Last updated: 2/16/2023
Plan Administrator Response {3F011}
Start Your Free Trial $ 13.99What you get:
- Instant access to fillable Microsoft Word or PDF forms.
- Minimize the risk of using outdated forms and eliminate rejected fillings.
- Largest forms database in the USA with more than 80,000 federal, state and agency forms.
- Download, edit, auto-fill multiple forms at once in MS Word using our Forms Workflow Ribbon
- Trusted by 1,000s of Attorneys and Legal Professionals
Description
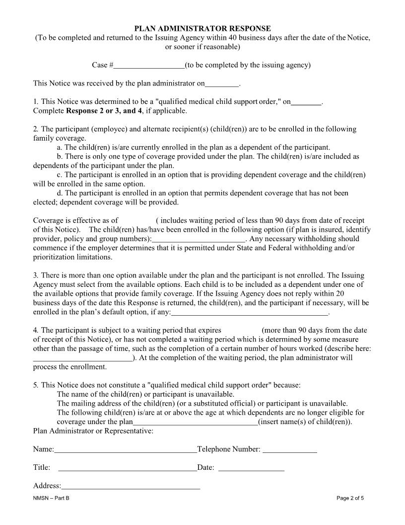
PLAN ADMINISTRATOR RESPONSE (To be completed and returned to the Issuing Agency within 40 business days after the date of the Notice, or sooner if reasonable) Case # ___________________ (to be completed by the issuing agency) This Notice was received by the plan administrator on _____________________. ` 1. This Notice was determined to be a "qualified medical child support order," on _______________. Complete Response 2 or 3, and 4, if applicable. ` 2. The participant (employee) and alternate recipient(s) (child(ren)) are to be enrolled in the following family coverage. ` a. The child(ren) is/are currently enrolled in the plan as a dependent of the participant. ` b. There is only one type of coverage provided under the plan. The child(ren) is/are included as dependents of the participant under the plan. ` c. The participant is enrolled in an option that is providing dependent coverage and the child(ren) will be enrolled in the same option. ` d. The participant is enrolled in an option that permits dependent coverage that has not been elected; dependent coverage will be provided. Coverage is effective as of ______/______/______ (includes waiting period of less than 90 days from date of receipt of this Notice). The child(ren) has/have been enrolled in the following option: ___________________. Any necessary withholding should commence if the employer determines that it is permitted under State and Federal withholding and/or prioritization limitations. ` 3. There is more than one option available under the plan and the participant is not enrolled. The Issuing Agency must select from the available options. Each child is to be included as a dependent under one of the available options that provide family coverage. If the Issuing Agency does not reply within 20 business days of the date this Response is returned, the child(ren), and the participant if necessary, will be enrolled in the plan's default option, if any: _______________________________________________________________________. 4. The participant is subject to a waiting period that expires ______/______/______(more than 90 days from the date of receipt of this Notice), or has not completed a waiting period which is determined by some measure other than the passage of time, such as the completion of a certain number of hours worked (described here: _________________________________ __________________________________________). At the completion of the waiting period, the plan administrator will process the enrollment. 5. This Notice does not constitute a "qualified medical child support order" because: ` The name of the [ ] child(ren) or [ ] participant is unavailable. ` The mailing address of the [ ] child(ren) (or a substituted official) or [ ] participant is unavailable. ` The following child(ren) is/are at or above the age at which dependents are no longer eligible for coverage under the plan. _______________________________________________________ (insert name(s) of child(ren)). ` ` Plan Administrator or Representative: Name: ___________________________________________ Title: ____________________________________________ Telephone Number: ___________________________ Date: ______________________________________ Address: _________________________________________________________________________________________ ISSUING AGENCY: Office of the Attorney General Child Support Division - Medical Support Unit P.O. Box 1328 Austin, Texas 78767-1328 (800) 522-2421 Employer Name: Employer Federal EIN: Non-Custodial Parent: Non-Custodial Parent SSN: Bar Code (with FSN): FS#: OAG Case Number: Cause Number: Form 3F011 American LegalNet, Inc. www.FormsWorkFlow.com NMSN - Part B April 2014





