Last updated: 11/11/2025
Order Of Referral To CIvil Magistrate
Start Your Free Trial $ 15.99What you get:
- Instant access to fillable Microsoft Word or PDF forms.
- Minimize the risk of using outdated forms and eliminate rejected fillings.
- Largest forms database in the USA with more than 80,000 federal, state and agency forms.
- Download, edit, auto-fill multiple forms at once in MS Word using our Forms Workflow Ribbon
- Trusted by 1,000s of Attorneys and Legal Professionals
Description
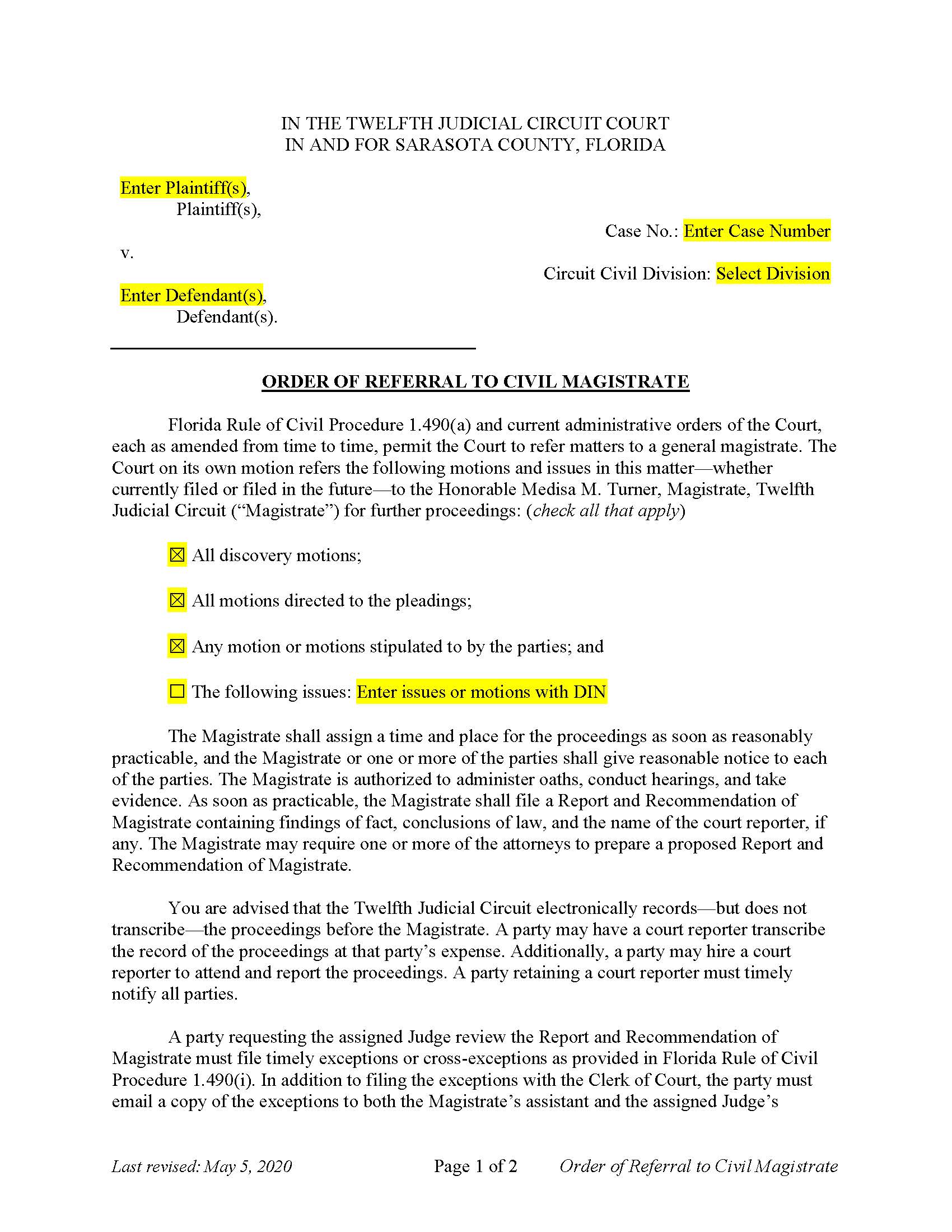
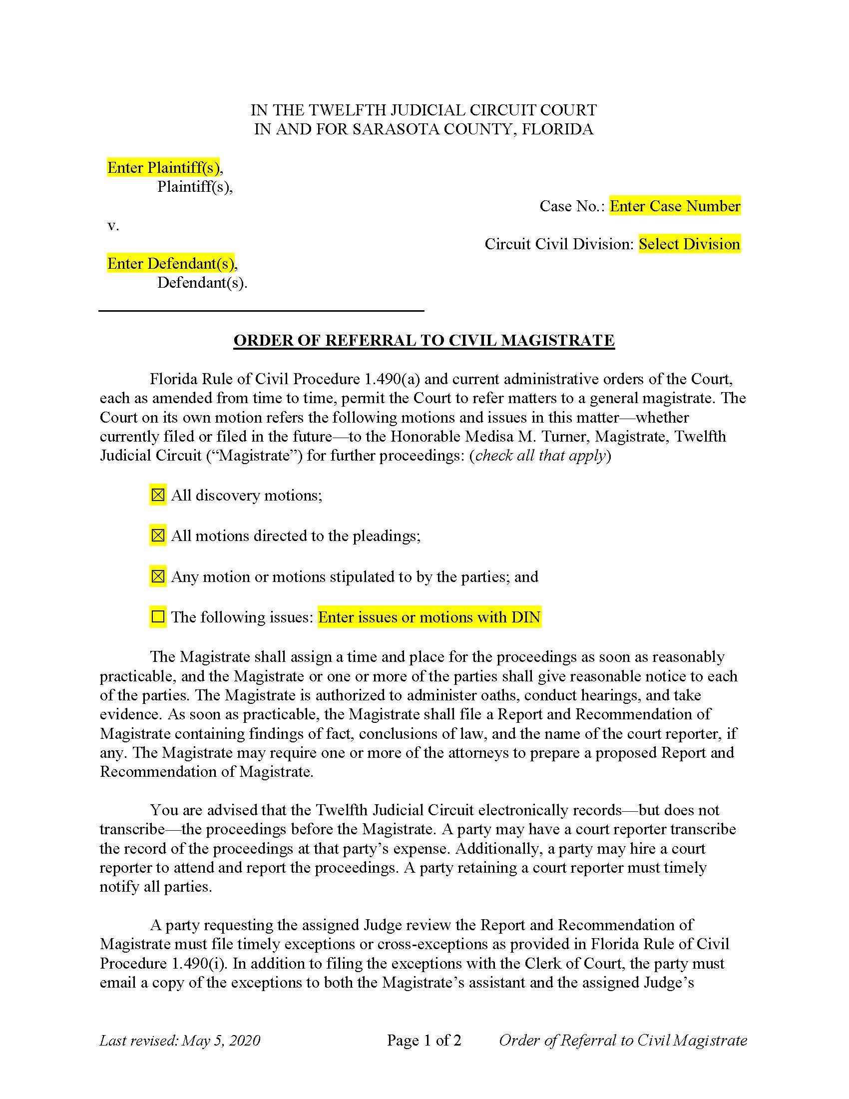
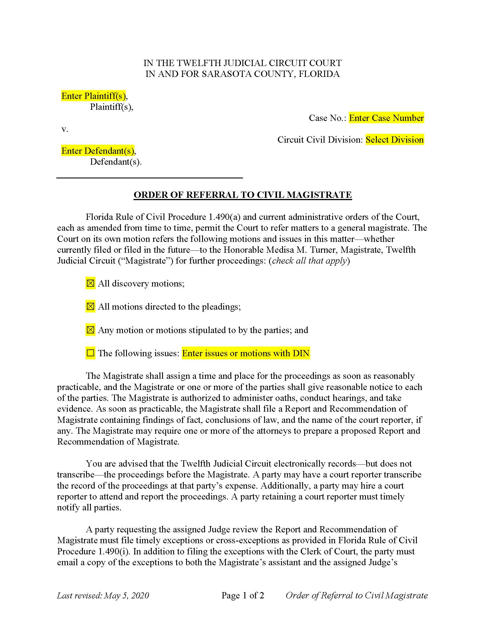
ORDER OF REFERRAL TO CIVIL MAGISTRATE. This form is used in the Twelfth Judicial Circuit Court of Florida (Sarasota County) to assign certain matters in a civil case to a general magistrate under Florida Rule of Civil Procedure 1.490(a). The order authorizes the magistrate—such as the Honorable Medisa M. Turner—to conduct hearings, administer oaths, take evidence, and issue a Report and Recommendation on designated issues, typically including discovery motions, motions directed to pleadings, and any stipulated motions. Parties are advised of their right to file exceptions under Rule 1.490(i) and their right to object to the referral within 10 days of service. Consent from all parties is required unless an objection is timely filed. www.FormsWorkflow.com
Related forms
-
Address Change
Florida/Local County/Sarasota/Civil/ -
Affidavit Respondent
Florida/Local County/Sarasota/Civil/ -
Affidavit To Credit For Direct Support Payments
Florida/Local County/Sarasota/Civil/ -
Affidavit
Florida/Local County/Sarasota/Civil/ -
Motion For Contempt
Florida/Local County/Sarasota/Civil/ -
Notice Of Dismissal Voluntary Dismissal Settled
Florida/Local County/Sarasota/Civil/ -
Notice Of Hearing
Florida/Local County/Sarasota/Civil/ -
Order Of Contempt And Warrant Of Attachment
Florida/Local County/Sarasota/Civil/ -
Request To Initiate Suspension Of Delinquent Obligors Drivers License
Florida/Local County/Sarasota/Civil/ -
Statement Of Claim
Florida/Local County/Sarasota/Civil/ -
Rule To Show Cause
Florida/Local County/Sarasota/Civil/ -
Motion For Rule To Show Cause
Florida/Local County/Sarasota/Civil/ -
Notice Of Confidential Information Within Court Filing
Florida/Local County/Sarasota/Civil/ -
Order To Show Cause
Florida/Local County/Sarasota/Civil/ -
Motion For Ex Parte Order To Show Cause
Florida/Local County/Sarasota/Civil/ -
Jury Trial Information Statement
Florida/Local County/Sarasota/Civil/ -
Stipulation For Trial Period
Florida/Local County/Sarasota/Civil/ -
Statement Of Claim Probate
Florida/Local County/Sarasota/Civil/ -
Civil Cover Sheet
Florida/2 Local County/Sarasota/Civil/ -
Final Disposition Form
Florida/2 Local County/Sarasota/Civil/ -
Notice Of Contact Information
Florida/2 Local County/Sarasota/Civil/ -
Notice Of South County Origin
Florida/2 Local County/Sarasota/Civil/ -
Stipulated Order Setting Case For Jury Trial And Referral To Mediation
Florida/Local County/Sarasota/Civil/ -
Order Setting Case Management Conference
Florida/Local County/Sarasota/Civil/ -
Pre-Trial Conference Order (Divisions A and C)
Florida/Local County/Sarasota/Civil/ -
Order Scheduling Temporary Injunction Hearing And Deadlines
Florida/2 Local County/Sarasota/Civil/ -
Motion For Default And Default (Entry Of Default By Clerk)
Florida/2 Local County/Sarasota/Civil/ -
Motion For Default And Default (Entry Of Default By Judge)
Florida/2 Local County/Sarasota/Civil/ -
Request To Serve Summons For Possession By Posting
Florida/2 Local County/Sarasota/Civil/ -
Stipulation And Order Setting Case For Jury Trial And Referral To Mediation (Division H)
Florida/2 Local County/Sarasota/Civil/ -
Order Setting Case Management Conference (Notice Of Zoom Hearing - Judge Ruhl)
Florida/2 Local County/Sarasota/Civil/ -
Stipulated Order Setting Famliy Division Case For Non-Jury Trial
Florida/2 Local County/Sarasota/Civil/ -
Order For Family Division CM Conference (Zoom Hearing - Judge Ruhl)
Florida/2 Local County/Sarasota/Civil/ -
Equitable Distribution Matrix (Judge Ruhl)
Florida/2 Local County/Sarasota/Civil/ -
Pre-Trial Conference Order (Judge Ruhl)
Florida/2 Local County/Sarasota/Civil/ -
Case Management Report (For General Cases - Circuit And County Civil)
Florida/2 Local County/Sarasota/Civil/ -
Case Management Report (For Use In Streamilined Cases - Civil)
Florida/2 Local County/Sarasota/Civil/ -
Statement Of Claim (General Small Claims)
Florida/2 Local County/Sarasota/Civil/ -
Owners Claim For Mortgage Foreclosure Surplus
Florida/2 Local County/Sarasota/Civil/ -
Final Judgment-Order
Florida/2 Local County/Sarasota/Civil/ -
Records Search Request
Florida/2 Local County/Sarasota/Civil/ -
Value Of Real Property Or Mortgage Foreclosure Claim-Crossclaim-Counterclaim
Florida/2 Local County/Sarasota/Civil/ -
Statement Of Claim (For For Work Done And Materials Furnished)
Florida/2 Local County/Sarasota/Civil/ -
Affidavit As To Defendants Default In Payment
Florida/2 Local County/Sarasota/Civil/ -
Statement Of Claim (For Money Lent)
Florida/2 Local County/Sarasota/Civil/ -
Statement Of Claim (Promissory Note)
Florida/2 Local County/Sarasota/Civil/ -
Statement Of Claim (For Goods Sold)
Florida/2 Local County/Sarasota/Civil/ -
Statement Of Claim (For Return Of Stolen Property)
Florida/2 Local County/Sarasota/Civil/ -
Statement Of Claim (Auto Negligence)
Florida/2 Local County/Sarasota/Civil/ -
Consent To Disposition Of Personal Property
Florida/2 Local County/Sarasota/Civil/ -
Affidavit (Disposition Of Personal Property)
Florida/2 Local County/Sarasota/Civil/ -
Statement Regarding Creditors (Disposition Of Personal Property Without Administration)
Florida/2 Local County/Sarasota/Civil/ -
Order For Family Division 2 Case Management Conference (Judge Ruhl)
Florida/2 Local County/Sarasota/Civil/ -
Stipulated Order Setting Case For Non-Jury Trial And Referral To Mediation
Florida/2 Local County/Sarasota/Civil/ -
Subpoena Duces Tecum Without Deposition
Florida/Local County/Sarasota/Civil/ -
Subpoena Duces Tecum For Deposition
Florida/Local County/Sarasota/Civil/ -
Subpoena For Deposition
Florida/Local County/Sarasota/Civil/ -
Subpoena Duces Tecum For Trial
Florida/Local County/Sarasota/Civil/ -
Subpoena For Trial
Florida/Local County/Sarasota/Civil/ -
Subpoena Duces Tecum For Deposition (For Use With UIDDA)
Florida/Local County/Sarasota/Civil/ -
Subpoena For Deposition (For Use With UIDDA)
Florida/Local County/Sarasota/Civil/ -
Subpoena Duces Tecum Without Deposition (For Use With UIDDA)
Florida/Local County/Sarasota/Civil/ -
Complaint For Eviction Failure To Comply With Lease
Florida/Local County/Sarasota/Civil/ -
Three Day Notice (Eviction)
Florida/Local County/Sarasota/Civil/ -
Consent To Case Closure After 90 Days Of Inactivity
Florida/Local County/Sarasota/Civil/ -
Complaint For Eviction And Damages
Florida/Local County/Sarasota/Civil/ -
Final Judgment - Eviction
Florida/Local County/Sarasota/Civil/ -
Final Judgment - Damages
Florida/Local County/Sarasota/Civil/ -
Complaint For Eviction (Possession Only)
Florida/Local County/Sarasota/Civil/ -
Recommended Order Of Magistrate
Florida/Local County/Sarasota/Civil/ -
Order Allowing Amended Pleading
Florida/2 Local County/Sarasota/Civil/ -
Disposition Of Personal Property Without Administration
Florida/2 Local County/Sarasota/Civil/ -
Order Granting Withdrawal Of Attorney Directing Clerk To Update CMS
Florida/2 Local County/Sarasota/Civil/ -
Order Granting Substitution Of Attorney Directing Clerk To Update CM System
Florida/2 Local County/Sarasota/Civil/ -
Eviction Summons Residential
Florida/Local County/Sarasota/Civil/ -
Declaration Of Domicile
Florida/Local County/Sarasota/Civil/ -
Declaration Of Termination Of Domestic Partnership (One Partner Signing)
Florida/2 Local County/Sarasota/Civil/ -
Declaration Of Termination Of Domestic Partnership (Both Partners Signing)
Florida/2 Local County/Sarasota/Civil/ -
Application For Amendment To Affidavit Of Domestic Partnership Registration
Florida/2 Local County/Sarasota/Civil/ -
Affidavit Of Domestic Partnership Registration
Florida/2 Local County/Sarasota/Civil/ -
Order Of Referral To CIvil Magistrate
Florida/Local County/Sarasota/Civil/
Form Preview
Contact Us
Success: Your message was sent.
Thank you!




