Last updated: 12/5/2023
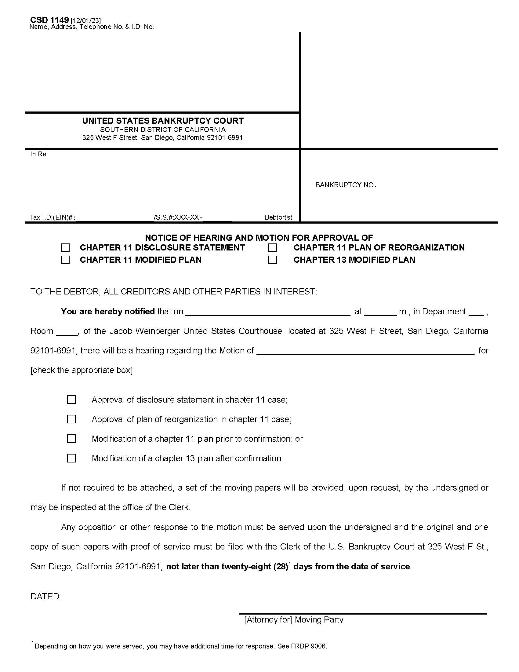
Notice Of Hearing And Motion For Approval Of Disclosure Statement Plan Of Reorganization {CSD 1149}
Start Your Free Trial $ 15.99What you get:
- Instant access to fillable Microsoft Word or PDF forms.
- Minimize the risk of using outdated forms and eliminate rejected fillings.
- Largest forms database in the USA with more than 80,000 federal, state and agency forms.
- Download, edit, auto-fill multiple forms at once in MS Word using our Forms Workflow Ribbon
- Trusted by 1,000s of Attorneys and Legal Professionals
Description
CSD 1149 - NOTICE OF HEARING AND MOTION FOR APPROVAL OF CHAPTER 11 DISCLOSURE STATEMENT; CHAPTER 11 MODIFIED PLAN; CHAPTER 11 PLAN OF REORGANIZATION; CHAPTER 13 MODIFIED PLAN. This form is used in a bankruptcy case in the United States Bankruptcy Court for the Southern District of California. It informs the debtor, creditors, and other parties involved about an upcoming hearing for a motion seeking approval. The purpose of the motion could be related to the approval of a disclosure statement or plan of reorganization in a Chapter 11 case, or modification of a Chapter 11 or Chapter 13 plan. The notice provides the date, time, and location of the hearing and specifies the deadline for filing any opposition or response. The form includes a certificate of service section where the person serving the notice certifies the method of service and provides recipient information. www.FormsWorkflow.com
Related forms
-
Application By Trustee Debtor-In-Possession To Defer Payment Of Fee For Filing Complaint
California/Federal/USBC Southern/General/ -
Application By Trustee To Defer Payment Of Fee For Motion To Reopen Case
California/Federal/USBC Southern/General/ -
Application By Trustee To Pay Expenses Without Notice To Creditors
California/Federal/USBC Southern/General/ -
Application For The Appointment Of An Appraiser
California/Federal/USBC Southern/General/ -
Application To Employ Auctioneer
California/Federal/USBC Southern/General/ -
Appraisers Application For Compensation And Reimbursement Of Expenses
California/Federal/USBC Southern/General/ -
Caption For Adversary Proceedings
California/Federal/USBC Southern/General/ -
Caption For Bankruptcy Cases
California/Federal/USBC Southern/General/ -
Case Questionnaire In Connection With Mediation Procedure
California/Federal/USBC Southern/General/ -
Declaration By Attorney Representation General Partners Filing Voluntary Petition
California/Federal/USBC Southern/General/ -
Declaration Re Electronic Filing Of Petition Schedules And Statements
California/Federal/USBC Southern/General/ -
Documents Required For Processing An Application For Unclaimed Funds
California/Federal/USBC Southern/General/ -
Excerpts From Local Bankruptcy Rules Specifically Relating To Relief From Stay Motions
California/Federal/USBC Southern/General/ -
Fee Application Summary - Exhibit A
California/Federal/USBC Southern/General/ -
Judgment By Default Disallowing Claim Of Exemptions
California/Federal/USBC Southern/General/ -
Judgment By Default
California/Federal/USBC Southern/General/ -
List Of Exhibits Submitted By Attorney
California/Federal/USBC Southern/General/ -
Memorandum Request For Production Of Claims Register
California/Federal/USBC Southern/General/ -
Memorandum Request To Set Claims Bar Date-Chapter 7 Cases Only
California/Federal/USBC Southern/General/ -
Motion For Relief From Automatic Stay - Real And Personal Property
California/Federal/USBC Southern/General/ -
Motion For Relief From Automatic Stay Unlawful Detainer
California/Federal/USBC Southern/General/ -
Notice Of Change Of Address
California/Federal/USBC Southern/General/ -
Notice Of Related Case
California/Federal/USBC Southern/General/ -
Opposition To Motion For Relief From Automatic Stay
California/Federal/USBC Southern/General/ -
Order Appointing Appraiser
California/Federal/USBC Southern/General/ -
Order Appointing Auctioneer
California/Federal/USBC Southern/General/ -
Order Appointing Mediator And Assignment To Mediation
California/Federal/USBC Southern/General/ -
Order Approving Interim Final Application For Compensation And Reimbursement Of Expenses
California/Federal/USBC Southern/General/ -
Order Converting Case Under Chap 13 To Case Under Chap 7 On Motion By A Party In Interest
California/Federal/USBC Southern/General/ -
Order Converting Case Under Chapter 11 To Case Under Chapter 12
California/Federal/USBC Southern/General/ -
Order Converting Case Under Chapter 7 To Case Under Chapter 12
California/Federal/USBC Southern/General/ -
Order Converting Case Under Chapter 7 To Case Under Chapter 13
California/Federal/USBC Southern/General/ -
Order Converting Chapter 11 Case To Case Under Chapter 7
California/Federal/USBC Southern/General/ -
Order Dismissing Chapter 13 Case After Hearing
California/Federal/USBC Southern/General/ -
Order For Compensation Of Appraiser
California/Federal/USBC Southern/General/ -
Order For Compensation Of Auctioneer
California/Federal/USBC Southern/General/ -
Order On Noncontested Motion Dismissing Chapter 13 Case
California/Federal/USBC Southern/General/ -
Order On Noncontested Motion For Relief From Automatic Stay Real and Personal Property
California/Federal/USBC Southern/General/ -
Order On Noncontested Motion For Relief From Automatic Stay Unlawful Detainer
California/Federal/USBC Southern/General/ -
Order Upon Conversion Of Case Under Chap 12 To Case Under Chap 7 By Debtor
California/Federal/USBC Southern/General/ -
Praecipe
California/Federal/USBC Southern/General/ -
Pre Trial Order
California/Federal/USBC Southern/General/ -
Proof Of Right To Payment Of Dividend From Unclaimed Funds
California/Federal/USBC Southern/General/ -
Report Of Abandonment Of Real Property
California/Federal/USBC Southern/General/ -
Report Of Sale
California/Federal/USBC Southern/General/ -
Request By Trustee For Copywork And Certification Without Prepayment Of Fees
California/Federal/USBC Southern/General/ -
Request For Extension Of Time To Produce Transcript On Appeal And Order Thereon
California/Federal/USBC Southern/General/ -
Request For Issuance Of Writ Of Attachment
California/Federal/USBC Southern/General/ -
Request For Production Of Transcript On Appeal
California/Federal/USBC Southern/General/ -
Request For Services Or Equipment For Participants With Communications Disabilities
California/Federal/USBC Southern/General/ -
Request For Special Charges By Chapter 11 Plan Proponent
California/Federal/USBC Southern/General/ -
Request For Special Charges By Trustee
California/Federal/USBC Southern/General/ -
Request To Review Copy Files By Authorized Copy Service
California/Federal/USBC Southern/General/ -
Roster Of State And Federal Agencies
California/Federal/USBC Southern/General/ -
Summary Of Balloting On Chapter 11 Plan
California/Federal/USBC Southern/General/ -
Trustees Application For Immediate Private Sale Without Notice
California/Federal/USBC Southern/General/ -
Trustees Interim Report Number
California/Federal/USBC Southern/General/ -
Trustees Report Of No Distribution
California/Federal/USBC Southern/General/ -
Order On (Template For Adversaries)
California/Federal/USBC Southern/General/ -
Order On (Template For Cases)
California/Federal/USBC Southern/General/ -
Order On (Lodged Template For Cases)
California/Federal/USBC Southern/General/ -
Order On (Lodged Template For Adversaries)
California/Federal/USBC Southern/General/ -
Case Questionnaire In Connection With Mediation Procedure
California/Federal/USBC Southern/General/ -
Exemplification Certificate
California/Federal/USBC Southern/General/ -
Declaration Re Filing Of Petition Schedules And Statements On Diskette
California/Federal/USBC Southern/General/ -
Application For Order To Appear For Examination
California/Federal/USBC Southern/General/ -
Order Approving Trustees Application To Pay Expenses Without Notice To Creditors
California/Federal/USBC Southern/General/ -
Order Template For Relief From Stay
California/Federal/USBC Southern/General/ -
Order Shortening Time For Hearing On (Template For Adversaries)
California/Federal/USBC Southern/General/ -
Order Shortening Time For Hearing For Relief From Stay
California/Federal/USBC Southern/General/ -
Findings Of Fact And Conclusions Of Law Re (Lodged Template For Adversaries)
California/Federal/USBC Southern/General/ -
Findings Of Fact And Conclusion Of Law (Lodged) For Relief From Stay
California/Federal/USBC Southern/General/ -
Findings Of Fact And Conclusions Of Law Re (Template For Adversaries)
California/Federal/USBC Southern/General/ -
Findings Of Fact And Conclusions Of Law Re (Template For Cases)
California/Federal/USBC Southern/General/ -
Findings Of Fact And Conclusion Of Law For Relief From Stay
California/Federal/USBC Southern/General/ -
Order To Appear For Examination
California/Federal/USBC Southern/General/ -
Exhibit A (To CSD 1181 Required With Fee Notices)
California/Federal/USBC Southern/General/ -
Final Decree
California/Federal/USBC Southern/General/ -
Finding Of Fact And Conclusions Of Law Re (Lodged Template For Cases)
California/Federal/USBC Southern/General/ -
Order Shortening Time For Hearing On (Template For Cases)
California/Federal/USBC Southern/General/ -
Trustees Notice Of Intent To Distribute Estate
California/Federal/USBC Southern/General/ -
Application For Release Of Rent Deposit Pursuant To 11 USC 362(I)
California/Federal/USBC Southern/General/ -
Mediators Certificate Of Compliance (Relief From Stay Motions)
California/Federal/USBC Southern/General/ -
Notice Of Hearing And Motion On Agreement To Reaffirm A Debt
California/Federal/USBC Southern/General/ -
Notice Of Failure To Comply With Filing Requirements
California/Federal/USBC Southern/General/ -
Statement Of Social Security Number (California Southern District)
California/Federal/USBC Southern/General/ -
Order Converting Case Under Chapter 7 To Case Under Chapter 11
California/Federal/USBC Southern/General/ -
Application For Compensation And Confirmation Of Chapter 13 Plan
California/Federal/USBC Southern/General/ -
Application For Confirmation Of Chapter 13 Plan And Order Thereon
California/Federal/USBC Southern/General/ -
Order On Motion For Exemption Re Credit Counseling
California/Federal/USBC Southern/General/ -
Post Confirmation Order Modifying Chapter 13 Plan
California/Federal/USBC Southern/General/ -
Debtors Motion To Value Real Property
California/Federal/USBC Southern/General/ -
Order Granting Debtors Motion To Value Real Property
California/Federal/USBC Southern/General/ -
Reaffirmation Agreement Cover Sheet
California/Federal/USBC Southern/General/ -
Rights And Responsibilities Of Chapter 7 Debtors And Their Attorney
California/Federal/USBC Southern/General/ -
Substitution Of Attorney And Order Thereon
California/Federal/USBC Southern/General/ -
Supplement To Schedule I And-Or J
California/Federal/USBC Southern/General/ -
Chapter 11 Individual Combined Plan Of Reorganization And Disclosure Statemen
California/Federal/USBC Southern/General/ -
Final Decree In Individual Chapter 11 Case
California/Federal/USBC Southern/General/ -
Notice Of Change In Lead Attorney Within Law Firm
California/Federal/USBC Southern/General/ -
Order Granting Conditional Approval Of Individual Chapter 11 Combined Plan
California/Federal/USBC Southern/General/ -
Order On Trustees Application For Immediate Private Sale Without Notice
California/Federal/USBC Southern/General/ -
Certification To Court Of Appeals By All Parties
California/Federal/USBC Southern/General/ -
US Trustees Notice Of Hearing And Motion
California/Federal/USBC Southern/General/ -
Order On Stipulation To Vacate Chapter 7 Filing Fee Waiver
California/Federal/USBC Southern/General/ -
Stipulation To Vacate Chapter 7 Filing Fee Waiver Order
California/Federal/USBC Southern/General/ -
Lodged Order Template For Relief From Stay
California/Federal/USBC Southern/General/ -
Application To Have Chapter 7 Filing Fee Waived
California/Federal/USBC Southern/General/ -
Request For Services Or Equipment In Bankruptcy Court Proceedings
California/Federal/USBC Southern/General/ -
Declaration Of Inmate Filing
California/Federal/USBC Southern/General/ -
Notice Of Appeal And Statement Of Election (Adversary) {CSD 417A(Adv.)}
California/Federal/USBC Southern/General/ -
Special Power Of Attorney
California/Federal/USBC Southern/General/ -
Pre Confirmation Modification To Chapter 13 Plan
California/Federal/USBC Southern/General/ -
Writ Of Attachment
California/Federal/USBC Southern/General/ -
Certification Of Judgment For Registration In Another District
California/Federal/USBC Southern/General/ -
Bill Of Costs
California/Federal/USBC Southern/General/ -
Motion To Be Relieved As Counsel
California/4 Federal/USBC Southern/General/ -
Order Appointing Mediator And Assignment To Mediation
California/4 Federal/USBC Southern/General/ -
Notice Of Conversion Of Case Under Chapter 12 To A Case Under Chapter 7 By Debtor
California/Federal/USBC Southern/General/ -
Notice Of Conversion Of Case Under Chapter 13 To A Case Under Chapter 7 By Debtor
California/Federal/USBC Southern/General/ -
Pro Hac Vice Application And Order Thereon
California/Federal/USBC Southern/General/ -
Order On (Lodged Template For R-S Motions)
California/Federal/USBC Southern/General/ -
Application To Join Voluntary Mediation Panel
California/Federal/USBC Southern/General/ -
Trustees Motion To Dismiss Case And Order
California/Federal/USBC Southern/General/ -
Chapter 13 Plan (Mandatory)
California/Federal/USBC Southern/General/ -
Mandatory Chapter 13 Plan
California/Federal/USBC Southern/General/ -
Corporate Ownership Statement
California/4 Federal/USBC Southern/General/ -
Declaration Regarding Electronic Filing Of Self-Represented Individual
California/Federal/USBC Southern/General/ -
Administrative Procedures
California/Federal/USBC Southern/General/ -
Lessors Objection To Debtors Certification And-Or Debtors Continuing Certification
California/Federal/USBC Southern/General/ -
Mediators Certificate Of Compliance
California/Federal/USBC Southern/General/ -
Proof Of Interest
California/Federal/USBC Southern/General/ -
Suggestion Of Death
California/Federal/USBC Southern/General/ -
Notice And Motion On Suggestion Of Death
California/Federal/USBC Southern/General/ -
Application To Pay Filing Fees In Installments
California/Federal/USBC Southern/General/ -
Request For Hearing On Motion For Relief From Automatic Stay And Notice Of Hearing
California/Federal/USBC Southern/General/ -
Request By Debtor For Statement Of Position Of Chapter 13 Trustee
California/Federal/USBC Southern/General/ -
Request And Notice Of Hearing Re Chapter 13 Trustees Notice To Dismiss
California/Federal/USBC Southern/General/ -
Request And Notice Of Hearing
California/Federal/USBC Southern/General/ -
Objection To Confirmation Of Chapter 13 Plan
California/Federal/USBC Southern/General/ -
Notice Of Creditors Named Debtor Added By Amendment Balance Of Schedules
California/Federal/USBC Southern/General/ -
Notice Of Pre-Confirmation Modification To Chapter 13 Plan
California/4 Federal/USBC Southern/General/ -
Notice Of Lodgment
California/Federal/USBC Southern/General/ -
Notice On Hearing On Objection To Confirmation Of Chapter 13 Plan
California/Federal/USBC Southern/General/ -
Notice Of Hearing And Motion To Extend-Impose The Automatic Stay
California/Federal/USBC Southern/General/ -
Notice Of Hearing And Motion For Review And Conditional Approval
California/Federal/USBC Southern/General/ -
Notice Of Hearing And Motion For Approval Of Disclosure Statement Plan Of Reorganization
California/Federal/USBC Southern/General/ -
Notice Of Hearing And Motion (Less All Creditors)
California/Federal/USBC Southern/General/ -
Notice Of Hearing And Motion (All Creditors)
California/Federal/USBC Southern/General/ -
Notice Of Hearing And Motion On Sale Of Property Free And Clear
California/4 Federal/USBC Southern/General/ -
Notice Of Hearing And Debtors Motion To Value Real Property
California/Federal/USBC Southern/General/ -
Certifications Regarding Domestic Support Obligations Section 522(q) And Eligibility For Discharge
California/Federal/USBC Southern/General/ -
Balance Of Schedules Statements And Or Chapter 13 Plan
California/Federal/USBC Southern/General/ -
Request To Enter Default
California/Federal/USBC Southern/General/ -
Proof Of Service Adversary
California/Federal/USBC Southern/General/ -
Order Dismissing Chapter 13 Case On Request By Debtor
California/Federal/USBC Southern/General/ -
Notice Of Motion And Hearing
California/Federal/USBC Southern/General/ -
Chapter 12 Individual Debtors Certifications Regarding Domestic Support Obligations
California/Federal/USBC Southern/General/ -
Attorney Change Of Information Form
California/Federal/USBC Southern/General/ -
Application For Payment Of Unclaimed Funds
California/4 Federal/USBC Southern/General/ -
Request By Debtor For Dismissal Of Chapter 13
California/Federal/USBC Southern/General/ -
Creditor Matrix Instructions
California/Federal/USBC Southern/General/ -
Amendment
California/Federal/USBC Southern/General/ -
Trustees Notice Of Public Sale And Invitation For Better Offer
California/Federal/USBC Southern/General/ -
Trustees Notice Of Proposed Auction
California/Federal/USBC Southern/General/ -
Trustees Notice Of Proposed Abandonment Of Property
California/Federal/USBC Southern/General/ -
Trustees Notice Of Intended Action And Opportunity For Hearing
California/Federal/USBC Southern/General/ -
Objection To Claim And Notice Thereof
California/Federal/USBC Southern/General/ -
Notice To Person With Communications Disabilities
California/Federal/USBC Southern/General/ -
Notice Of Pre Trial Status Conference
California/Federal/USBC Southern/General/ -
Notice Of Objections To Debtors Claim Of Exemptions Opportunity For Hearing
California/Federal/USBC Southern/General/ -
Notice Of Motion For
California/Federal/USBC Southern/General/ -
Notice Of Intended Action And Opportunity For Hearing
California/Federal/USBC Southern/General/ -
Notice Of Filing Of A Motion For Relief From Automatic Stay
California/Federal/USBC Southern/General/ -
Notice Of Chapter 13 Trustees Interim Final Report And Time To File Objections And Release
California/Federal/USBC Southern/General/ -
Certificate Of Cure Of Entire Monetary Default Pursuant To 11 USC 362
California/Federal/USBC Southern/General/ -
Abstract Of Judgment
California/Federal/USBC Southern/General/ -
Chapter 11 Individual Debtors Request For Discharge Certifications Regarding Domestic Support
California/Federal/USBC Southern/General/ -
Declaration In Support Of Request For Issuance Of Writ Of Execution
California/Federal/USBC Southern/General/ -
Motion To Reopen Case
California/Federal/USBC Southern/General/ -
Notice Of Modified Chapter 13 Plan Prior To Confirmation
California/Federal/USBC Southern/General/ -
Notice Of Motion For Exemption And Opportunity For Hearing Re Credit Counseling
California/Federal/USBC Southern/General/ -
Order Reopening Estate
California/Federal/USBC Southern/General/ -
Request For Issuance Of Writ Of Execution
California/Federal/USBC Southern/General/ -
Certificate Of Exigent Circumstances And Motion For Extension Of Time To File
California/Federal/USBC Southern/General/ -
Writ Of Execution
California/Federal/USBC Southern/General/ -
Rights And Responsibilities Of Chapter 13 Debtors And Their Attorneys (Business Case)
California/Federal/USBC Southern/General/ -
Rights And Responsibilities Of Chapter 13 Debtors And Their Attorneys (Consumer Case)
California/Federal/USBC Southern/General/ -
Certificate Of Compliance With Early Conference Of Counsel
California/Federal/USBC Southern/General/
Form Preview
Contact Us
Success: Your message was sent.
Thank you!




