Last updated: 7/7/2025
Declaration Of Judgment Debtor Regarding Satisfaction Of Judgment {C-41}
Start Your Free Trial $ 13.99What you get:
- Instant access to fillable Microsoft Word or PDF forms.
- Minimize the risk of using outdated forms and eliminate rejected fillings.
- Largest forms database in the USA with more than 80,000 federal, state and agency forms.
- Download, edit, auto-fill multiple forms at once in MS Word using our Forms Workflow Ribbon
- Trusted by 1,000s of Attorneys and Legal Professionals
Description
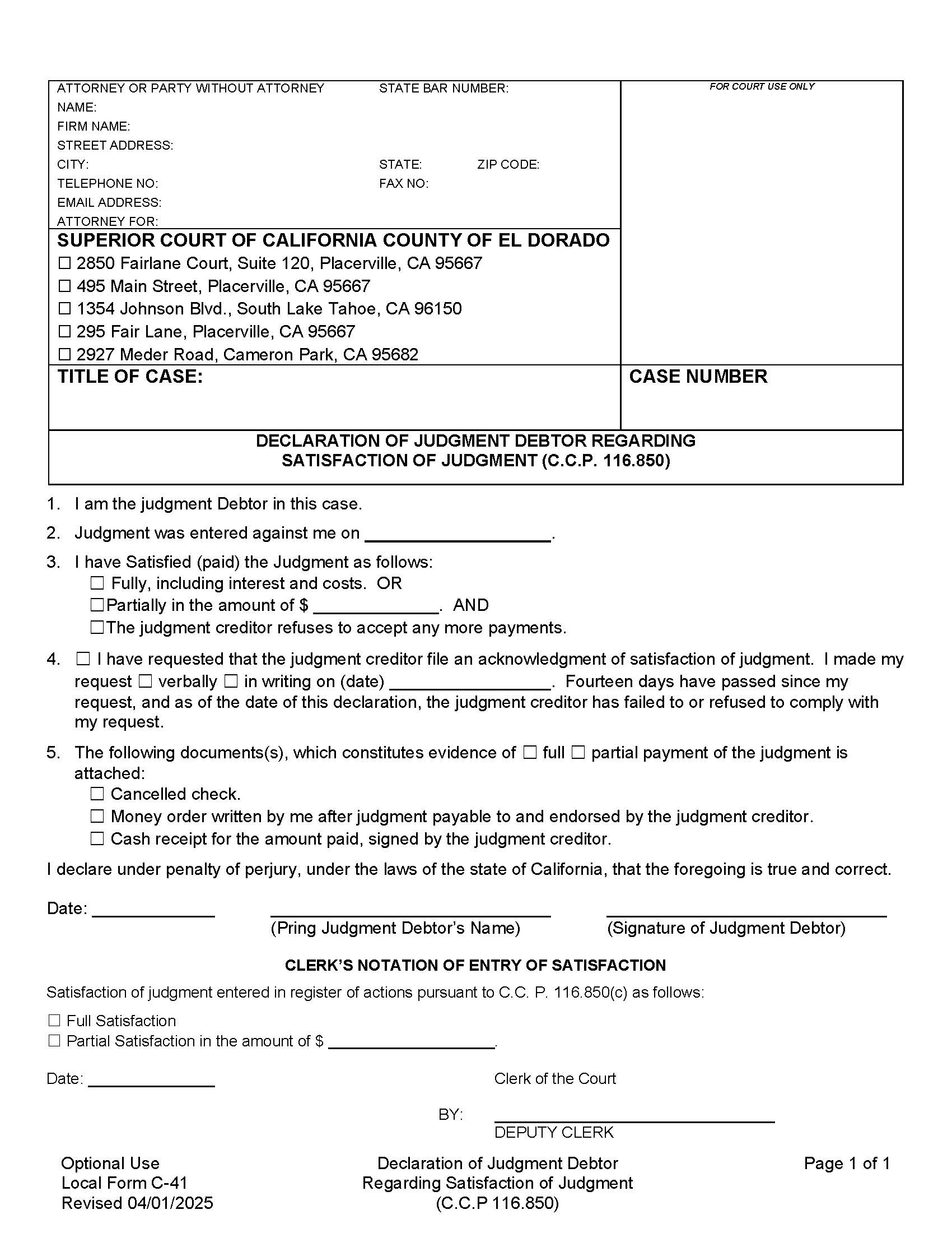
Local Form C-41 - DECLARATION OF JUDGMENT DEBTOR REGARDING SATISFACTION OF JUDGMENT (C.C.P. 116.850). This form is used in the Superior Court of California, County of El Dorado by a judgment debtor who wishes to inform the court that a judgment entered against them has been fully or partially satisfied (paid). The debtor must state the date the judgment was entered and explain how the judgment has been satisfied—either fully, including interest and court costs, or partially, along with the amount paid. If the judgment creditor has refused to file an acknowledgment of satisfaction after being asked—either verbally or in writing—the debtor may use this form to notify the court. Supporting documentation, such as a cancelled check, money order, or signed cash receipt, must be attached as proof of payment. Once submitted, the court clerk will make an official entry in the court record noting either full or partial satisfaction of the judgment, pursuant to California Code of Civil Procedure §116.850. Optional Use. www.FormsWorkflow.com





