Last updated: 9/22/2020
Order Appointing Emergency Guardian Or Emergency Conservator {GAC-18-U}
Start Your Free Trial $ 11.99What you get:
- Instant access to fillable Microsoft Word or PDF forms.
- Minimize the risk of using outdated forms and eliminate rejected fillings.
- Largest forms database in the USA with more than 80,000 federal, state and agency forms.
- Download, edit, auto-fill multiple forms at once in MS Word using our Forms Workflow Ribbon
- Trusted by 1,000s of Attorneys and Legal Professionals
Description
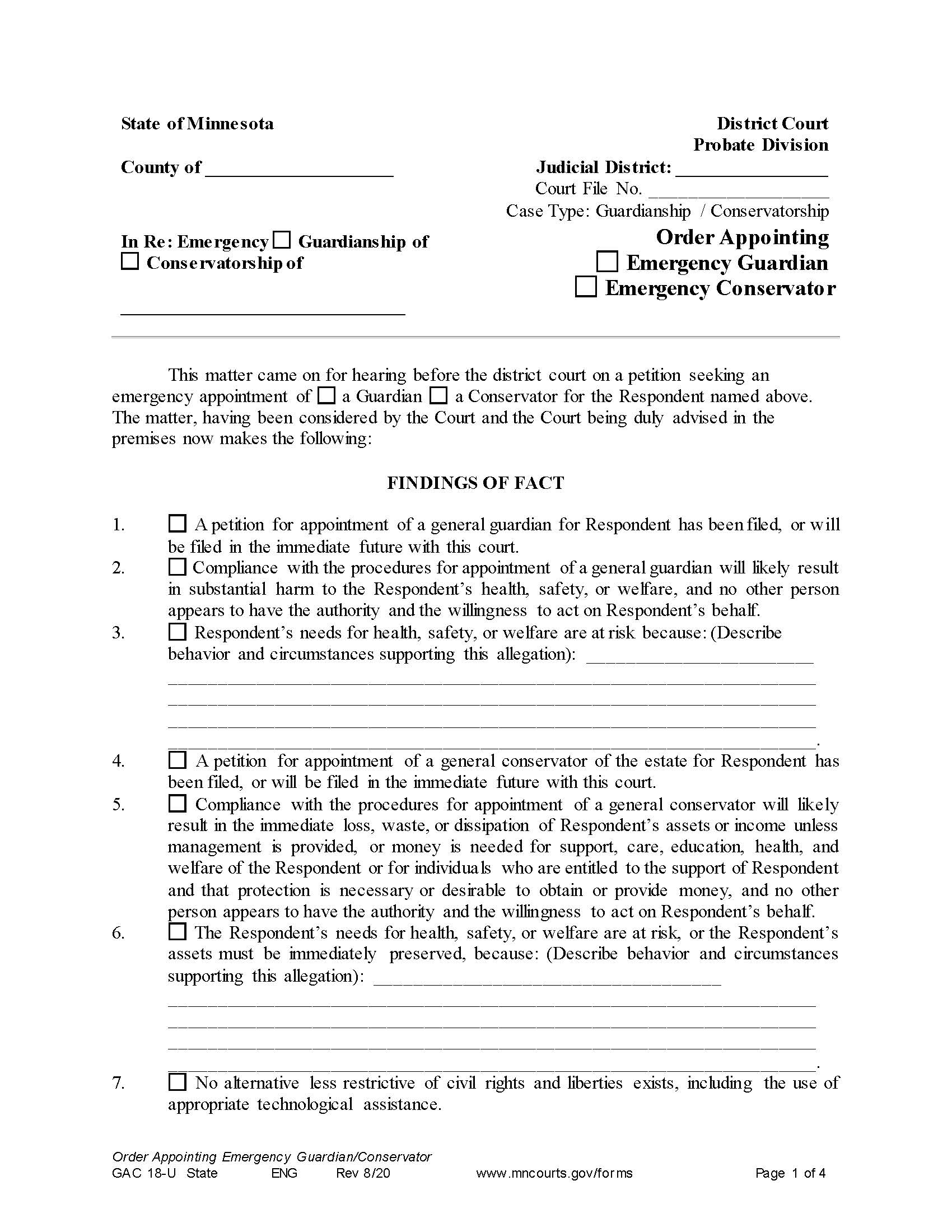
GAC 18-U - ORDER APPOINTING EMERGENCY GUARDIAN/CONSERVATOR. This form is used in Minnesota to appoint an Emergency Guardian or Emergency Conservator for a person who is at risk of substantial harm to their health, safety, or welfare. The purpose of the emergency appointment is to ensure immediate protection when there is a risk to the individual’s well-being or assets. The form includes findings of fact, which provide an explanation of why the emergency appointment is necessary, such as a threat to the person’s health, safety, or assets. The conclusions of law section outlines the legal basis for the appointment. The order section specifies the duties and powers granted to the emergency guardian or conservator, detailing the authority they have to act on behalf of the person, and may set a specific duration for the appointment, such as 60 or 90 days. The form is designed to temporarily address the person’s needs until a more permanent solution can be reached. www.FormsWorkflow.com
Related forms
-
Physicians Statement In Support Of Guardianship Or Conservatorship - And Re Respondents Inability To Attend Hearing
Minnesota/Statewide/District Court/Guardianship-Conservatorship/ -
Requesting Court
Minnesota/Statewide/District Court/Guardianship-Conservatorship/ -
Affidavit Of Service
Minnesota/1 Statewide/District Court/Guardianship-Conservatorship/ -
Ex Parte PetitionTo Expend Funds
Minnesota/Statewide/District Court/Guardianship-Conservatorship/ -
Annual Notice Of Right To Petition For Term Or Mod Of Guardianship
Minnesota/1 Statewide/District Court/Guardianship-Conservatorship/ -
Notice Of Hearing On Annual Account Final Account Or Discharge Of Conservator
Minnesota/Statewide/District Court/Guardianship-Conservatorship/ -
Order Allowing Annual Account Or Final Account Or Discharge Of Conservator
Minnesota/Statewide/District Court/Guardianship-Conservatorship/ -
Petition For Emergency Appointment Of Guardian Or Conservator
Minnesota/Statewide/District Court/Guardianship-Conservatorship/ -
Order Appointing Emergency Guardian Or Emergency Conservator
Minnesota/Statewide/District Court/Guardianship-Conservatorship/ -
Acceptance Of Appointment By Individual Or Corporation
Minnesota/Statewide/District Court/Guardianship-Conservatorship/ -
Emergency Letters Of Guardianship Or Conservatorship
Minnesota/Statewide/District Court/Guardianship-Conservatorship/ -
Petition To Sell Real Property
Minnesota/Statewide/District Court/Guardianship-Conservatorship/ -
Affidavit In Support Of Petition To Sell Real Property
Minnesota/Statewide/District Court/Guardianship-Conservatorship/ -
County Assessors Market Evaluation
Minnesota/Statewide/District Court/Guardianship-Conservatorship/ -
Notice Of Hearing On Petition To Sell Mortgage Or Lease Real Property
Minnesota/Statewide/District Court/Guardianship-Conservatorship/ -
Order Directing Sale Of Real Property
Minnesota/Statewide/District Court/Guardianship-Conservatorship/ -
Report Regarding Sale Of Real Property
Minnesota/Statewide/District Court/Guardianship-Conservatorship/ -
Order Confirming Sale Of Real Property
Minnesota/Statewide/District Court/Guardianship-Conservatorship/ -
Petition For Termination Of Guardianship Conservatorship And Discharge Of Guardian Conservator
Minnesota/Statewide/District Court/Guardianship-Conservatorship/ -
Order Terminating Guardianship Conservatorship
Minnesota/Statewide/District Court/Guardianship-Conservatorship/ -
Petition For Termination Of Guardianship And Discharge Of Guardian
Minnesota/Statewide/District Court/Guardianship-Conservatorship/ -
Order Confirming Termination Of Guardianship And Discharging Guardian
Minnesota/Statewide/District Court/Guardianship-Conservatorship/ -
Affidavit Of Service
Minnesota/Statewide/District Court/Guardianship-Conservatorship/ -
Letters Of Guardianship Of Person Or Conservatorship Of Estate
Minnesota/Statewide/District Court/Guardianship-Conservatorship/ -
Letters Of Guardianship Or Conservatorship Minor
Minnesota/Statewide/District Court/Guardianship-Conservatorship/ -
Notice Of Hearing And Notice Of Rights
Minnesota/Statewide/District Court/Guardianship-Conservatorship/ -
Notice Of Hearing And Notice Of Rights
Minnesota/Statewide/District Court/Guardianship-Conservatorship/ -
Order Appointing Guardian Or Conservator
Minnesota/Statewide/District Court/Guardianship-Conservatorship/ -
Personal Well Being Report Annual Report Of Guardian
Minnesota/Statewide/District Court/Guardianship-Conservatorship/ -
Conservatorship Account Confidential Information Form
Minnesota/Statewide/District Court/Guardianship-Conservatorship/ -
Order Appointing Guardian Or Conservator Minor
Minnesota/Statewide/District Court/Guardianship-Conservatorship/ -
Conservatorship Account Cover Sheet For Non Public Documents
Minnesota/Statewide/District Court/Guardianship-Conservatorship/ -
Notice Of Hearing On Petition For Terminating Or Modifying Guardianship Conservatorship
Minnesota/Statewide/District Court/Guardianship-Conservatorship/ -
Notice Of Intent To Dispose Of Clothing Vehicles Furniture Or Other Personal Effects
Minnesota/Statewide/District Court/Guardianship-Conservatorship/ -
Order Appointing Appraisers
Minnesota/Statewide/District Court/Guardianship-Conservatorship/ -
Order Granting Denying Ex Parte Petition To Expend Funds
Minnesota/Statewide/District Court/Guardianship-Conservatorship/ -
Notice Of Entry Of Order And Right To Appeal
Minnesota/Statewide/District Court/Guardianship-Conservatorship/ -
Notice Of Entry Of Order And Right To Appeal
Minnesota/Statewide/District Court/Guardianship-Conservatorship/ -
Notice Of Hearing And Notice Of Rights (Regarding Emergency Guardian Or Conservator)
Minnesota/Statewide/District Court/Guardianship-Conservatorship/ -
Petition For Appointment Of Guardian And Conservator Minor
Minnesota/Statewide/District Court/Guardianship-Conservatorship/ -
Petition For Appointment Of Guardian Or Conservator
Minnesota/Statewide/District Court/Guardianship-Conservatorship/ -
Notice To Proposed Guardians Conservators
Minnesota/Statewide/District Court/Guardianship-Conservatorship/ -
Affidavit Regarding Background Study
Minnesota/Statewide/District Court/Guardianship-Conservatorship/ -
Report Of Guardian Or Conservator
Minnesota/Statewide/District Court/Guardianship-Conservatorship/ -
Acceptance Of Appointment
Minnesota/Statewide/District Court/Guardianship-Conservatorship/ -
Visitors Report
Minnesota/Statewide/District Court/Guardianship-Conservatorship/ -
Annual Notice Of Right To Petition For Termination Or Modification Of Conservatorship And Other Relief
Minnesota/Statewide/District Court/Guardianship-Conservatorship/ -
Annual Account Or Final Account
Minnesota/Statewide/District Court/Guardianship-Conservatorship/
Form Preview
Contact Us
Success: Your message was sent.
Thank you!




