Last updated: 7/27/2023
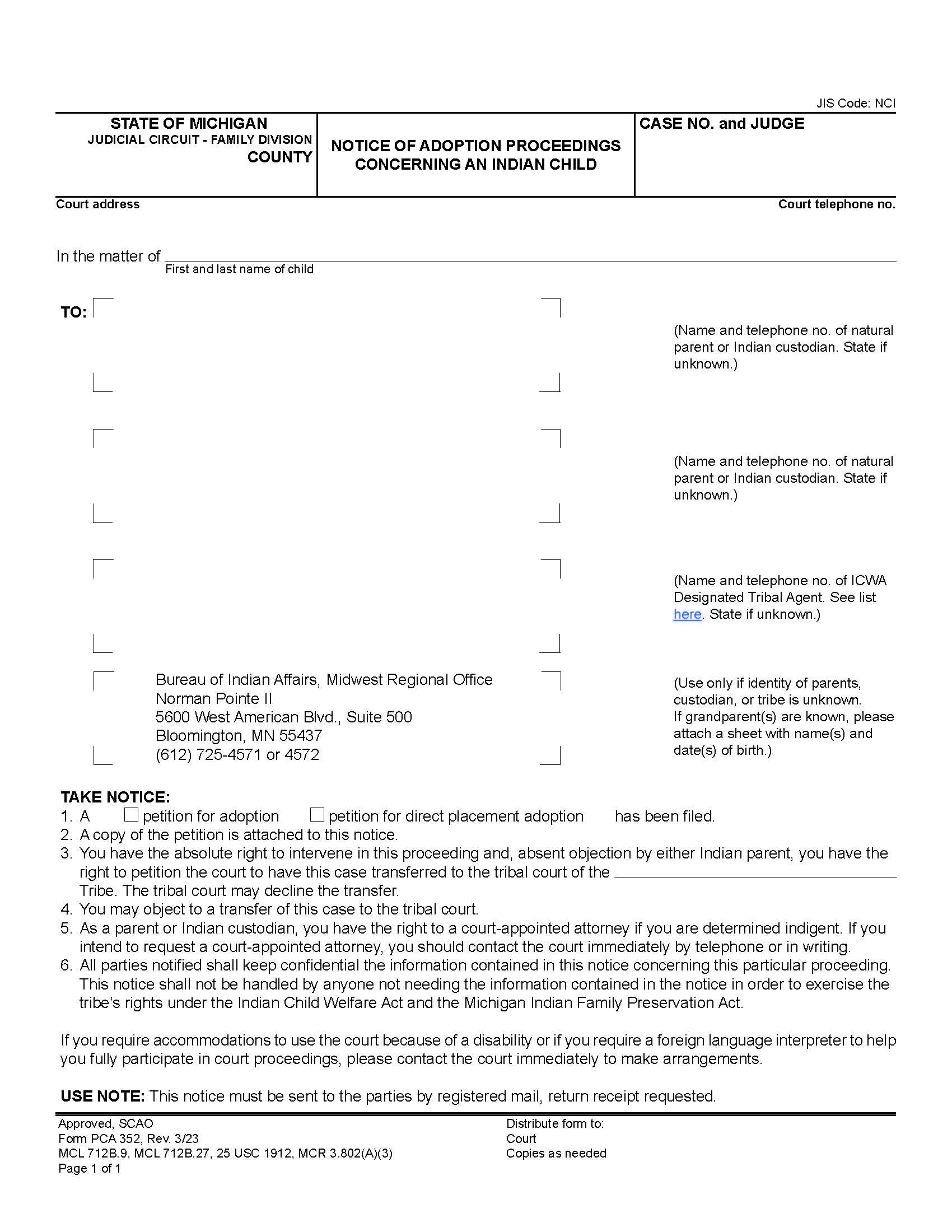
Notice Of Adoption Proceedings Concerning An Indian Child {PCA 352}
Start Your Free Trial $ 13.99What you get:
- Instant access to fillable Microsoft Word or PDF forms.
- Minimize the risk of using outdated forms and eliminate rejected fillings.
- Largest forms database in the USA with more than 80,000 federal, state and agency forms.
- Download, edit, auto-fill multiple forms at once in MS Word using our Forms Workflow Ribbon
- Trusted by 1,000s of Attorneys and Legal Professionals
Description
PCA 352 - NOTICE OF ADOPTION PROCEEDINGS CONCERNING AN INDIAN CHILD. This form is used in the State of Michigan in the Family Division of the Judicial Circuit to inform specific individuals, such as natural parents, Indian custodians, and ICWA (Indian Child Welfare Act) Designated Tribal Agents, about an ongoing adoption or direct placement adoption case involving an Indian child. The notice contains important information that the recipients should be aware of, including their right to intervene in the proceeding, the possibility of transferring the case to the tribal court, the right to a court-appointed attorney if determined indigent, and the need to keep the information confidential. The notice is sent to the parties by registered mail, return receipt requested, and it is crucial for the involved parties to be aware of the proceedings to protect the rights and interests of the Indian child in accordance with the Indian Child Welfare Act and the Michigan Indian Family Preservation Act. Approved, SCAO. MCL 712B.9, MCL 712B.27, 25 USC 1912, MCR 3.802(A)(3). www.FormsWorkflow.com
Related forms
-
Advice Of Rights After Order Terminating Parental Rights
Michigan/Statewide/Adoption/ -
Certificate Of Adoptive Information
Michigan/Statewide/Adoption/ -
Clerks Report To Prosecuting Attorney
Michigan/Statewide/Adoption/ -
Consent To Adoption By Agency Or Court
Michigan/Statewide/Adoption/ -
Consent To Adoption By Guardian
Michigan/Statewide/Adoption/ -
Consent To Adoption By Parent
Michigan/Statewide/Adoption/ -
Declaration Of Inability To Identify Or Locate Father
Michigan/Statewide/Adoption/ -
Followup Report After Temporary Placement Of Child For Adoption
Michigan/Statewide/Adoption/ -
Notice Of Hearing Termination Of Parental Rights
Michigan/Statewide/Adoption/ -
Notice Of Hearing To Identify Father And Determine Or Terminate His Rights
Michigan/Statewide/Adoption/ -
Notice Of Intent To Release Or Consent
Michigan/Statewide/Adoption/ -
Notice To Adopting Parents On Pending Or Potential Appeal Or Rehearing
Michigan/Statewide/Adoption/ -
Notice To Putative Father And Custody Statement
Michigan/Statewide/Adoption/ -
Order Committing To Agency Or Family Independence Agency
Michigan/Statewide/Adoption/ -
Order Following Hearing On Review Of Adoption Placement
Michigan/Statewide/Adoption/ -
Order Of Adoption (Alternative Format Suitable For Framing)
Michigan/Statewide/Adoption/ -
Order Of Adoption
Michigan/Statewide/Adoption/ -
Order Placing Child (Step Parent Adoption)
Michigan/Statewide/Adoption/ -
Order Placing Child After Consent
Michigan/Statewide/Adoption/ -
Order Terminating Parental Rights After Release Or Consent
Michigan/Statewide/Adoption/ -
Order Terminating Rights Of Father Without Release Or Consent
Michigan/Statewide/Adoption/ -
Order Terminating Rights Of Non Custodial Parent
Michigan/Statewide/Adoption/ -
Parents Or Guardians Verified Accounting For Adoption Release Or Direct Placement Consent
Michigan/Statewide/Adoption/ -
Petition And Order For Approval Of Confidential Intermediary Fee
Michigan/Statewide/Adoption/ -
Petition And Order For Release Of Information From Confidential Intermediary And Court
Michigan/Statewide/Adoption/ -
Petition By Parent Or Guardian For Return Of Child And Ex Parte Order
Michigan/Statewide/Adoption/ -
Petition For Adoption
Michigan/Statewide/Adoption/ -
Petition For Adoption Information And Order
Michigan/Statewide/Adoption/ -
Petition For Direct Placement Adoption
Michigan/Statewide/Adoption/ -
Petition To Determine Custody Of Child Temporarily Placed For Adoption
Michigan/Statewide/Adoption/ -
Petition To Issue Notice Of Intent To Release Or Consent
Michigan/Statewide/Adoption/ -
Petitioners Verified Accounting
Michigan/Statewide/Adoption/ -
Release Of Child By Parent
Michigan/Statewide/Adoption/ -
Statement Of Identifying Information
Michigan/Statewide/Adoption/ -
Statement Of Parent Or Guardian Authorizing Temporary Placement Of Child For Adoption
Michigan/Statewide/Adoption/ -
Statement Of Prospective Adoptive Parent Transferring Physical Custody Of Child For Adoption
Michigan/Statewide/Adoption/ -
Statement Of Services Performed By Attorney
Michigan/Statewide/Adoption/ -
Statement To Accompany Consent In Direct Placement
Michigan/Statewide/Adoption/ -
Statement To Accompany Release
Michigan/Statewide/Adoption/ -
Petition For Hearing To Identify Father And Determine Or Teminiate His Rights
Michigan/Statewide/Adoption/ -
Statement Of Nonresident Prospective Adoptive Parent Transferring Physical Custody Of Child For Adoption
Michigan/Statewide/Adoption/ -
Request For Confidentiality
Michigan/Statewide/Adoption/ -
Advice Of Rights After Order Terminating Parental Rights (Indian Child)
Michigan/Statewide/Adoption/ -
Release Of Indian Child By Parent
Michigan/Statewide/Adoption/ -
Petition And Order For Delayed Registration Of Foreign Birth
Michigan/Statewide/Adoption/ -
Supplement To Petitioners Verified Accounting
Michigan/Statewide/Adoption/ -
Supplemental Petition To Terminate Rights Of Noncustodial Parent
Michigan/Statewide/Adoption/ -
Addendum A To Verified Declaration About Paternity
Michigan/1 Statewide/Adoption/ -
Addendum B To Verified Declaration About Paternity
Michigan/1 Statewide/Adoption/ -
Addendum C To Verified Declaration About Paternity
Michigan/1 Statewide/Adoption/ -
Petition For Stepparent Adoption
Michigan/1 Statewide/Adoption/ -
Verified Declaration About Paternity
Michigan/1 Statewide/Adoption/ -
Notice Of Adoption Proceedings Concerning An Indian Child
Michigan/Statewide/Adoption/ -
Release Of Child By Guardian
Michigan/Statewide/Adoption/ -
Consent To Adoption By Adoptee
Michigan/Statewide/Adoption/ -
Consent By Parent To Adoption Of Indian Child
Michigan/Statewide/Adoption/ -
Statement Of Parent Or Guardian Transferring Physical Custody Of Child For Adoption
Michigan/Statewide/Adoption/ -
Statement Of Child Placing Agency Transferring Physical Custody Of Child For Adoption
Michigan/Statewide/Adoption/ -
Petition And Order To Appoint Confidential Intermediary
Michigan/Statewide/Adoption/ -
Petition For Rescission Of Adoption And Order
Michigan/Statewide/Adoption/ -
Out Of Court Release Of Child By Parent
Michigan/Statewide/Adoption/ -
Out Of Court Consent To Direct Placement Adoption By Parent
Michigan/Statewide/Adoption/ -
Ex Parte Motion For Alternate Service (Stepparent Adoption)
Michigan/Statewide/Adoption/ -
Ex Parte Order For Alternate Service (Stepparent Adoption)
Michigan/Statewide/Adoption/ -
Petition For Guardian Authority To Release For Or Consent To Adoption
Michigan/Statewide/Adoption/ -
Order Regarding Guardian Authority To Release For Or Consent To Adoption
Michigan/Statewide/Adoption/ -
Release Of Child By Child Placing Agency
Michigan/Statewide/Adoption/ -
Order Authorizing Foster Care Funding After Release
Michigan/Statewide/Adoption/ -
Order To Determine Custody Of Child Temporarily Placed For Adoption
Michigan/Statewide/Adoption/ -
Final Order Allowing Fees And Costs
Michigan/Statewide/Adoption/ -
Statement Of Services Performed By Agency Or Family Independence Agency
Michigan/Statewide/Adoption/
Form Preview
Contact Us
Success: Your message was sent.
Thank you!




