North Carolina/Statewide/Civil/ -
Consent Agreement And Order To Modify Child Support Order
North Carolina/Statewide/Civil/ -
Contempt Order Domestic Violence Protective Order
North Carolina/Statewide/Civil/ -
Court Action Cover Sheet
North Carolina/Statewide/Civil/ -
Defendants Motion To Discharge Attachment
North Carolina/Statewide/Civil/ -
Delayed Service Of Complaint
North Carolina/Statewide/Civil/ -
Findings On Application For Claim And Delivery Order
North Carolina/Statewide/Civil/ -
Identifying Information about Defendant Domestic Violence Action
North Carolina/Statewide/Civil/ -
Information Request To Determine Appropriate Forum
North Carolina/Statewide/Civil/ -
Limited Driving Privilege Speeding Out Of County Out Of State Or Federal Convictions
North Carolina/Statewide/Civil/ -
Mediators Certification In Prelitigation Farm Nuisance Dispute
North Carolina/Statewide/Civil/ -
Memorandum Of Judgment Order
North Carolina/Statewide/Civil/ -
Motion And Notice Of Hearing To Rescind Affidavit Of Parentage
North Carolina/Statewide/Civil/ -
Motion And Order To Show Cause For Failure To Comply With Order In Child Support Action
North Carolina/Statewide/Civil/ -
Motion And Order To Waive Custody Mediation
North Carolina/Statewide/Civil/ -
Motion Cover Sheet
North Carolina/Statewide/Civil/ -
Motion To Claim Exempt Property Constitutional Exemptions
North Carolina/Statewide/Civil/ -
Notice Of Change Or Termination Of Withholding For Child Support
North Carolina/Statewide/Civil/ -
Notice Of Ex Parte Hearing Before District Court Judge
North Carolina/Statewide/Civil/ -
Notice Of Hearing For Enforcement In Child Support Action
North Carolina/Statewide/Civil/ -
Notice Of Hearing In Claim And Delivery
North Carolina/Statewide/Civil/ -
Notice Of Hearing On Domestic Violence Protection Order
North Carolina/Statewide/Civil/ -
Notice Of Hearing On Exempt Property
North Carolina/Statewide/Civil/ -
Notice Of Registration Of Foreign Support Order
North Carolina/Statewide/Civil/ -
Notice Of Right To Have Exemptions Designated
North Carolina/Statewide/Civil/ -
Notice Of Upset Bid In Judicial Sale Or Execution Sale To Person Holding The Sale
North Carolina/Statewide/Civil/ -
Notice Of Voluntary Dismissal
North Carolina/Statewide/Civil/ -
Notice Payment On Judgment Judgment Paid In Full Partial Payment
North Carolina/Statewide/Civil/ -
Order Approving Parenting Agreement
North Carolina/Statewide/Civil/ -
Order Approving Partial Parenting Agreement
North Carolina/Statewide/Civil/ -
Order Authorizing Reinstatement Of Obligors Licensing Privileges
North Carolina/Statewide/Civil/ -
Order Continuing Domestic Violence Hearing and Ex Parte Order
North Carolina/Statewide/Civil/ -
Order Designating Exempt Property
North Carolina/Statewide/Civil/ -
Order Establishing Child Support
North Carolina/Statewide/Civil/ -
Order Of Attachment
North Carolina/Statewide/Civil/ -
Order On Child Custody Mediation
North Carolina/Statewide/Civil/ -
Order Renewing Domestic Violence Protective Order
North Carolina/Statewide/Civil/ -
Order Revoking Obligors Licensing Privileges And Notice To Agency
North Carolina/Statewide/Civil/ -
Order To Withhold Wages To Enforce Child Support
North Carolina/Statewide/Civil/ -
Petition For Reinstatement Of Licensing Privileges
North Carolina/Statewide/Civil/ -
Request For Certification Of Reinstatement And Certificate Authorizing Reinstatement Of Licensing Privileges
North Carolina/Statewide/Civil/ -
Request For Hearing To Contest Withholding To Enforce Child Support
North Carolina/Statewide/Civil/ -
Request For Issuance Of Writ Of Possession Of Real Property When Judgment More Than 30 Days Old
North Carolina/Statewide/Civil/ -
Summons To Garnishee And Notice Of Levy
North Carolina/Statewide/Civil/ -
Verified Statement And Notice Of Lien For Delinquent Child Support
North Carolina/Statewide/Civil/ -
Voluntary Waiver Of Hearing In Claim And Delivery
North Carolina/Statewide/Civil/ -
Waiver Of Prelitigation Mediation In Farm Nuisance Dispute
North Carolina/Statewide/Civil/ -
Writ Of Possession Personal Property
North Carolina/Statewide/Civil/ -
Writ Of Possession Real Property
North Carolina/Statewide/Civil/ -
Income Withholding For Support
North Carolina/Statewide/Civil/ -
Income Withholding For Support Instructions
North Carolina/Statewide/Civil/ -
Motion To Claim Exempt Property Statutory Exemptions
North Carolina/Statewide/Civil/ -
Commitment Order For Civil Contempt Child Support
North Carolina/Statewide/Civil/ -
Motion To Modify Custody
North Carolina/Statewide/Civil/ -
Order Dismissing Complaint For Domestic Violence Protective Order For Failure To Prosecute
North Carolina/Statewide/Civil/ -
Transcript Request
North Carolina/Statewide/Civil/ -
Notice Of Hearing On No Contact Order For Stalking Or Nonconsensual Sexual Conduct
North Carolina/Statewide/Civil/ -
Commitment Order For Civil Contempt
North Carolina/Statewide/Civil/ -
Order Upon Motion To Return Weapons Surrendered Under Domestic Violence Protective Order
North Carolina/Statewide/Civil/ -
Motion And Notice Of Hearing For Disposal Of Weapons Surrendered Under Domestic Violence Protective Order
North Carolina/Statewide/Civil/ -
Order Upon Motion For Disposal Of Weapons Surrendered Under Domestic Violence Proctective Order
North Carolina/Statewide/Civil/ -
Order Setting Aside No Contact Order For Stalking Or Nonconsensual Sexual Conduct
North Carolina/Statewide/Civil/ -
Motion To Renew Set Aside No Contact Order For Stalking Or Nonconsensual Sexual Conduct (CV-525}
North Carolina/Statewide/Civil/ -
Order Renewing No Contact Order For Stalking Or Nonconsensual Sexual Conduct
North Carolina/Statewide/Civil/ -
Order Continuing No Contact Hearing And Temporary Order
North Carolina/Statewide/Civil/ -
Motion And Order To Show Cause-Failure To Comply (Stalking-Nonconsensual Sexual Conduct)
North Carolina/Statewide/Civil/ -
Contempt Order No Contact Order For Stalking Or Nonconsensual Sexual Conduct
North Carolina/Statewide/Civil/ -
Notice Of Hearing On No Contact Order Pursuant To The Workplace Violence Prevention Act Temporary Order Permanent Order
North Carolina/Statewide/Civil/ -
Temporary No Contact Order Pursuant To The Workplace Violence Prevention Act Ex Parte
North Carolina/Statewide/Civil/ -
No Contact Order Pursuant To The Workplace Violence Prevention Act
North Carolina/Statewide/Civil/ -
Affidavit As To Status Of Minor Child
North Carolina/Statewide/Civil/ -
Arbitration Request For Trial De Novo
North Carolina/Statewide/Civil/ -
Limited Driving Privlege Driving While License Revoked Or Committing Moving Offense
North Carolina/Statewide/Civil/ -
Motion For Modification Termination Of Order For Wage Withholding
North Carolina/Statewide/Civil/ -
Domestic Civil Action Cover Sheet
North Carolina/Statewide/Civil/ -
General Civil Action Cover Sheet
North Carolina/Statewide/Civil/ -
Motion And Order For Show Cause Hearing
North Carolina/Statewide/Civil/ -
Order Of Contempt For Non Payment Of Mediators Fees
North Carolina/Statewide/Civil/ -
Petition And Order For Relief From Obligation To Pay All Or Part Of Mediators Fee In Family Financial Case
North Carolina/Statewide/Civil/ -
Petition And Order For Relief From Obligation To Pay Mediators Fee
North Carolina/Statewide/Civil/ -
Arbitration Award Superior Court
North Carolina/1 Statewide/Civil/ -
Motion For An Order To Use Settlement Procedure
North Carolina/1 Statewide/Civil/ -
Arbitration Award And Judgment
North Carolina/Statewide/Civil/ -
Arbitration Notice Of Case Selection For Arbitration
North Carolina/Statewide/Civil/ -
Certificate Of Payment Satisfaction Of Judgment By Judgment Creditor Payment In Full Partial Payment
North Carolina/Statewide/Civil/ -
Defendants Bond In Claim And Delivery
North Carolina/Statewide/Civil/ -
Motion For Return Of Weapons Surrendered Under Domestic Violence Proctective Order And Notice Of Hearing
North Carolina/Statewide/Civil/ -
Motion To Join Employer As Party To Enforce Wage Withholding And Notice Of Hearing
North Carolina/Statewide/Civil/ -
Order Of Seizure In Claim And Delivery
North Carolina/Statewide/Civil/ -
Writ Of Execution
North Carolina/Statewide/Civil/ -
Cover Sheet For Child Support Cases Nov IV D Only
North Carolina/Statewide/Civil/ -
Motion And Notice Of Hearing For Modification Of Child Support Order
North Carolina/Statewide/Civil/ -
Motion To Join Payor As Party To Enforce Income Withholding And Notice Of Hearing
North Carolina/Statewide/Civil/ -
Motion To Withhold From Income Other Than Wages To Enforce Child Support Order
North Carolina/Statewide/Civil/ -
Motion To Withhold Wages To Enforce Child Support Order
North Carolina/Statewide/Civil/ -
Order In Civil Action To Authorize Underage Person To Marry
North Carolina/Statewide/Civil/ -
Order On Motion To Join Employer As Party To Enforce Wage Withholding
North Carolina/Statewide/Civil/ -
Order On Motion To Join Payor As Party To Enforce Income Withholding
North Carolina/Statewide/Civil/ -
Order To Appear And Show Cause For Failure To Comply With Support Order And Order To Produce Records And Licenses
North Carolina/Statewide/Civil/ -
Order To Withhold From Income Other Than Wages To Enforce Child Support
North Carolina/Statewide/Civil/ -
Request By Supporting Party For Wage Withholding
North Carolina/Statewide/Civil/ -
Voluntary Support Agreement And Approval By Court
North Carolina/Statewide/Civil/ -
Motion And Order For Continuance
North Carolina/Statewide/Civil/ -
Civil Bill Of Costs
North Carolina/Statewide/Civil/ -
Domestic Violence Order Of Protection
North Carolina/Statewide/Civil/ -
Ex Parte Domestic Violence Order Of Protection
North Carolina/Statewide/Civil/ -
Motion For Order To Show Cause Domestic Violence Protective Order
North Carolina/Statewide/Civil/ -
Motion To Renew Or Set Aside Domestic Violence Protective Order Notice of Hearing
North Carolina/Statewide/Civil/ -
No Contact Order For Stalking Or Nonconsensual Sexual Conduct
North Carolina/Statewide/Civil/ -
Order For Mediated Settlement Conference In Family Financial Case
North Carolina/Statewide/Civil/ -
Order To Appear And Show Cause For Failure To Comply With Domestic Violence Protective Order
North Carolina/Statewide/Civil/ -
Report Of Mediator
North Carolina/Statewide/Civil/ -
Report Of Neutral Conducting Settlement Procedure
North Carolina/1 Statewide/Civil/ -
Request And Affidavit To Register And Registration Of Out Of State Domestic Violence Protective Order
North Carolina/Statewide/Civil/ -
Temporary No Contact Order For Stalking Or Nonconsensual Sexual Conduct
North Carolina/Statewide/Civil/ -
Worksheet A Child Support Obligation Sole Custody
North Carolina/Statewide/Civil/ -
Worksheet B Child Support Obligation Joint Or Shared Physical Custody
North Carolina/Statewide/Civil/ -
Worksheet C Child Support Obligation Split Custody
North Carolina/Statewide/Civil/ -
Civil Summons
North Carolina/Statewide/Civil/ -
Civil Summons Domestic Violence
North Carolina/Statewide/Civil/ -
Civil Summons In Action By Underage Person For Authorization To Marry
North Carolina/Statewide/Civil/ -
Civil Summons Permanent Civil No Contact Order Against Sex Offender Alias And Pluries Summons
North Carolina/Statewide/Civil/ -
Civil Summons Third Party
North Carolina/Statewide/Civil/ -
Civil Summons To Be Served With Order Extending Time To File Complaint
North Carolina/Statewide/Civil/ -
Civil Summons Workplace Violence Prevention Act
North Carolina/Statewide/Civil/ -
Contempt Order Permanent Civil No Contact Order Against Sex Offender
North Carolina/Statewide/Civil/ -
Motion And Order To Show Cause For Failure To Comply (Sex Offender)
North Carolina/Statewide/Civil/ -
Motion To Rescind Set Aide Permanent Civil No Contact Order Against Sex Offender
North Carolina/Statewide/Civil/ -
Notice Of Hearing On Permanent Civil No Contact Order Against Sex Offender
North Carolina/Statewide/Civil/ -
Order For Mediated Settlement Conference And Trial Calendar Notice
North Carolina/Statewide/Civil/ -
Permanent Civil No Contact Order Against Sex Offender
North Carolina/Statewide/Civil/ -
Motion For Order To Use Settlement Procedure Other Than Mediated Or Judicial Settlement Conference In Family Financial Case
North Carolina/Statewide/Civil/ -
Motion To Use Settlement Procedure Other Than Mediated Settlement Conference
North Carolina/1 Statewide/Civil/ -
Order To Calendar Custody Or Visitation Dispute
North Carolina/Statewide/Civil/ -
Application Summons And Order To Show Cause Child Support
North Carolina/Statewide/Civil/ -
Complaint And Motion For Domestic Violence Protective Order
North Carolina/Statewide/Civil/ -
Complaint For Civil No Contact Order Pursuant To The Workplace Violence Prevention Act Motion For Temporary No Contact Order
North Carolina/Statewide/Civil/ -
Complaint For Judicial Authorization For Underage Person To Marry
North Carolina/Statewide/Civil/ -
Complaint For No Contact Order For Stalking Or Nonconsensual Sexual Conduct
North Carolina/Statewide/Civil/ -
Complaint For Permanent Civil No Contact Order Against Sex Offender
North Carolina/Statewide/Civil/ -
Designation Of Mediator
North Carolina/Statewide/Civil/ -
Petition For Limited Driving Privilege
North Carolina/Statewide/Civil/ -
Request For Prelitigation Mediation Of Farm Nuisance Dispute
North Carolina/Statewide/Civil/
Form Preview
Contact Us
Success: Your message was sent.
Thank you!




