Last updated: 3/23/2022
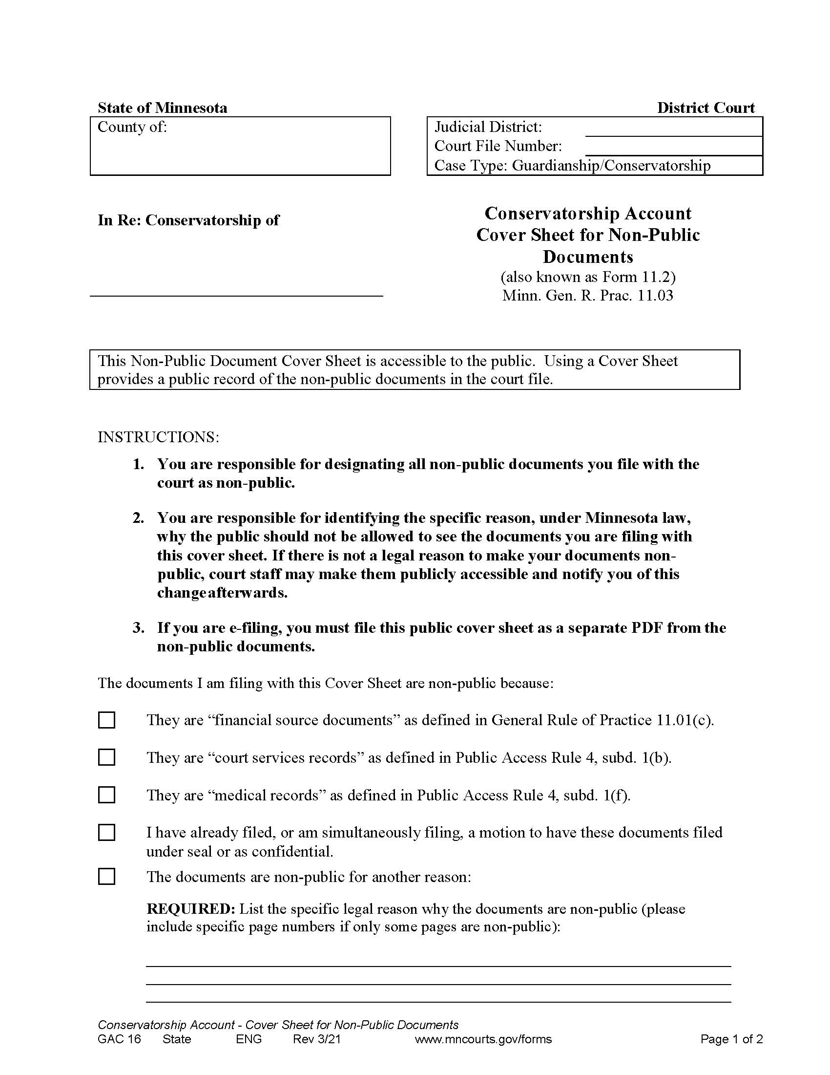
Conservatorship Account Cover Sheet For Non Public Documents {GAC-16}
Start Your Free Trial $ 11.99What you get:
- Instant access to fillable Microsoft Word or PDF forms.
- Minimize the risk of using outdated forms and eliminate rejected fillings.
- Largest forms database in the USA with more than 80,000 federal, state and agency forms.
- Download, edit, auto-fill multiple forms at once in MS Word using our Forms Workflow Ribbon
- Trusted by 1,000s of Attorneys and Legal Professionals
Description
GAC 16 - CONSERVATORSHIP ACCOUNT COVER SHEET FOR NON-PUBLIC DOCUMENTS (also known as Form 11.2) Minn. Gen. R. Prac. 11.03. This form is used in Minnesota court filings for conservatorship cases. It is a public document that provides a record of non-public documents filed in the case. The purpose of the cover sheet is to inform the court and the public about why certain documents are being filed as non-public and to comply with legal requirements for protecting confidential information. This form is used to designate which documents are non-public, such as financial source documents, medical records, or court services records. It also allows the filer to provide a specific legal reason for keeping documents non-public and includes information on any relevant court orders allowing the filing of documents under seal or as confidential. www.FormsWorkFlow.com
Related forms
-
Physicians Statement In Support Of Guardianship Or Conservatorship - And Re Respondents Inability To Attend Hearing
Minnesota/Statewide/District Court/Guardianship-Conservatorship/ -
Requesting Court
Minnesota/Statewide/District Court/Guardianship-Conservatorship/ -
Affidavit Of Service
Minnesota/1 Statewide/District Court/Guardianship-Conservatorship/ -
Ex Parte PetitionTo Expend Funds
Minnesota/Statewide/District Court/Guardianship-Conservatorship/ -
Annual Notice Of Right To Petition For Term Or Mod Of Guardianship
Minnesota/1 Statewide/District Court/Guardianship-Conservatorship/ -
Notice Of Hearing On Annual Account Final Account Or Discharge Of Conservator
Minnesota/Statewide/District Court/Guardianship-Conservatorship/ -
Order Allowing Annual Account Or Final Account Or Discharge Of Conservator
Minnesota/Statewide/District Court/Guardianship-Conservatorship/ -
Order Appointing Emergency Guardian Or Emergency Conservator
Minnesota/Statewide/District Court/Guardianship-Conservatorship/ -
Acceptance Of Appointment By Individual Or Corporation
Minnesota/Statewide/District Court/Guardianship-Conservatorship/ -
Emergency Letters Of Guardianship Or Conservatorship
Minnesota/Statewide/District Court/Guardianship-Conservatorship/ -
Petition To Sell Real Property
Minnesota/Statewide/District Court/Guardianship-Conservatorship/ -
Affidavit In Support Of Petition To Sell Real Property
Minnesota/Statewide/District Court/Guardianship-Conservatorship/ -
County Assessors Market Evaluation
Minnesota/Statewide/District Court/Guardianship-Conservatorship/ -
Notice Of Hearing On Petition To Sell Mortgage Or Lease Real Property
Minnesota/Statewide/District Court/Guardianship-Conservatorship/ -
Order Directing Sale Of Real Property
Minnesota/Statewide/District Court/Guardianship-Conservatorship/ -
Report Regarding Sale Of Real Property
Minnesota/Statewide/District Court/Guardianship-Conservatorship/ -
Order Confirming Sale Of Real Property
Minnesota/Statewide/District Court/Guardianship-Conservatorship/ -
Petition For Termination Of Guardianship Conservatorship And Discharge Of Guardian Conservator
Minnesota/Statewide/District Court/Guardianship-Conservatorship/ -
Order Terminating Guardianship Conservatorship
Minnesota/Statewide/District Court/Guardianship-Conservatorship/ -
Petition For Termination Of Guardianship And Discharge Of Guardian
Minnesota/Statewide/District Court/Guardianship-Conservatorship/ -
Order Confirming Termination Of Guardianship And Discharging Guardian
Minnesota/Statewide/District Court/Guardianship-Conservatorship/ -
Affidavit Of Service
Minnesota/Statewide/District Court/Guardianship-Conservatorship/ -
Letters Of Guardianship Of Person Or Conservatorship Of Estate
Minnesota/Statewide/District Court/Guardianship-Conservatorship/ -
Letters Of Guardianship Or Conservatorship Minor
Minnesota/Statewide/District Court/Guardianship-Conservatorship/ -
Notice Of Hearing And Notice Of Rights
Minnesota/Statewide/District Court/Guardianship-Conservatorship/ -
Notice Of Hearing And Notice Of Rights
Minnesota/Statewide/District Court/Guardianship-Conservatorship/ -
Order Appointing Guardian Or Conservator
Minnesota/Statewide/District Court/Guardianship-Conservatorship/ -
Personal Well Being Report Annual Report Of Guardian
Minnesota/Statewide/District Court/Guardianship-Conservatorship/ -
Conservatorship Account Confidential Information Form
Minnesota/Statewide/District Court/Guardianship-Conservatorship/ -
Order Appointing Guardian Or Conservator Minor
Minnesota/Statewide/District Court/Guardianship-Conservatorship/ -
Conservatorship Account Cover Sheet For Non Public Documents
Minnesota/Statewide/District Court/Guardianship-Conservatorship/ -
Notice Of Hearing On Petition For Terminating Or Modifying Guardianship Conservatorship
Minnesota/Statewide/District Court/Guardianship-Conservatorship/ -
Notice Of Intent To Dispose Of Clothing Vehicles Furniture Or Other Personal Effects
Minnesota/Statewide/District Court/Guardianship-Conservatorship/ -
Order Appointing Appraisers
Minnesota/Statewide/District Court/Guardianship-Conservatorship/ -
Order Granting Denying Ex Parte Petition To Expend Funds
Minnesota/Statewide/District Court/Guardianship-Conservatorship/ -
Notice Of Entry Of Order And Right To Appeal
Minnesota/Statewide/District Court/Guardianship-Conservatorship/ -
Notice Of Entry Of Order And Right To Appeal
Minnesota/Statewide/District Court/Guardianship-Conservatorship/ -
Notice Of Hearing And Notice Of Rights (Regarding Emergency Guardian Or Conservator)
Minnesota/Statewide/District Court/Guardianship-Conservatorship/ -
Petition For Appointment Of Guardian And Conservator Minor
Minnesota/Statewide/District Court/Guardianship-Conservatorship/ -
Petition For Appointment Of Guardian Or Conservator
Minnesota/Statewide/District Court/Guardianship-Conservatorship/ -
Notice To Proposed Guardians Conservators
Minnesota/Statewide/District Court/Guardianship-Conservatorship/ -
Affidavit Regarding Background Study
Minnesota/Statewide/District Court/Guardianship-Conservatorship/ -
Report Of Guardian Or Conservator
Minnesota/Statewide/District Court/Guardianship-Conservatorship/ -
Acceptance Of Appointment
Minnesota/Statewide/District Court/Guardianship-Conservatorship/ -
Annual Notice Of Right To Petition For Termination Or Modification Of Conservatorship And Other Relief
Minnesota/Statewide/District Court/Guardianship-Conservatorship/ -
Visitors Report
Minnesota/Statewide/District Court/Guardianship-Conservatorship/ -
Petition For Emergency Appointment Of Guardian Or Conservator
Minnesota/Statewide/District Court/Guardianship-Conservatorship/ -
Annual Account Or Final Account
Minnesota/Statewide/District Court/Guardianship-Conservatorship/
Form Preview
Contact Us
Success: Your message was sent.
Thank you!




