Last updated: 7/11/2023
Plat Act Affidavit
Start Your Free Trial $ 13.99What you get:
- Instant access to fillable Microsoft Word or PDF forms.
- Minimize the risk of using outdated forms and eliminate rejected fillings.
- Largest forms database in the USA with more than 80,000 federal, state and agency forms.
- Download, edit, auto-fill multiple forms at once in MS Word using our Forms Workflow Ribbon
- Trusted by 1,000s of Attorneys and Legal Professionals
Description
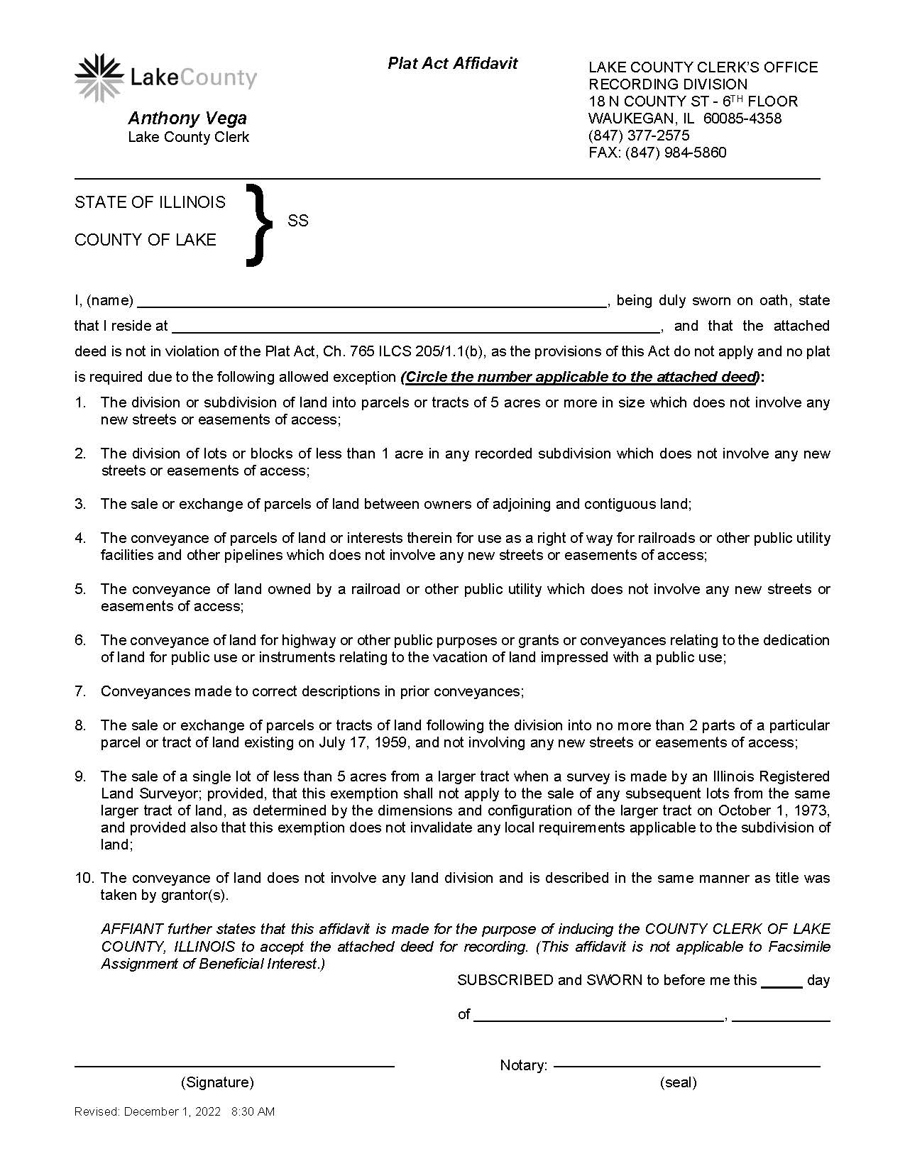
PLAT ACT AFFIDAVIT. This form is used in the Lake County Clerk's Office in Illinois. It is completed by an individual who is submitting a deed for recording and needs to affirm that the deed does not violate the provisions of the Plat Act (Chapter 765 ILCS 205/1.1(b)). The affiant declares that they reside at a specified address and states the reason why the attached deed is exempt from the Plat Act requirements by circling the applicable exception number. The affidavit is made to induce the County Clerk of Lake County to accept the deed for recording. The form includes a space for the affiant's signature and a space for a notary public to verify the oath and signature. www.FormsWorkflow.com
Related forms
-
Notice Of Motion
Illinois/Local County/Lake/General/ -
Order (Blank)
Illinois/Local County/Lake/General/ -
Notice Of Confidential Or Personal Identity Information Within Court Filing
Illinois/Local County/Lake/General/ -
Trial Continuance Order
Illinois/Local County/Lake/General/ -
Sole Practitioner (Attorney) Registration Form
Illinois/Local County/Lake/General/ -
(Law) Firm Registration Form
Illinois/Local County/Lake/General/ -
Notice Of Appeal
Illinois/Local County/Lake/General/ -
Notice Of Filing Notice Of Appeal
Illinois/Local County/Lake/General/ -
Civil And Family Division Reassignment Order
Illinois/Local County/Lake/General/ -
HIPAA Qualified Protective Order
Illinois/2 Local County/Lake/General/ -
Waiver And Order Of In-Person Court Proceeding (Juvenile)
Illinois/2 Local County/Lake/General/ -
Order With Statutory Findings Regarding Stalking No Contact Order
Illinois/2 Local County/Lake/General/ -
Stalking No Contact Order
Illinois/2 Local County/Lake/General/ -
Verified Petitition For Authorization For Certification-Renewal As Civil Surety
Illinois/2 Local County/Lake/General/ -
Verified Petitition For Stalking No Contact Order
Illinois/2 Local County/Lake/General/ -
Verified Petitition For Civil No Contact Order
Illinois/2 Local County/Lake/General/ -
Order (Bench Trial)
Illinois/2 Local County/Lake/General/ -
Certificate Of Attorney - Petition To Vacate-Modify Judgment Order
Illinois/Local County/Lake/General/ -
Affidavit As To Military Service
Illinois/2 Local County/Lake/General/ -
Affidavit For Certification Of Document Copy
Illinois/2 Local County/Lake/General/ -
Quitclaim Deed
Illinois/Local County/Lake/General/ -
Warranty Deed
Illinois/Local County/Lake/General/ -
Document Image Redaction Request Form
Illinois/2 Local County/Lake/General/ -
Recording Coversheet
Illinois/2 Local County/Lake/General/ -
Plat Act Affidavit
Illinois/Local County/Lake/General/ -
Recorder Speed eReceipt Request
Illinois/2 Local County/Lake/General/ -
Request For Military Service Discharge Record
Illinois/2 Local County/Lake/General/ -
Eviction Mediation Order
Illinois/Local County/Lake/General/ -
Supreme Court Rule 218 Order (Case Management Conference)
Illinois/2 Local County/Lake/General/
Form Preview
Contact Us
Success: Your message was sent.
Thank you!




