Last updated: 8/23/2022
Form 8832 Entity Classification Election {8832}
Start Your Free Trial $ 20.00What you get:
- Instant access to fillable Microsoft Word or PDF forms.
- Minimize the risk of using outdated forms and eliminate rejected fillings.
- Largest forms database in the USA with more than 80,000 federal, state and agency forms.
- Download, edit, auto-fill multiple forms at once in MS Word using our Forms Workflow Ribbon
- Trusted by 1,000s of Attorneys and Legal Professionals
Description
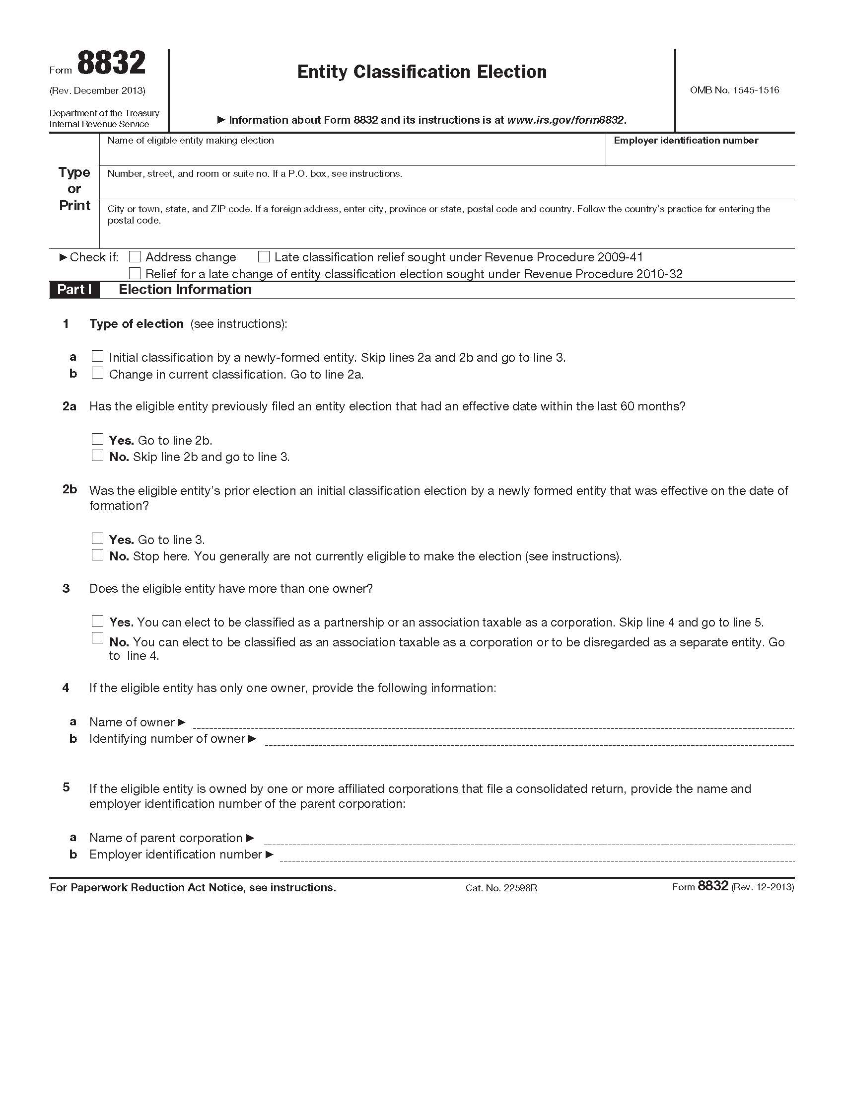
Form 8832 (Rev. December 2013), Entity Classification Election, An eligible entity uses this form to elect how it will be classified for federal tax purposes, as a corporation, a partnership, or an entity disregarded as separate from its owner. An eligible entity is classified for federal tax purposes under the default rules described in the instructions unless it files Form 8832 or Form 2553, Election by a Small Business Corporation. See Who Must File in the instructions. The IRS will use the information entered on this form to establish the entity’s filing and reporting requirements for federal tax purposes. Note. An entity must file Form 2553 if making an election under section 1362(a) to be an S corporation. www.FormsWorkflow.com
Related forms
-
Form 5305 Traditional Individual Retirement Trust Account
Official Federal Forms/Department Of Treasury/ -
Form 5305-A Tranditional Individual Retirement Custodial Account
Official Federal Forms/Department Of Treasury/ -
Form 5305-E Education Individual Retirement Trust Account
Official Federal Forms/Department Of Treasury/ -
Form 5305-EA Education Individual Retirement Custodial Account
Official Federal Forms/Department Of Treasury/ -
Form 5305-R Roth Individual Retirement Trust Account
Official Federal Forms/Department Of Treasury/ -
Form 5305-RA Roth Individual Retirement Custodial Account
Official Federal Forms/Department Of Treasury/ -
Form 5305-RB Roth Individual Retirement Annuity Endorsement
Official Federal Forms/Department Of Treasury/ -
Form 5305-S Simple Individual Retirement Trust Account
Official Federal Forms/Department Of Treasury/ -
Form 5305-SA SIMPLE Individual Retirement Custodial Account
Official Federal Forms/Department Of Treasury/ -
Form 5305-SEP Simplified Employee Pension-Individual Retirement Accounts Contribution Agreement
Official Federal Forms/Department Of Treasury/ -
Form 5305-B Health Savings Trust Account
Official Federal Forms/Department Of Treasury/ -
Form 5305-C Health Savings Custodial Account
Official Federal Forms/Department Of Treasury/ -
Form 5305-SIMPLE Savings Incentive Match Plan For Employees Of Small Employers (SIMPLE)
Official Federal Forms/Department Of Treasury/ -
Form 5309 Application For Determination Of Employee Stock Ownership Plan
Official Federal Forms/Department Of Treasury/ -
Form 966 Corporate Dissolution Or Liquidation
Official Federal Forms/Department Of Treasury/ -
Instructions For Form 8038-T
Official Federal Forms/Department Of Treasury/ -
Form 8038-B Information Return For Build America Bonds
Official Federal Forms/Department Of Treasury/ -
Form 8038-TC Information Return For Tax Credit Bonds And Specified Tax Credit Bonds
Official Federal Forms/Department Of Treasury/ -
Form 5304-SIMPLE Savings Incentive Match Plan For Employees Of Small Employers (SIMPLE)
Official Federal Forms/Department Of Treasury/ -
Form 2553 Election By A Small Business Corporation
Official Federal Forms/Department Of Treasury/ -
Form 8950 Application For Voluntary Correction Program (VCP)
Official Federal Forms/Department Of Treasury/ -
Form 8951 Compliance Fee For Application For Voluntary Correction Program (VCP)
Official Federal Forms/Department Of Treasury/ -
Form 4421 Declaration Executors Commissioners And Attorneys Fees
Official Federal Forms/Department Of Treasury/ -
Form 14568 E Appendix C Part II Schedule 5 Plan Loan Failures
Official Federal Forms/Department Of Treasury/ -
Form 14568 H Appendix C Part II Schedule 8 Failure To Pay Required Minimum
Official Federal Forms/Department Of Treasury/ -
Form 14568-I Appendix C Part II Schedule 9 Correction By Plan Amendment
Official Federal Forms/Department Of Treasury/ -
Form 4876-A Election To Be Treated As An Interest Charge DISC
Official Federal Forms/Department Of Treasury/ -
Form 8971 Information Regarding Beneficiaries Acquiring Property From A Decedent
Official Federal Forms/Department Of Treasury/ -
Form 14135 Application For Certificate Of Discharge Of Property From Federal Tax
Official Federal Forms/Department Of Treasury/ -
Form 5305-A-SEP Salary Reduction And Other Elective Simplified Employee Pension
Official Federal Forms/Department Of Treasury/ -
Form 8940 Request For Miscellaneous Determination
Official Federal Forms/Department Of Treasury/ -
Form 5310-A Notice Of Plan Merger Or Consolidation Spinoff Or Transfer Of Plan Assets Or Liabilities
Official Federal Forms/Department Of Treasury/ -
Form 5306 Application For Approval Of Prototype Or Employer Sponsored Individual Retirement Account
Official Federal Forms/Department Of Treasury/ -
Form 5306-A Application For Approval Of Prototypes Simplified Employee Pension (SEP)
Official Federal Forms/Department Of Treasury/ -
Form 14429 Tax Exempt Bonds Voluntary Closing Agreement Program Request
Official Federal Forms/Department Of Treasury/ -
Form 14568-F Appendix C Part II Schedule 6 Employer Eligibility Failure
Official Federal Forms/Department Of Treasury/ -
Form 14568-G Appendix C Part II Schedule 7 Failure To Distribute Elective Deferrals
Official Federal Forms/Department Of Treasury/ -
Form 5308 Request For Change In Plan-Trust Year
Official Federal Forms/Department Of Treasury/ -
Form 4768 Application For Extension To File A Return-Estate-Taxes
Official Federal Forms/Department Of Treasury/ -
Form 5471 Information Return Of US Person With Respect To Certain Foreign Corporations
Official Federal Forms/Department Of Treasury/ -
Form 8822-B Change Of Address Or Responsible Party-Business
Official Federal Forms/Department Of Treasury/ -
Form 8821 Tax Information Authorization
Official Federal Forms/Department Of Treasury/ -
Form 8822 Change Of Address
Official Federal Forms/Department Of Treasury/ -
Form 4422 Application For Certificate Discharging Property Subject To Estate Tax Lien
Official Federal Forms/Department Of Treasury/ -
5310-A Instructions
Official Federal Forms/Department Of Treasury/ -
Form W-8BEN Certificate Of Foreign Status Of Beneficial Owner-Tax Withholding
Official Federal Forms/Department Of Treasury/ -
Form 8038-G Information Return For Tax-Exempt Governmental Obligations
Official Federal Forms/Department Of Treasury/ -
Form 8038-GC Information Return For Small Tax-Exempt Governmental Bond Issues
Official Federal Forms/Department Of Treasury/ -
Form 8038-T Arbitrage Rebate Yield Reduction And Penalty In Lieu Of Arbitrage Rebate
Official Federal Forms/Department Of Treasury/ -
Form W-8BEN-E Certificate Of Entities Status Of Beneficial Owner-Tax Withholding
Official Federal Forms/Department Of Treasury/ -
Form 8038-R Request For Recovery Of Overpayments Under Arbitrage Rebate Provisions
Official Federal Forms/Department Of Treasury/ -
Form 8718 User Fee For Exempt Organization Determination Letter Request
Official Federal Forms/Department Of Treasury/ -
Form 8609 Low Income Housing Credit Allocation And Certification
Official Federal Forms/Department Of Treasury/ -
Instructions For Form 8950 Application For Voluntary Correction Program (VCP) Submission
Official Federal Forms/Department Of Treasury/ -
Form 8038-CP Return For Credit Payments To Issuers Of Qualified Bonds
Official Federal Forms/Department Of Treasury/ -
Form 14497 Notice Of Nonjudicial Sale Of Property
Official Federal Forms/Department Of Treasury/ -
Form 14498 Application For Consent To Sale Of Property
Official Federal Forms/Department Of Treasury/ -
Instructions For Form 8038
Official Federal Forms/Department Of Treasury/ -
Form 8717 User Fee For Employee Plan Determination
Official Federal Forms/Department Of Treasury/ -
Form 8832 Entity Classification Election
Official Federal Forms/Department Of Treasury/ -
Form 56 Notice Concerning Fiduciary Relationship
Official Federal Forms/Department Of Treasury/ -
Form 56-F Notice Concerning Fiduciary Relationship Of Financial Institution
Official Federal Forms/Department Of Treasury/ -
Form 8833 Treaty-Based Return Position Disclosure Under Section 6114 or 7701(b)
Official Federal Forms/Department Of Treasury/ -
5300 Instructions
Official Federal Forms/Department Of Treasury/ -
Form 14568 Model VCP Compliance Statement
Official Federal Forms/Department Of Treasury/ -
Form 14568-A Model VCP Compliance Statement Schedule 1 Interim Nonamender Failures
Official Federal Forms/Department Of Treasury/ -
Form 14568-B Model VCP Compliance Statement Schedule 2 Other Nonamender Failures
Official Federal Forms/Department Of Treasury/ -
Form 14568-C Model VCP Compliance Statement Schedule 3 SEPs And SARSEPs
Official Federal Forms/Department Of Treasury/ -
Form 14568-D Model VCP Compliance Statement Schedule 4 SIMPLE IRAs
Official Federal Forms/Department Of Treasury/ -
Form 3520-A Annual Information Return Of Foreign Trust With A US Owner
Official Federal Forms/Department Of Treasury/ -
Form 3520 Annual Return To Report Transactions With Foreign Trusts And Receipt
Official Federal Forms/Department Of Treasury/ -
Instructions For Form 5330
Official Federal Forms/Department Of Treasury/ -
Form 4180 Report Of Interview With Individual Relative To Trust Fund Recovery
Official Federal Forms/Department Of Treasury/ -
Request For Tax Payer Identification Number And Certification
Official Federal Forms/Department Of Treasury/ -
Form 1040 Schedule B Interest And Ordinary Dividends
Official Federal Forms/Department Of Treasury/ -
Form 990 Or 990-EZ Schedule C Political Campaign And Lobbying Activities
Official Federal Forms/Department Of Treasury/ -
Form 843 Claim For Refund And Request For Abatement
Official Federal Forms/Department Of Treasury/ -
Form 8868 Application For Extension Of Time To File An Exempt Organization
Official Federal Forms/Department Of Treasury/ -
Form 990 Schedule D Supplemental Financial Statements
Official Federal Forms/Department Of Treasury/ -
Form 990 990-EZ Or 990-PF Schedule B Schedule Of Contributors
Official Federal Forms/Department Of Treasury/ -
5307 Instructions For Form 5307
Official Federal Forms/Department Of Treasury/ -
Form 2848 Power Of Attorney And Declaration Of Representative
Official Federal Forms/Department Of Treasury/ -
Form 990 Schedule J Compensation Information
Official Federal Forms/Department Of Treasury/ -
Form 990 Schedule O Supplemental Information To Form 990 Or 990-EZ
Official Federal Forms/Department Of Treasury/ -
Form 5558 Application For Extension Of Time To File Certain Employee Plan Returns
Official Federal Forms/Department Of Treasury/ -
Form 8892 Application For Automatic Extension Of Time To File Form 709
Official Federal Forms/Department Of Treasury/ -
5310 Instructions
Official Federal Forms/Department Of Treasury/ -
Form 4506-T Request for Transcript of Tax Return
Official Federal Forms/Department Of Treasury/ -
Form 4506 Request For Copy Of Tax Return
Official Federal Forms/Department Of Treasury/ -
Form 706-NA United States Estate (And Generation-Skipping Transfer) Tax Return
Official Federal Forms/Department Of Treasury/ -
Form 706 United States Estate (And Generation-Skipping Transfer) Tax Return
Official Federal Forms/Department Of Treasury/ -
Form 8038 Information Return For Tax-Exempt Private Activity Bond Issues
Official Federal Forms/Department Of Treasury/ -
Form 1040 Schedule SE Self-Employment Tax
Official Federal Forms/Department Of Treasury/ -
Form 1041-V Payment Voucher
Official Federal Forms/Department Of Treasury/ -
Form 8582 Passive Activity Loss Limitations
Official Federal Forms/Department Of Treasury/ -
Form W-4 Employees Withholding Certificate
Official Federal Forms/Department Of Treasury/ -
Form 8606 Nondeductible IRAs
Official Federal Forms/Department Of Treasury/ -
Form 8949 Sales And Other Dispositions Of Capital Assets
Official Federal Forms/Department Of Treasury/ -
Form 990 Return Of Organization Exempt For Income Tax
Official Federal Forms/Department Of Treasury/ -
Form 1040 Schedule D Capital Gains And Losses
Official Federal Forms/Department Of Treasury/ -
Form 4797 Sales Of Business Property
Official Federal Forms/Department Of Treasury/ -
Form 1040 Schedule A Itemized Deductions
Official Federal Forms/Department Of Treasury/ -
Form 1040 Schedule E Supplement Income And Loss
Official Federal Forms/Department Of Treasury/ -
Instructions For Form SS-4 Application For Employer Identification Number
Official Federal Forms/Department Of Treasury/ -
Form 4868 Application For Automatic Extension Of Time To File
Official Federal Forms/Department Of Treasury/ -
Form 8928 Return Of Certain Excise Taxes Under Chapter 43
Official Federal Forms/Department Of Treasury/ -
Form 8865 Return Of US Persons With Respect To Certain Foreign Partnerships
Official Federal Forms/Department Of Treasury/ -
Form 8283 Noncash Charitable Contributions
Official Federal Forms/Department Of Treasury/ -
Form 1040 US Individual Income Tax Return
Official Federal Forms/Department Of Treasury/ -
Form 4562 Depreciation And Amortization
Official Federal Forms/Department Of Treasury/ -
Form 8960 Net Investment Income Tax-Individuals Estates And Trusts
Official Federal Forms/Department Of Treasury/ -
Form 6251 Alternative Minimum Tax-Individuals
Official Federal Forms/Department Of Treasury/ -
Form 1041 US Income Tax Return For Estates And Trusts
Official Federal Forms/Department Of Treasury/ -
Form 709 United States Gift (And Generation-Skipping Transfer) Tax Return
Official Federal Forms/Department Of Treasury/ -
Form 5330 Return Of Excise Taxes Related To Employee Benefit Plans
Official Federal Forms/Department Of Treasury/ -
Form SS-4 Application For Employer Identification Number
Official Federal Forms/Department Of Treasury/
Form Preview
Contact Us
Success: Your message was sent.
Thank you!




